Die Informationen Auf Dieser Website Stellen Keine Medizinische Beratung Dar. Wir Verkaufen Nichts. Die Richtigkeit Der Übersetzung Wird Nicht Garantiert. Haftungsausschluss
Carbapenems
Iv
Drogenzusammenfassung
Was ist Merrem IV?
Iv (Meropenem) ist ein Antibiotika, das zur Behandlung bestimmter Arten von bakteriellen Infektionen verwendet wird. Es wird intravenös verabreicht. Merrem wird bei der Behandlung von Infektionen des Bauches wie Blinddarmitis- und Peritonitis -Bakterien eingesetzt Meningitis (Infektion der Auskleidung des Gehirns) und Hautinfektionen.
Was sind Nebenwirkungen von Merrem IV?
Nebenwirkungen von Merrem umfassen:
- Brechreiz
- Erbrechen
- Durchfall
- Verstopfung
- Kopfschmerzen oder
- Schmerzen Rötungen oder Schwellungen am Injektionsort.
Iv may cause serious side effects including:
- Starke Magenschmerzen
- Durchfall that is watery or bloody
- Krämpfe (Anfälle)
- Wunden oder weiße Flecken in Ihrem Mund oder Hals (Hefe -Infektion oder 'Thrush')
- schweres Kribbeln oder Taubheit
- blasse Haut
- ungewöhnliche Müdigkeit
- Benommenheit
- Atemnot und
- kalte Hände oder Füße
Holen Sie sich sofort medizinische Hilfe, wenn Sie eines der oben aufgeführten Symptome haben.
Suchen Sie medizinische Versorgung oder rufen Sie auf einmal 911 an, wenn Sie die folgenden schwerwiegenden Nebenwirkungen haben:
- Schwerwiegende Augensymptome wie plötzlicher Sehverlust verschwommenes Sehen Tunnel Sehschmerzen oder Schwellungen oder Halos in der Umgebung des Lichts;
- Schwerwiegende Herzsymptome wie schnelle unregelmäßige oder pochende Herzschläge; Flattern in deiner Brust; Kurzatmigkeit; und plötzliche Schwindel -Benommenheit oder ohnmächtig;
- Starke Kopfschmerzen Verwirrung verwirrt Spracharm oder Bein Schwäche Schwierigkeiten beim Verlust der Koordination unstabil sehr steifes Muskeln hoher Fieber problemlos Schwitzen oder Zittern.
Dieses Dokument enthält nicht alle möglichen Nebenwirkungen und andere können auftreten. Wenden Sie sich an Ihren Arzt nach zusätzlichen Informationen zu Nebenwirkungen.
Iv During Schwangerschaft Und Breastfeeding
Angemessene und gut kontrollierte Studien dieses Medikaments bei schwangeren Frauen fehlen, und dieses Medikament sollte während der Schwangerschaft nur bei Bedarf angewendet werden. Es ist nicht bekannt, ob dieses Medikament in Muttermilch ausgeschieden ist.
Weitere Informationen
Unser Merrem IV -Nebenwirkungen Arzneimittelzentrum bietet einen umfassenden Überblick über verfügbare Arzneimittelinformationen über die potenziellen Nebenwirkungen bei der Einnahme dieses Medikaments.
FDA -Drogeninformationen
- Drogenbeschreibung
- Indikationen
- Dosierung
- Nebenwirkungen
- Wechselwirkungen mit Arzneimitteln
- Warnungen
- Überdosis
- Klinische Pharmakologie
- Medikamentenhandbuch
Beschreibung für Merrem I.V.
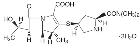
teilnehmen ® IV (Meropenem für die Injektion) ist ein steriles pyrogenfreies synthetisches Carbapenem-Antibakteriell für die intravenöse Verabreichung. Es ist (4R5S6S) -3-[[(3S5s) -5- (Dimethylcarbamoyl) -3-Pyrrolidinyl] -6-[(1R) -1-hydroxyethyl] -4methyl-7-oxo-1-Azabicyclo [3.2.0] hept-2-2-carbaticalicsack-Trihyklat. Seine empirische Formel ist c 17 H 25 N 3 O 5 S • 3H 2 O mit einem Molekulargewicht von 437,52. Seine strukturelle Formel ist:
|
teilnehmen IV is a white to pale yellow crystalline powder. The solution varies from colorless to yellow depending on the concentration. The pH of freshly constituted solutions is between 7.3 Und 8.3. Meropenem is soluble in 5% monobasic potassium phosphate solution sparingly soluble in water very slightly soluble in hydrated ethanol Und practically insoluble in acetone or ether.
Bei der erneuten Konstituierung der jeweils 1 Gramm Merrem IV-Fläschchen liefert 1 Gramm Meropenem und 90,2 mg Natrium als Natriumcarbonat (NULL,92 MEQ). Jeweils 500 mg Merrem IV -Fläschchen liefert 500 mg Meropenem und 45,1 mg Natrium als Natriumcarbonat (NULL,96 MEQ) [siehe Dosierung und Verwaltung ].
Verwendung für Merrem i.v.
Komplizierte Haut- und Hautstrukturinfektionen (erwachsene Patienten und pädiatrische Patienten nur 3 Monate und älter)
teilnehmen IV is indicated for the treatment of complicated skin Und skin structure infections (cSSSI) due to Staphylococcus aureus (Nur Methicillin-sanfizierbare Isolate) Streptococcus pyogenes Streptococcus agalactiae Viridans Group Streptococci Enterococcus faecalis (Nur Vancomycin-empfindliche Isolate) Pseudomonas aeruginosa escherichia coli proteus mirabilis bacteroides fragilis Und Peptostreptococcus Spezies.
Komplizierte intraabdominale Infektionen (erwachsene und pädiatrische Patienten)
teilnehmen IV is indicated for the treatment of complicated appendicitis Und peritonitis caused by viridians group streptococci Escherichia coli Klebsiella pneumoniae pseudomonas aeruginosa bacteroides fragilis B. thetaiotaomicronon Und Peptostreptococcus Spezies.
Wie fühlen Sie sich mit Mirtazapin?
Bakterielle Meningitis (pädiatrische Patienten nur 3 Monate und nur älter)
teilnehmen IV is indicated for the treatment of bacterial Meningitis caused by Haemophilus Influenzae Neisseria Meningitidis Und penicillin-susceptible isolates of Streptococcus pneumoniae .
teilnehmen IV has been found to be effective in eliminating concurrent bacteremia in association with bacterial Meningitis.
Verwendung
Um die Entwicklung von medikamentenresistenten Bakterien zu verringern und die Wirksamkeit von Merrem IV und anderen antibakteriellen Arzneimitteln aufrechtzuerhalten, sollte Merrem IV nur zur Behandlung oder Vorbeugung von Infektionen eingesetzt werden, die nachgewiesen oder stark vermutet werden, dass sie durch anfällige Bakterien verursacht werden. Wenn Kultur- und Anfälligkeitsinformationen verfügbar sind, sollten sie bei der Auswahl oder Modifizierung der antibakteriellen Therapie in Betracht gezogen werden. In Ermangelung solcher Daten können lokale Epidemiologie- und Empfindlichkeitsmuster zur empirischen Auswahl der Therapie beitragen.
Dosierung for Merrem I.V.
Erwachsene Patienten
Die empfohlene Dosis von Merrem IV beträgt 500 mg alle 8 Stunden für Haut- und Hautstrukturinfektionen und 1 Gramm, die alle 8 Stunden für intraabdominale Infektionen verabreicht werden. Bei der Behandlung komplizierter Haut- und Hautstrukturinfektionen, die durch P. aeruginosa verursacht werden, wird eine Dosis von 1 Gramm alle 8 Stunden empfohlen.
teilnehmen IV should be administered by intravenous infusion over approximately 15 minutes to 30 minutes. Doses of 1 Gramm may also be administered as an intravenous bolus injection (5 mL to 20 mL) over approximately 3 minutes to 5 minutes.
Verwendung bei erwachsenen Patienten mit Nierenbeeinträchtigungen
Dosierung should be reduced in patients with creatinine clearance of 50 mL/min or less. (See dosing table below.)
Wenn nur Serumkreatinin verfügbar ist, die folgende Formel (Cockcroft und Gault -Gleichung) 1 kann verwendet werden, um die Kreatinin -Clearance abzuschätzen.
Männer: Kreatinin -Clearance (ml/min) = Gewicht (kg) x (140 - Alter)/72 x Serumkreatinin (mg/dl)
Frauen: 0,85 x über den Wert
Tabelle 1: Empfohlener Merrem IV -Dosierungsplan für erwachsene Patienten mit Nierenbeeinträchtigungen
| Kreatinin -Clearance (ml/min) | Dosis (abhängig von der Art der Infektion) | Dosierungsintervall |
| Mehr als 50 | Empfohlene Dosis (500 mg CSSSI und 1 Gramm intraabdominal) | Alle 8 Stunden |
| 26-50 | Empfohlene Dosis | Alle 12 Stunden |
| 10-25 | Die Hälfte empfohlene Dosis | Alle 12 Stunden |
| Weniger als 10 | Die Hälfte empfohlene Dosis | Alle 24 Stunden |
Es gibt unzureichende Informationen über die Verwendung von Merrem IV bei Patienten auf Hämodialyse oder Peritonealdialyse.
Verwendung bei pädiatrischen Patienten
Pädiatrische Patienten 3 Monate alt und älter
- Bei pädiatrischen Patienten beträgt die Merrem IV-Dosis 3 Monate und älter 10 mg/kg 20 mg/kg oder 40 mg/kg alle 8 Stunden (maximale Dosis beträgt 2 Gramm alle 8 Stunden), abhängig von der Art der Infektion (CSSSI CIAI-Intraabdominalinfektion oder Meningitis). Siehe Dosierung Tabelle 2 unten.
- Bei pädiatrischen Patienten mit einem Gewicht von mehr als 50 kg Merrem IV bei einer Dosis von 500 mg alle 8 Stunden für CSSSI 1 Gramm alle 8 Stunden für CIAI und 2 Gramm alle 8 Stunden bei Meningitis.
- Merrem IV als intravenöse Infusion über ungefähr 15 Minuten bis 30 Minuten oder als intravenöse Bolusinjektion (5 ml bis 20 ml) über ungefähr 3 Minuten bis 5 Minuten verabreichen.
- Es stehen nur begrenzte Sicherheitsdaten zur Verfügung, um die Verabreichung einer 40 mg/kg (bis zu maximal 2 Gramm) Bolus -Dosis zu unterstützen.
Tabelle 2: Empfohlener Merrem IV -Dosierungsplan für pädiatrische Patienten 3 Monate und älter mit normaler Nierenfunktion
| Art der Infektion | Dosis (mg/kg) | Bis zu einer maximalen Dosis | Dosierungsintervall |
| Komplizierte Haut- und Hautstrukturinfektionen | 10 | 500 mg | Alle 8 Stunden |
| Komplizierte intraabdominale Infektionen | 20 | 1 Gramm | Alle 8 Stunden |
| Meningitis | 40 | 2 Gramm | Alle 8 Stunden |
Es gibt keine Erfahrung bei pädiatrischen Patienten mit Nierenbeeinträchtigung.
Bei der Behandlung von CSSSI, die durch P. aeruginosa verursacht wird, wird empfohlen, eine Dosis von 20 mg/kg (oder 1 Gramm für pädiatrische Patienten mit einem Gewicht von mehr als 50 kg).
Pädiatrische Patienten im Alter von weniger als 3 Monaten
Bei pädiatrischen Patienten (mit normaler Nierenfunktion) unter 3 Monaten mit komplizierten intraabdominalen Infektionen basiert die Merrem IV -Dosis auf dem Gestationsalter (GA) und dem postnatalen Alter (PNA). Siehe Dosierungstabelle 3 unten. Merrem IV sollte als intravenöser Infusion über 30 Minuten angegeben werden.
Tabelle 3: Empfohlener Merrem IV-Dosierungsplan für pädiatrische Patienten unter 3 Monaten mit komplizierten intraabdominalen Infektionen und normaler Nierenfunktion
| Altersgruppe | Dosis (mg/kg) | Dosisintervall |
| Säuglinge weniger als 32 Wochen GA und PNA weniger als 2 Wochen | 20 | Alle 12 Stunden |
| Säuglinge weniger als 32 Wochen GA und PNA ab 2 Wochen und älter | 20 | Alle 8 Stunden |
| Säuglinge 32 Wochen und ältere GA und PNA weniger als 2 Wochen | 20 | Alle 8 Stunden |
| Säuglinge 32 Wochen und ältere GA und PNA ab 2 Wochen und älter | 30 | Alle 8 Stunden |
Es gibt keine Erfahrung bei pädiatrischen Patienten mit Nierenbeeinträchtigung.
Vorbereitung und Verabreichung von Merrem IV.
Wichtige Verwaltungsanweisungen
Parenterale Arzneimittel sollten vor der Verabreichung visuell auf Partikel und Verfärbungen untersucht werden, wenn Lösung und Behälter dies zulassen.
Für die intravenöse Bolusverwaltung
Die Injektionsfläschchen (500 mg und 1 Gramm) mit sterilem Wasser zur Injektion neu konstituieren (siehe Tabelle 4 unten). Schütteln Sie sich auf, um sich aufzulösen und bis klar zu lassen.
Tabelle 4: Volumen des sterilen Wassers zur Injektion zur Rekonstitution von Injektionsfläschchen
| Fläschchengröße | Menge an Verdünnungsmittel (ML) | Ungefähres Auszugsvolumen (ML) | Ungefähre durchschnittliche Konzentration (mg/ml) |
| 500 mg | 10 | 10 | 50 |
| 1 Gramm | 20 | 20 | 50 |
Für Infusion
- Injektionsfläschchen (500 mg und 1 Gramm) können direkt mit einer kompatiblen Infusionsflüssigkeit neu konstituiert werden.
- Alternativ kann eine Injektionsfläschchen erneut konstituiert werden, dann die resultierende Lösung, die einem intravenösen Behälter zugesetzt und mit einer geeigneten Infusionsflüssigkeit weiter verdünnt wird [siehe Dosierung und Verwaltung ].
- Verwenden Sie keinen flexiblen Behälter in Serienverbindungen.
Kompatibilität
Kompatibilität of teilnehmen IV with other drugs has not been established. teilnehmen IV should not be mixed with or physically added to solutions containing other drugs.
Stabilität und Lagerung
Frisch zubereitete Lösungen von Merrem IV sollten verwendet werden. Die neu konstituierten Lösungen von Merrem IV halten jedoch unter den nachstehend beschriebenen Bedingungen eine zufriedenstellende Wirksamkeit. Lösungen des intravenösen Merrem IV sollten nicht eingefroren werden.
Intravenöse Bolusverwaltung
teilnehmen IV injection vials re-constituted with sterile Water for Injection for bolus administration (up to 50 mg/mL of teilnehmen IV) may be stored for up to 3 hours at up to 25°C (77°F) or for 13 hours at up to 5°C (41°F).
Intravenöse Infusionsverabreichung
Lösungen, die für die Infusion (Merrem IV -Konzentrationen zwischen 1 mg/ml bis 20 mg/ml) hergestellt wurden, können 1 Stunde bei bis zu 25 ° C (77 ° F) oder 15 Stunden bei bis zu 5 ° C (41 ° F) mit Natriumchloridinjektion rekonstituiert werden.
Lösungen, die für die Infusion (Merrem IV -Konzentrationen im Bereich von 1 mg/ml bis 20 mg/ml) hergestellt wurden, sollten sofort verwendet werden.
Wie geliefert
Dosierung Forms And Strengths
Einzeldosis klare Glasfläschchen von Merrem IV, die 500 mg oder 1 Gramm (als Trihydrat mit wasserfreiem Natriumcarbonat zur Rekonstitution gemischt) von sterilem Meropenempulver enthalten.
Lagerung und Handhabung
teilnehmen IV wird in 20 ml und 30 ml Injektionsfläschchen mit ausreichendem Meropenem geliefert, um 500 mg bzw. 1 Gramm für die intravenöse Verabreichung zu liefern. Das Trockenpulver sollte bei kontrollierter Raumtemperatur 20 ° -25 ° C gelagert werden USP ].
500 mg Injection Vial ( NDC 0069-0313-01) in einer Packung von 10 x 500 mg Injektionsfläschchen (Fläschchen ( NDC 0069-0313-10)
1 Gramm Injection Vial ( NDC 0069-0314-01) in einer Packung von 10 x 1 g Injektionsfläschchen (Fläschchen ( NDC 0069-0314-10)
Referenzen
1 Cockcroft DW MH Gault 1976 Vorhersage der Kreatinin-Clearance aus Serumkreatinin-Nephron 16: 31-41.
Pfizer Laboratories Div Pfizer Inc. Überarbeitet: Mai 2025
Nebenwirkungen for Merrem I.V.
Das Folgende wird in anderen Kennzeichnungsabschnitten ausführlicher erörtert:
- Überempfindlichkeitsreaktionen [siehe Warnungen und Vorsichtsmaßnahmen ]
- Schwere kutane Nebenwirkungen [siehe Warnungen und Vorsichtsmaßnahmen ]
- Rhabdomyolyse [siehe Warnungen und Vorsichtsmaßnahmen ]
- Anfallspotential [siehe Warnungen und Vorsichtsmaßnahmen ]
- Risiko von Durchbruchsanfällen aufgrund der Wechselwirkung von Arzneimitteln mit Valproinsäure [siehe Warnungen und Vorsichtsmaßnahmen ]
- Clostridioides difficile -assoziierte Durchfall [siehe Warnungen und Vorsichtsmaßnahmen ]
- Entwicklung drogenresistenter Bakterien [siehe Warnungen und Vorsichtsmaßnahmen ]
- Überwachsen von nicht merkwürdigen Organismen [siehe Warnungen und Vorsichtsmaßnahmen ]
- Thrombozytopenie [siehe Warnungen und Vorsichtsmaßnahmen ]
- Potenzial für neuromotorische Beeinträchtigungen [siehe Warnungen und Vorsichtsmaßnahmen ]
Nebenwirkungen aus klinischen Studien
Da klinische Studien unter stark unterschiedlichen Bedingungen durchgeführt werden, können unerwünschte Reaktionen in den klinischen Studien eines Arzneimittels nicht direkt mit den Raten in den klinischen Studien eines anderen Arzneimittels verglichen werden und spiegeln möglicherweise nicht die in der Praxis beobachteten Raten wider.
Erwachsene Patienten
Während der klinischen Untersuchungen wurden 2904 immunkompetente erwachsene Patienten für Nicht-CNS-Infektionen mit Merrem IV (500 mg oder 1 Gramm alle 8 Stunden) behandelt. Die Todesfälle bei 5 Patienten wurden als möglicherweise mit Meropenem verbunden; 36 (NULL,2%) Patienten hatten Meropenem wegen unerwünschter Ereignisse abgebrochen. Viele Patienten in diesen Studien waren schwer krank und hatten mehrere Hintergrunderkrankungen physiologische Beeinträchtigungen und erhielten mehrere andere medikamentöse Therapien. In der schwerkranken Patientenpopulation war es nicht möglich, die Beziehung zwischen beobachteten unerwünschten Ereignissen und Therapie mit Merrem IV zu bestimmen.
Die folgenden nachteiligen Reaktionsfrequenzen wurden aus den klinischen Studien bei den 2904 mit Merrem IV behandelten Patienten abgeleitet.
Lokale Nebenwirkungen
Lokale unerwünschte Ereignisse, die mit Merrem IV gemeldet wurden, waren wie folgt:
| Entzündung an der Injektionsstelle | 2,4% |
| Reaktion der Injektionsstelle | 0,9% |
| Phlebitis/Thrombophlebitis | 0,8% |
| Schmerzen an der Injektionsstelle | 0,4% |
| Ödeme an der Injektionsstelle | 0,2% |
Systemische Nebenwirkungen
Systemische unerwünschte Ereignisse, über die Merrem IV, die bei mehr als 1,0%der Patienten auftraten, gemeldet wurden, waren Durchfall (NULL,8%) Übelkeit/Erbrechen (NULL,6%) Kopfschmerzen (NULL,3%) Ausschlag (NULL,9%) Sepsis (NULL,6%) Verstopfung (NULL,4%) Apnoe (NULL,3%) Schock (NULL,2%) und Vorrundung (NULL,2%).
Zusätzliche systemische unerwünschte Ereignisse, die mit Merrem IV gemeldet wurden und in weniger als oder gleich 1,0% auftreten, jedoch mehr als 0,1% der Patienten in jedem Körpersystem in der Reihenfolge der Häufigkeit unterliegt:
Blutungsereignisse wurden wie folgt gesehen: Magen -Darm -Blutung (NULL,5%) Melena (NULL,3%) Epistaxis (NULL,2%) Hämoperitoneum (NULL,2%).
Körper als Ganzes: Schmerz Bauch Schmerz Brust Schmerz Fieber Rücken Schmerzen Bauchvergrößerung Kälte Beckenschmerzen
Herz -Kreislauf: Herzinsuffizienz Herzversorgung Tachykardie Hypertonie Myokardinfarkt Lungenembolie Bradykardie Hypotonie Synkope
Verdauungssystem: orale Moniliasis Magersucht cholestatisch Gelbsucht /Gelbsucht Flatulenz Ileus Leber Versagen Dyspepsie Darmobstruktion
Hemic/Lymphat: hypochromische Anämie -Hypervolämie
Stoffwechsel/Ernährung: Periphere Ödemhypoxie
Nervensystem: Schlaflosigkeit Agitation Delirium Verwirrung Schwindelbeschlagnahme Nervosität Parästhesie Halluzinationen Somnolence Angst Depression Asthenie [siehe Warnungen und Vorsichtsmaßnahmen ]
Atemweg: Atemstörung Dyspnoe Pleura -Erguss Asthma -Husten erhöhte Lungenödeme
Haut und Anhänge: Urtikaria schwitzen Hautgeschwüre
Urogenitalsystem: Dysurie -Nierenversagen vaginaler Moniliasis Harninkontinenz
Unerwünschte Laboränderungen
Unerwünschte Laborveränderungen, die gemeldet und in mehr als 0,2% der Patienten auftraten, waren wie folgt:
Leber: Erhöhte Alanin -Transaminase (ALT) -Aspartattransaminase (AST) -Alkal -Phosphatase -Lactat -Dehydrogenase (LDH) und Bilirubin
Hämatologisch: Erhöhte Blutplättchen erhöhten Eosinophile verringerten die Thrombozyten Hämoglobin Verringerte Hämatokrit verringerte die Prothrombinzeit mit weißer Blutkörperchen (WBC) und verkürzte partielle Thromboplastin -Zeit -Leukozytose -Hypokaliämie
Nieren: Erhöhtes Kreatinin und erhöhter Blutharnstoffstickstoff (Bun)
Urinanalyse: Vorhandensein von roten Blutkörperchen
Komplizierte Haut- und Hautstrukturinfektionen
In einer Untersuchung komplizierter Haut- und Hautstrukturinfektionen waren die nachteiligen Reaktionen den oben aufgeführten ähnlich. Die häufigsten unerwünschten Ereignisse bei mehr als 5%der Patienten waren: Kopfschmerzen (NULL,8%) Übelkeit (NULL,8%) Verstopfung (NULL,0%) Durchfall (NULL,0%) Anämie (NULL,5%) und Schmerzen (NULL,1%). Unerwünschte Ereignisse mit einer Inzidenz von mehr als 1% und nicht aufgeführt sind: Pharyngitis versehentliche Magen -Darm -Störung Hypoglykämie periphere Gefäßstörung und Lungenentzündung.
Patienten mit Nierenbehinderung
Bei Patienten mit unterschiedlichem Grade an Nierenbeeinträchtigungen Die Inzidenz von Herzinsuffizienznieren -Versagen und Schock, die bei Merrem IV berichtet wurden Dosierung und Verwaltung Warnungen und Vorsichtsmaßnahmen Verwendung in bestimmten Populationen Und Klinische Pharmakologie ].
Pädiatrische Patienten
Systemische und lokale Nebenwirkungen
Pädiatrische Patienten with Serious Bacterial Infections (excluding Bakterielle Meningitis):
teilnehmen IV was studied in 515 pediatric patients (3 months to less than 13 years of age) with serious bacterial infections (excluding Meningitis see next section) at dosages of 10 mg/kg to 20 mg/kg every 8 hours. The types of systemic Und local adverse events seen in these patients are similar to the adults with the most common adverse events reported as possibly probably or definitely related to teilnehmen IV Und their rates of occurrence as follows:
| Durchfall | 3,5% |
| Ausschlag | 1,6% |
| Übelkeit und Erbrechen | 0,8% |
Pädiatrische Patienten With Bakterielle Meningitis
teilnehmen IV was studied in 321 pediatric patients (3 months to less than 17 years of age) with Meningitis at a dosage of 40 mg/kg every 8 hours. The types of systemic Und local adverse events seen in these patients are similar to the adults with the most common adverse reactions reported as possibly probably or definitely related to teilnehmen IV Und their rates of occurrence as follows:
| Durchfall | 4,7% |
| Ausschlag (mostly diaper area moniliasis) | 3,1% |
| Orale Moniliasis | 1,9% |
| Glossitis | 1,0% |
In den Meningitis untersuchten die Raten der Anfallsaktivität während der Therapie zwischen Patienten ohne ZNS -Anomalien, die Meropenem erhielten, und Patienten, die Komparatoren (entweder Cefotaxim oder Ceftriaxon) erhielten. In der von Merrem IV behandelten Gruppe 12/15 -Patienten mit Anfällen hatten späten Anfällen (definiert als am Tag 3 oder später vorkommend) gegenüber 7/20 im Vergleichsarm. Die Meropenem -Gruppe hatte eine statistisch höhere Anzahl von Patienten mit vorübergehender Erhöhung der Leberenzyme.
Pädiatrische Patienten (Neonates Und Infants less than 3 months of Age)
teilnehmen IV was studied in 200 neonates Und infants less than 3 months of age. The study was open-label uncontrolled 98% of the infants received concomitant medications Und the majority of adverse events were reported in neonates less than 32 weeks gestational age Und critically ill at baseline making it difficult to assess the relationship of the adverse events to teilnehmen IV.
Die bei diesen Patienten beobachteten Nebenwirkungen, die gemeldet wurden, und ihre Auftretensraten sind wie folgt:
| Konvulsion | 5,0% |
| Hyperbilirubinämie (konjugiert) | 4,5% |
| Erbrechen | 2,5% |
Unerwünschte Laboränderungen In Pädiatrische Patienten
Laborveränderungen in den pädiatrischen Studien, einschließlich der Meningitis -Studien, ähnelten denen, die in den Erwachsenenstudien berichtet wurden.
Post -Marketing -Erfahrung
Die folgenden nachteiligen Reaktionen wurden während der Verwendung von Meropenem nach der Annahme von Meropenem identifiziert, einschließlich Merrem IV. Da diese Reaktionen freiwillig aus einer Population unsicherer Größe berichtet werden, ist es nicht immer möglich, ihre Häufigkeit zuverlässig abzuschätzen oder ein kausales Verhältnis zur Arzneimittelexposition herzustellen.
Die weltweiten Nachbekämpfung von unerwünschten Reaktionen, die in den Nebenwirkungen der klinischen Studien nicht ansonsten aufgeführt sind, werden in jedem Körpersystem in der Reihenfolge der Schwere der Schwere in jedem Körpersystem aufgeführt.
Blut- und Lymphsystemstörungen: Agranulozytose -Neutropenie und Leukopenie; Ein positiver direkter oder indirekter Coombs -Test und eine hämolytische Anämie.
Störungen des Immunsystems: Angioödem.
Haut und subkutane Störungen: Stevens-Johnson-Syndrom Toxic epidermale Nekrolyse-Arzneimittelreaktion mit Eosinophilie Und systemic symptoms (DRESS) erythema multiforme Und acute generalized exanthematous pustulosis.
Erkrankungen des Bewegungsapparates: Rhabdomyolyse.
Lebererkrankungen: drogeninduzierte Leberverletzung.
Wechselwirkungen mit Arzneimitteln for Merrem I.V.
Probenecid
Probenecid competes with Meropenem for active tubular secretion resulting in increased plasma concentrations of Meropenem. Co-administration of probenecid with Meropenem is not recommended.
Valproinsäure
Fallberichte in der Literatur haben gezeigt, dass die gleichzeitige Verabreichung von Carbapenems einschließlich Meropenem an Patienten, die Valproinsäure oder Divalprox-Natrium erhalten, zu einer Verringerung der Valproinsäurekonzentrationen führt. Die Valproinsäurekonzentrationen können aufgrund dieser Wechselwirkung unter den therapeutischen Bereich fallen, wodurch das Risiko von Durchbruchsanfällen erhöht wird. Obwohl der Mechanismus dieser Wechselwirkung unbekannte Daten aus In-vitro ist und Tierstudien darauf hindeuten, dass Carbapenems die Hydrolyse des Glucuronid-Metaboliten (VPA-G) von Valproinsäure zurück in Valproinsäure hemmen können, wodurch die Serumkonzentrationen von Valproinsäure verringert werden. Wenn die Verabreichung von Merrem IV erforderlich ist, sollte eine zusätzliche Antikonvulsiva -Therapie in Betracht gezogen werden [siehe Warnungen und Vorsichtsmaßnahmen ].
Warnungen für Merrem i.v.
Eingeschlossen als Teil der VORSICHTSMASSNAHMEN Abschnitt.
Vorsichtsmaßnahmen für Merrem i.v.
Überempfindlichkeitsreaktionen
Bei Patienten, die eine Therapie mit β-Lactams erhalten, wurden schwerwiegende und gelegentlich tödliche Überempfindlichkeitsreaktionen (anaphylaktische) Reaktionen berichtet. Diese Reaktionen treten eher bei Personen mit Empfindlichkeit gegenüber mehreren Allergenen auf.
Es gab Berichte über Personen mit einer Penicillin-Überempfindlichkeit, die bei der Behandlung mit einem anderen β-Lactam schwere Überempfindlichkeitsreaktionen erlebt haben. Vor der Initiierung der Therapie mit Merrem IV ist es wichtig, frühere Überempfindlichkeitsreaktionen auf Penicilline Cephalosporine andere β-Lactams und andere Allergene zu erkundigen. Wenn eine allergische Reaktion auf Merrem IV auftritt, stellt das Medikament sofort ein.
Schwere kutane Nebenwirkungen
Schwere kutane unerwünschte Reaktionen (Narben) wie das Stevens-Johnson-Syndrom (SJS) toxische epidermale Nekrolyse (zehn) Arzneimittelreaktion mit Eosinophilie und systemische Symptome (Kleid) erytheme multiforme (EM) und akute verallgemeinerte expertische Pustuose (AGEP) wurden bei Patienten erhalten, die bei Patienten erhalten wurden. Nebenwirkungen ]. If signs Und symptoms suggestive of these reactions appear Meropenem should be withdrawn immediately Und an alternative treatment should be considered.
Rhabdomyolyse
Rhabdomyolyse has been reported with the use of Meropenem [see Nebenwirkungen ]. If signs or symptoms of rhabdomyolysis such as muscle pain tenderness or weakness dark urine or elevated creatine phosphokinase are observed discontinue teilnehmen IV Und initiate appropriate therapy.
Beschlagnahmepotential
Anfälle und andere unerwünschte ZNS -Erfahrungen wurden während der Behandlung mit Merrem IV berichtet. Diese Erfahrungen sind am häufigsten bei Patienten mit ZNS Nebenwirkungen Und Wechselwirkungen mit Arzneimitteln ].
Während der klinischen Untersuchungen wurden 2904 immunkompetente erwachsene Patienten für Nicht-CNS-Infektionen behandelt, wobei die allgemeine Anfallsrate 0,7% betrug (basierend auf 20 Patienten mit diesem unerwünschten Ereignis). Alle mit Meropenemhandteatoren mit Anfällen hatten bereits bestehende Faktoren. Zu diesen gehören die Vorgeschichte von Anfällen oder ZNS -Anomalie sowie zu gleichzeitigen Medikamenten mit Anfallspotential. Eine Dosierungsanpassung wird bei Patienten mit fortgeschrittenem Alter und/oder erwachsenen Patienten mit Kreatinin -Clearance von 50 ml/min oder weniger empfohlen [siehe Dosierung und Verwaltung ].
Eine enge Einhaltung der empfohlenen Dosierungsschemata wird insbesondere bei Patienten mit bekannten Faktoren aufgefordert, die sich für eine konvulsive Aktivität prädisponieren. Fortsetzung der Anti-Konvulsiva-Therapie bei Patienten mit bekannten Anfallserkrankungen. Wenn fokales Tremors Myoklonus oder Anfälle auftreten, bewerten Sie neurologisch auf die Anti-Konvulsiva-Therapie, wenn sie nicht bereits eingeführt werden, und überprüfen Sie die Dosierung von Merrem IV, um festzustellen, ob es verringert oder abgebrochen werden sollte.
Risiko von Durchbruchsanfällen aufgrund der Wechselwirkung der Arzneimittel mit Valproinsäure
Die gleichzeitige Verwendung von Meropenem und Valproinsäure oder Divalprox -Natrium wird im Allgemeinen nicht empfohlen. Fallberichte in der Literatur haben gezeigt, dass die gleichzeitige Verabreichung von Carbapenems einschließlich Meropenem an Patienten, die Valproinsäure oder Divalprox-Natrium erhalten, zu einer Verringerung der Valproinsäurekonzentrationen führt. Die Valproinsäurekonzentrationen können aufgrund dieser Wechselwirkung unter den therapeutischen Bereich fallen, wodurch das Risiko von Durchbruchsanfällen erhöht wird. Eine Erhöhung der Dosis von Valproinsäure oder Divalprox -Natrium reicht möglicherweise nicht aus, um diese Wechselwirkung zu überwinden. Betrachten Sie die Verabreichung von anderen antibakteriellen Arzneimitteln als Carbapenems zur Behandlung von Infektionen bei Patienten, deren Anfälle auf Valproinsäure oder Divalprox -Natrium gut kontrolliert werden. Wenn die Verabreichung von Merrem IV erforderlich ist Wechselwirkungen mit Arzneimitteln ].
Clostridioides difficile-assoziiertes Durchfall
Clostridioides difficile -Anterendurchfall (CDAD) wurde unter Verwendung fast aller antibakteriellen Mittel, einschließlich Merrem IV, berichtet und kann einen Schweregrad von mildem Durchfall bis zu tödlicher Kolitis reichen. Die Behandlung mit antibakteriellen Wirkstoffen verändert die normale Flora des Dickdarms C. schwierig .
C. schwierig Produziert Toxine A und B, die zur Entwicklung von CDAD beitragen. Hypertoxin produzieren Isolate von C. schwierig verursachen erhöhte Morbidität und Mortalität, da diese Infektionen gegenüber der antimikrobiellen Therapie refraktär sein können und möglicherweise eine Kolektomie erfordern. CDAD muss bei allen Patienten berücksichtigt werden, die nach antibakteriellem Drogenkonsum mit Durchfall auftreten. Eine sorgfältige Anamnese ist erforderlich, da CDAD über zwei Monate nach der Verabreichung von Antibakterienmeistern berichtet wurde.
Wenn CDAD vermutet oder bestätigt wird C. schwierig Möglicherweise muss eingestellt werden. Geeignete Antibakterienmedikamentenbehandlung von Flüssigkeits- und Elektrolytmanagement -Protein Supplementation C. schwierig Und surgical evaluation should be instituted as clinically indicated.
Entwicklung von drogenresistenten Bakterien
Die Verschreibung von Merrem IV in Ermangelung einer nachgewiesenen oder stark vermuteten bakteriellen Infektion oder einer prophylaktischen Indikation ist unwahrscheinlich, dass es dem Patienten einen Nutzen bringt und das Risiko für die Entwicklung von medikamentenresistenten Bakterien erhöht.
Überwachsen von nicht merkwürdigen Organismen
Wie bei anderen Breitspektrum kann antibakterielle Arzneimittel von Meropenem eine längere Verwendung von Meropenem zu einem Überwachsen von nicht merkwürdigen Organismen führen. Die wiederholte Bewertung des Patienten ist unerlässlich. Wenn während der Therapie eine Superinfektion auftritt, sollten geeignete Maßnahmen ergriffen werden.
Können Sie Tylenol mit Percocet einnehmen?
Thrombozytopenie
Bei Patienten mit Nierenbeeinträchtigungs -Thrombozytopenie wurde beobachtet, aber keine klinischen Blutungen berichtet [siehe Dosierung und Verwaltung Nebenwirkungen Verwendung in bestimmten Populationen Und Klinische Pharmakologie ].
Potenzial für neuromotorische Beeinträchtigungen
Warnpatienten, die Merrem IV auf ambulanter Basis hinsichtlich unerwünschter Ereignisse wie Delir -Kopfschmerzen und/oder Parästhesien erhalten, die die geistige Wachsamkeit beeinträchtigen und/oder motorische Beeinträchtigungen verursachen könnten. Bis es einigermaßen gut festgelegt ist, dass Merrem IV gut vertragen wird, raten Sie den Patienten, keine Maschinen oder motorisierten Fahrzeuge zu betreiben [siehe Nebenwirkungen ].
Nichtklinische Toxikologie
Karzinogenese -Mutagenese -Beeinträchtigung der Fruchtbarkeit
Karzinogenese
Karzinogenese studies have not been performed.
Mutagenese
Genetische Toxizitätsstudien wurden mit Meropenem unter Verwendung des bakteriellen Reverse -Mutationstests durchgeführt. Der chinesische Hamster -HGPRT -Assay kultivierte humane Lymphozyten zytogener Assay und den Maus -Mikronukleus -Test. In einem dieser Tests gab es keine Hinweise auf ein mutagenes Potenzial.
Beeinträchtigung der Fruchtbarkeit
In Fruchtbarkeitsstudien wurde männliche Ratten intravenöser Meropenem ab 11 Wochen vor der Paarung und der Paarung und weiblichen Ratten ab 2 Wochen vor der Paarung durch Schwangerschaftstag 7 bei Dosen von 240 500 und 1000 mg/kg/Tag verabreicht. Es gab keine Hinweise auf eine beeinträchtigte Fruchtbarkeit bei Dosen von bis zu 1000 mg/kg/Tag (auf der Grundlage des Vergleichs der Körperoberfläche etwa 3,2 -mal zum MRHD von 1 Gramm alle 8 Stunden).
Verwendung in bestimmten Populationen
Schwangerschaft
Risikozusammenfassung
Es gibt unzureichende menschliche Daten, um festzustellen, ob bei schwangeren Frauen ein drogenassoziiertes Risiko für schwere Geburtsfehler oder Fehlgeburten mit Meropenem besteht.
Bei schwangeren Ratten und Cynomolgus -Affen wurden während der Organogenese bei Dosen bis zu 2,4 und 2,3 -fach die maximal empfohlene empfohlene menschliche Dosis (MRHD) basierend auf dem Vergleich der Körperoberfläche, keine fetalen Toxizität oder Missbildungen, bei schwangeren Ratten beobachtet. Bei Ratten, die in der Spätschwangerschaft intravenöses Meropenem verabreicht haben, und während der Laktationsperiode gab es keine nachteiligen Auswirkungen auf die Nachkommen bei Dosen, die ungefähr das 3,2 -fache des MRHD basierend auf dem Vergleich der Körperoberfläche entsprechen (siehe Daten ).
Das Hintergrundrisiko von schweren Geburtsfehlern und Fehlgeburten für die angegebene Bevölkerung ist unbekannt. Alle Schwangerschaften haben ein Hintergrundrisiko für einen Verlust von Geburtsfehlern oder andere nachteilige Ergebnisse. In der US -allgemeinen Bevölkerung beträgt das geschätzte Hintergrundrisiko für größere Geburtsfehler und eine Fehlgeburt bei klinisch anerkannten Schwangerschaften 2% bis 4% bzw. 15% bis 20%.
Daten
Meropenem, das schwangere Ratten während der Organogenese (Schwangerschaftstag 6 bis Schwangerschaftstag 17) in intravenösen Dosen von 240 500 und 750 mg/kg/Tag verabreicht wurde, war in allen Dosen mit mildem Gewichtsverlust mütterlichem Gewichtsverlust assoziiert, produzierte jedoch keine Fehlbildungen oder fetale Toxizität. Die in dieser Studie in dieser Studie auf fetale Toxizität (NOAEL) für fetale Toxizität (NOAEL) auf Nichtbeobachtung angesehene Dosis von 750 mg/kg/Tag (entspricht etwa dem 2,4-fachen des MRHD von 1 Gramm alle 8 Stunden basierend auf dem Vergleich der Körperoberfläche). Meropenem wurde während der Organogenese von Tag 20 bis 50 schwangere Cynomolgus -Affen intravenös verabreicht, nachdem sie bei Dosen von 120 240 und 360 mg/kg/Tag keine maternale oder fetale Toxizität auf dem NOAEL -Dosis von 360 mg/kg/Tag produzierten (ungefähr 2,3 Mal, der auf dem Vergleich von MRHD basiert).
In einer peri-postnatalen Studie an Ratten, die in der veröffentlichten Literatur beschrieben wurden 2 Intravenous Meropenem wurde von Schwangerschaftstag 17 bis zum Laktationstag 21 in Dosen von 240 500 und 1000 mg/kg/Tag zu Dämmen dministiert. Es gab keine nachteiligen Auswirkungen auf die Dämme und keine nachteiligen Auswirkungen auf die Nachkommen der ersten Generation (einschließlich Entwicklungsverhaltens- und funktionaler Bewertungen und Fortpflanzungsparameter), mit der Ausnahme, dass weibliche Nachkommen verringerte Körpergewichte aufwiesen, die während der Schwangerschaft und der Pflege der Nachkommen der zweiten Generation fortgesetzt wurden. Nachkommen der zweiten Generation zeigten keine meropenembezogenen Effekte. Der NOAEL -Wert wurde als 1000 mg/kg/Tag angesehen (ungefähr das 3,2 -fache der MRHD basierend auf Vergleiche der Körperoberfläche).
Stillzeit
Risikozusammenfassung
Es wurde berichtet, dass Meropenem in Muttermilch ausgeschieden wurde. Über die Auswirkungen von Meropenem auf das gestillte Kind oder auf die Milchproduktion sind keine Informationen verfügbar. Die Entwicklungs- und gesundheitlichen Vorteile des Stillens sollten zusammen mit dem klinischen Bedarf der Mutter nach Merrem IV und potenziellen nachteiligen Auswirkungen des gestillten Kindes von Merrem IV oder unter den zugrunde liegenden mütterlichen Erkrankungen berücksichtigt werden.
Pädiatrische Verwendung
Die Sicherheit und Wirksamkeit von Merrem IV wurde für pädiatrische Patienten ab 3 Monaten und älter mit komplizierten Haut- und Hautstrukturinfektionen und bakteriellen Meningitis sowie für pädiatrische Patienten jeden Alters mit komplizierten intraabdominalen Infektionen festgelegt.
Haut- und Hautstrukturinfektionen
Verwendung von Merrem IV bei pädiatrischen Patienten ab 3 Monaten und älter mit komplizierten Haut- und Hautstrukturinfektionen wird durch Beweise aus einer angemessenen und gut kontrollierten Studie an Erwachsenen und zusätzliche Daten aus pädiatrischen Pharmakokinetikstudien unterstützt [siehe Indikationen und Nutzung Dosierung und Verwaltung Nebenwirkungen Klinische Pharmakologie Und Klinische Studien ].
Intraabdominale Infektionen
Die Verwendung von Merrem IV bei pädiatrischen Patienten ab 3 Monaten und älter mit intraabdominalen Infektionen wird durch Hinweise aus angemessenen und gut kontrollierten Studien bei Erwachsenen mit zusätzlichen Daten aus pädiatrischen Pharmakokinetikstudien und kontrollierten klinischen Studien bei pädiatrischen Patienten gestützt. Die Verwendung von Merrem IV bei pädiatrischen Patienten im Alter von weniger als 3 Monaten mit intraabdominalen Infektionen wird durch Hinweise aus angemessenen und gut kontrollierten Studien bei Erwachsenen mit zusätzlichen Daten aus einer pädiatrischen Pharmakokinetik- und Sicherheitsstudie gestützt [siehe Indikationen und Nutzung Dosierung und Verwaltung Nebenwirkungen Klinische Pharmakologie Und Klinische Studien ].
Bakterielle Meningitis
Verwendung von Merrem IV bei pädiatrischen Patienten ab 3 Monaten und älter mit bakterieller Meningitis wird durch Hinweise aus angemessenen und gut kontrollierten Studien in der pädiatrischen Population gestützt [siehe Indikationen und Nutzung Dosierung und Verwaltung Nebenwirkungen Klinische Pharmakologie Und Klinische Studien ].
Geriatrische Verwendung
Von der Gesamtzahl der Probanden in klinischen Studien von Merrem IV waren ungefähr 1100 (30%) 65 Jahre und älter, während 400 (11%) 75 Jahre und älter waren. Zusätzlich in einer Studie mit 511 Patienten mit komplizierten Haut- und Hautstrukturinfektionen waren 93 (18%) 65 Jahre und älter, während 38 (7%) 75 Jahre und älter waren. Es wurden keine allgemeinen Unterschiede in der Sicherheit oder Wirksamkeit zwischen diesen Probanden und jüngeren Probanden beobachtet. Spontane Berichte und andere berichtete klinische Erfahrungen haben keine Unterschiede in den Antworten zwischen älteren und jüngeren Patienten ermittelt, aber eine größere Empfindlichkeit einiger älterer Personen kann nicht ausgeschlossen werden.
Es ist bekannt, dass Meropenem von der Niere wesentlich ausgeschieden wird, und das Risiko von Nebenwirkungen auf dieses Medikament kann bei Patienten mit Nierenbeeinträchtigung höher sein. Da ältere Patienten mit größerer Wahrscheinlichkeit eine verminderte Nierenfunktionspflege haben, sollten die Selektion der Dosis durchgeführt werden, und es kann nützlich sein, die Nierenfunktion zu überwachen.
Eine pharmakokinetische Studie mit Merrem IV bei älteren Patienten hat eine Verringerung der Plasma-Clearance von Meropenem gezeigt, die mit der altersbedingten Verringerung der Kreatinin-Clearance korreliert [siehe Klinische Pharmakologie ].
Patienten mit Nierenbehinderung
Dosierung adjustment is necessary in patients with creatinine clearance 50 mL/min or less [see Dosierung und Verwaltung Warnungen und Vorsichtsmaßnahmen Und Klinische Pharmakologie ].
Referenzen
2. Kawamura s aw Russell SJ Freeman und Ra Siddall 1992 Reproduktions- und Entwicklungstoxizität von Meropenem bei Ratten Chemotherapie 40: S238-250.
Überdosierungsinformationen für Merrem I.V.
Bei Mäusen und Ratten wurden große intravenöse Dosen von Meropenem (2200 mg/kg bis 4000 mg/kg) mit Ataxie -Dyspnoe -Krämpfen und -Typalitäten in Verbindung gebracht.
Eine absichtliche Überdosierung von Merrem IV ist unwahrscheinlich, obwohl Patienten mit reduzierter Nierenfunktion eine zufällige Überdosierung auftreten können. Die größte Dosis von Meropenem, die in klinischen Studien verabreicht wurde, waren 2 Gramm, die alle 8 Stunden intravenös verabreicht wurden. Bei dieser Dosierung wurden keine nachteiligen pharmakologischen Effekte oder erhöhte Sicherheitsrisiken beobachtet.
Begrenzte Nachmarkterfahrung zeigt, dass wenn unerwünschte Ereignisse nach Überdosierung auftreten, im Einklang mit dem im Abschnitt Nebenwirkungen beschriebenen unerwünschten Ereignisprofile und im Allgemeinen mild im Schweregrad und der Auflösung bei der Abnahme oder Dosisreduktion. Betrachten Sie symptomatische Behandlungen. Bei Personen mit normaler Nierenfunktion erfolgt eine schnelle Niereneliminierung. Meropenem und sein Metabolit sind leicht dialyzierbar und durch Hämodialyse effektiv entfernt; Über die Verwendung von Hämodialyse zur Behandlung von Überdosierung sind jedoch keine Informationen verfügbar.
Kontraindikationen für Merrem i.v.
teilnehmen IV is contraindicated in patients with known hypersensitivity to any component of this product or to other drugs in the same class or in patients who have demonstrated anaphylactic reactions to beta (β)- lactams.
Klinische Pharmakologie for Merrem I.V.
Wirkungsmechanismus
Meropenem ist ein antibakterielles Medikament [siehe Mikrobiologie ].
Pharmakodynamik
Der Prozentsatz der Zeit eines Dosierungsintervalls, das die ungebundene Plasmakonzentration von Meropenem entlastet, übersteigt die minimale Hemmkonzentration der Meropenem -Hemmkonzentration (MIC) gegen den infizierenden Organismus, der am besten mit der Wirksamkeit bei tierischen und In -vitro -Infektionsmodellen korreliert.
Pharmakokinetik
Plasmakonzentrationen
Am Ende einer 30-minütigen intravenösen Infusion einer einzelnen Dosis von Merrem IV bei gesunden Freiwilligen beträgt die Meropenem-Peak-Plasmakonzentrationen von ungefähr 23 mcg/ml (Bereich 14-26) für die 500 mg-Dosis und 49 mcg/ml (Bereich 39-58) für die 1 Gram-Dose. Eine 5-minütige intravenöse Bolusinjektion von Merrem IV bei gesunden Freiwilligen führt zu mittleren Spitzenplasmakonzentrationen von ungefähr 45 mcg/ml (Bereich 18-65) für die 500 mg-Dosis und 112 mcg/ml (Bereich 83-140) für die 1 Gramm-Dosis.
Nach intravenösen Dosen von 500 mg mittleren Plasmakonzentrationen von Meropenem sinken normalerweise 6 Stunden nach der Verabreichung auf ungefähr 1 mcg/ml.
Bei gesunden Freiwilligen mit normaler Nierenfunktion wurde keine Ansammlung von Meropenem im Plasma unter Verwendung von 500 mg oder 1 Gramm beobachtet, die alle 6 Stunden verabreicht wurden.
Verteilung
Die Plasmaproteinbindung von Meropenem beträgt ungefähr 2%.
Nach einer einzelnen intravenösen Dosis von Merrem IV wurden nach Beginn der Infusion die höchsten mittleren mittleren Meropenem -Konzentrationen in Geweben und Flüssigkeiten nach 1 Stunde (NULL,5 Stunden bis 1,5 Stunden) gefunden, außer wo in den in Tabelle 5 aufgeführten Gewebe und Flüssigkeiten angegeben sind.
Tabelle 5: Meropenem -Konzentrationen in ausgewählten Geweben (höchste Konzentrationen gemeldet)
| Gewebe | Intravenös. Dosis (Gramm) | Anzahl der Proben | Mittelwert [μg/ml oder mcg/(gram)]* | Bereich [μg/ml oder mcg/(gram)] |
| Endometrium | 0.5 | 7 | 4.2 | 1.7-10.2 |
| Myometrium | 0.5 | 15 | 3.8 | 0,4-8.1 |
| Eierstock | 0.5 | 8 | 2.8 | 0,8-4,8 |
| Gebärmutterhals | 0.5 | 2 | 7 | 5.4-8.5 |
| Eileiter | 0.5 | 9 | 1.7 | 0,3-3,4 |
| Haut | 0.5 | 22 | 3.3 | 0,5-12,6 |
| Interstitielle Flüssigkeit † † | 0.5 | 9 | 5.5 | 3.2-8.6 |
| Haut | 1 | 10 | 5.3 | 1.3-16.7 |
| Interstitielle Flüssigkeit † † | 1 | 5 | 26.3 | 20.9-37.4 |
| Doppelpunkt | 1 | 2 | 2.6 | 2.5-2.7 |
| Sogar | 1 | 7 | 14,6 (3 Stunden) | 4-25.7 |
| Gallenblase | 1 | 1 | - | 3.9 |
| Peritonealflüssigkeit | 1 | 9 | 30.2 | 7.4-54.6 |
| Lunge | 1 | 2 | 4,8 (2 Stunden) | 1.4-8.2 |
| Bronchialschleimhaut | 1 | 7 | 4.5 | 1.3-11.1 |
| Muskel | 1 | 2 | 6.1 (2 Stunden) | 5.3-6.9 |
| Faszie | 1 | 9 | 8.8 | 1,5-20 |
| Herzventile | 1 | 7 | 9.7 | 6.4-12.1 |
| Myokard | 1 | 10 | 15.5 | 5.2-25.5 |
| CSF (entzündet) | 20 mg/kg ‡ 40 mg/kg§ | 8 5 | 1,1 (2 Stunden) 3,3 (3 Stunden) | 0,2-2,8 0,9-6,5 |
| CSF (unbekannt) | 1 | 4 | 0,2 (2 Stunden) | 0,1-0,3 |
| * Um 1 Stunde, sofern nicht anders angegeben † Aus Blasenflüssigkeit erhalten ‡ Bei pädiatrischen Patienten im Alter von 5 Monaten bis 8 Jahren § Bei pädiatrischen Patienten im Alter von 1 Monat bis 15 Jahren |
Beseitigung
Bei Probanden mit normaler Nierenfunktion beträgt die Eliminierungs-Halbwertszeit von Meropenem ungefähr 1 Stunde.
Stoffwechsel
Es gibt einen Metaboliten Meropenem, der mikrobiologisch inaktiv ist.
Ausscheidung
Meropenem wird hauptsächlich von den Nieren unverändert ausgeschieden. Ungefähr 70% (50% -5%) der Dosis werden innerhalb von 12 Stunden unverändert ausgeschieden. Weitere 28% werden als mikrobiologisch inaktiver Metaboliten gewonnen. Die Fäkalien Elimination entspricht nur ungefähr 2% der Dosis. Die gemessene Nierenfreiheit und die Wirkung von Probenecid zeigen, dass Meropenem sowohl einer Filtration als auch der tubulären Sekretion unterzogen wird. Die Urinkonzentrationen von Meropenem über 10 mcg/ml werden nach einer Dosis von 500 mg bis zu 5 Stunden lang aufrechterhalten.
Spezifische Populationen
Patienten mit Nierenbehinderung
Pharmakokinetische Studien mit Merrem IV bei Patienten mit Nierenbeeinträchtigungen haben gezeigt, dass die Plasmasklage von Meropenem mit der Kreatinin -Clearance korreliert. Dosierungsanpassungen sind bei Probanden mit Nierenbeeinträchtigung erforderlich (Kreatinin -Clearance 50 ml/min oder weniger) [siehe Dosierung und Verwaltung Und Verwendung in bestimmten Populationen ].
Meropenem IV ist hämodialyzierbar. Es gibt jedoch keine Informationen über die Nützlichkeit der Hämodialyse zur Behandlung von Überdosierung [siehe Überdosierung ].
Patienten mit Leberbehinderung
Eine pharmakokinetische Studie mit Merrem IV bei Patienten mit Leberbeeinträchtigung hat keine Auswirkungen der Lebererkrankung auf die Pharmakokinetik von Meropenem gezeigt.
Geriatrische Patienten
Eine pharmakokinetische Studie mit Merrem IV bei älteren Patienten mit Nierenbeeinträchtigungen zeigte eine Verringerung der Plasma-Clearance von Meropenem, die mit der altersbedingten Verringerung der Kreatinin-Clearance korreliert.
Pädiatrische Patienten
Die Pharmakokinetik von Meropenem für die Injektion IV bei pädiatrischen Patienten 2 Jahre oder älter ähnelt denen bei Erwachsenen. Die Eliminierungs-Halbwertszeit für Meropenem betrug bei pädiatrischen Patienten im Alter von 3 Monaten bis 2 Jahren ungefähr 1,5 Stunden.
Die Pharmakokinetik von Meropenem bei Patienten mit weniger als 3 Monaten, die eine antibakterielle medikamentöse Therapie erhalten, ist nachstehend angegeben.
Tabelle 6: Meropenem Pharmakokinetische Parameter bei Patienten unter 3 Monaten**
| GA weniger als 32 Wochen PNA weniger als 2 Wochen (20 mg/kg alle 12 Stunden) | GA weniger als 32 Wochen PNA ab 2 Wochen oder älter (20 mg/kg alle 8 Stunden) | GA 32 Wochen oder ältere PNA weniger als 2 Wochen (20 mg/kg alle 8 Stunden) | GA 32 Wochen oder ältere PNA ab 2 Wochen oder älter (30 mg/kg alle 8 Stunden) | Gesamt | |
| Cl (l/h/kg) | 0.089 | 0.122 | 0.135 | 0.202 | 0.119 |
| V (l/kg) | 0.489 | 0.467 | 0.463 | 0.451 | 0.468 |
| AUC0-24 (MCG-H/ML) | 448 | 491 | 445 | 444 | 467 |
| CMAX (MCG/ML) | 44.3 | 46.5 | 44.9 | 61 | 46.9 |
| Cmin (MCG/ml) | 5.36 | 6.65 | 4.84 | 2.1 | 5.65 |
| T½ (h) | 3.82 | 2.68 | 2.33 | 1.58 | 2.68 |
| * Die Werte stammen aus einer populations pharmakokinetischen Analyse von spärlichen Daten |
Wechselwirkungen mit Arzneimitteln
Probenecid competes with Meropenem for active tubular secretion Und thus inhibits the renal excretion of Meropenem. Following administration of probenecid with Meropenem the mean systemic exposure increased 56% Und the mean elimination half-life increased 38% [see Wechselwirkungen mit Arzneimitteln ].
Mikrobiologie
Wirkungsmechanismus
Die bakterizide Aktivität von Meropenem resultiert aus der Hemmung der Zellwandsynthese. Meropenem dringt in die Zellwand der meisten grampositiven und gramnegativen Bakterien ein, um Penicillin-Bindungs-Protein-Ziele (PBP) zu binden. Meropenem bindet an Pbps 2 3 und 4 von Sie zeigten Chill Und Pseudomonas aeruginosa ; und Pbps 1 2 und 4 von Staphylococcus aureus . Bakterizide Konzentrationen (definiert als 3-logarithmische Reduktion der Zellzahlen innerhalb von 12 Stunden bis 24 Stunden) sind typischerweise 1-2-mal die bakteriostatischen Konzentrationen von Meropenem mit Ausnahme von Meropenem Listeria monocytogenes gegen die tödliche Aktivität nicht beobachtet wird.
Meropenem hat keine In-vitro-Aktivität gegen Methicillin-resistent Staphylococcus aureus (MRSA) oder Methicillin-resistent Staphylococcus epidermidis (Frau).
Widerstand
There are several mechanisms of resistance to carbapenems: 1) decreased permeability of the outer membrane of gram-negative bacteria (due to diminished production of porins) causing reduced bacterial uptake 2) reduced affinity of the target PBPs 3) increased expression of efflux pump components and 4) production of antibacterial drug-destroying enzymes (carbapenemases Metallo-β-Lactamasen).
Die Kreuzresistenz wird manchmal mit Isolaten beobachtet, die gegen andere Carbapenems resistent sind.
Wechselwirkung mit anderen antimikrobiellen
In -vitro -Tests zeigen, dass Meropenem mit Aminoglycosid -Antibakterienmedikamenten gegen einige Isolate von synergistisch wirkt Pseudomonas aeruginosa .
Antimikrobielle Aktivität
Es wurde gezeigt, dass Meropenem gegen die meisten Isolate der folgenden Mikroorganismen sowohl in vitro als auch bei klinischen Infektionen aktiv ist [siehe Indikationen und Nutzung ].
Grampositive Bakterien
Enterococcus faecalis (Nur Vancomycin-empfindliche Isolate)
Staphylococcus aureus (Nur Methicillin-sanfizierbare Isolate)
Streptococcus agalactiae
Streptococcus pneumoniae (Nur Penicillin-Susempfindlichkeits-Isolate)
Streptococcus pyogenes
Viridans Group Streptococci
Gramnegative Bakterien
Sie zeigten Chill
Haemophilus Influenzae
Klebsiella pneumoniae
Neisseria meningitidis
Proteus wunderbar
Pseudomonas aeruginosa
Anaerobe Bakterien
Bacteroides fragilis
Bacteroides Thetaiotaomicron
Peptostreptococcus Spezies
Die folgenden In -vitro -Daten sind verfügbar, aber ihre klinische Bedeutung ist unbekannt. Mindestens 90% der folgenden Bakterien weisen eine in vitro minimale Hemmkonzentration (MIC) unter oder gleich dem anfälligen Breakpoint für Meropenem gegen Isolate einer ähnlichen Gattung oder Organismusgruppe auf. Die Wirksamkeit von Meropenem bei der Behandlung klinischer Infektionen, die durch diese Bakterien verursacht wurden, wurde jedoch nicht in angemessenen und gut kontrollierten klinischen Studien festgelegt.
Grampositive Bakterien
Staphylococcus epidermidis (Nur Methicillin-sanfizierbare Isolate)
Gramnegative Bakterien
Aeromonas Hydrophila
Campylobacter Jejuni
Citrobacter fruundii
Citrobacter koseri
Enterobacter Cloacae
Hafnia Alvei
Klebsiella oxytoca
Moraxella catarrhalis
Morganella Morganies
Pasteurella multocida
Proteus vulgaris
Serratia marcescens
Verapamil Moa
Anaerobe Bakterien
Bacteroides ovatus
Bacteroides Uniformis
Bacteroides ureolyticus
Bakteroides häufig
Clostridium difficile
Clostridium Perflingens
Eggerthella lenta
Fusobacterium Spezies
Parabacteroide Distasonis
Porphyromonas Asaccharolytica
Prevotella bivia
Prevetella intermedia
Prevotella melaninogenica
Propionibacterium acnes
Empfindlichkeitstest
Für spezifische Informationen zu Suszeptibilitätstest -Interpretationskriterien und zugehörigen Testmethoden und Qualitätskontrollstandards, die von der FDA für dieses Medikament erkannt wurden, siehe: https://www.fda.gov/stic.
Klinische Studien
Komplizierte Haut- und Hautstrukturinfektionen
Erwachsene Patienten mit komplizierten Haut- und Hautstrukturinfektionen, einschließlich komplizierter Zellulitis-Komplexabszesse perirektale Abszesse und Hautinfektionen, die intravenöse antimikrobielle Krankenhausaufenthalte und chirurgische Eingriffe erforderten, wurden in eine randomisierte internationale Doppelblind-Studie mit mehreren Zentren eingeschlossen. Die Studie bewertete Meropenem in Dosen von 500 mg intravenös alle 8 Stunden und Imipenem-Cilastatin in Dosen von 500 mg, die alle 8 Stunden intravenös verabreicht wurden. Die Studie verglich das klinische Ansprechen zwischen Behandlungsgruppen in der klinisch bewertbaren Population beim Follow-up-Besuch (Test-of-Cure). Der Prozess wurde in den Vereinigten Staaten Südafrika Kanada und Brasilien durchgeführt. Bei der Einschreibung hatten ungefähr 37% der Patienten zugrunde liegende Diabetes 12% zugrunde liegende periphere Gefäßerkrankungen und 67% hatten eine chirurgische Intervention. Die Studie umfasste 510 Patienten, die in Meropenem randomisiert wurden, und 527 Patienten, die randomisiert zu Imipenem-Cilastatin wurden. Zweihundertsechzig einundsechzig (261) Patienten, die randomisiert zu Meropenem und 287 Patienten, die nach randomisierten IMIPenem-Cilastatin randomisierten, waren klinisch bewertbar. Die Erfolgsraten bei den klinisch bewertbaren Patienten beim Follow-up-Besuch betrugen 86% (225/261) im Meropenem-Arm und 83% (238/287) im IMIPenemcilastatin-Arm.
Die Erfolgsraten für die klinisch bewertbare Bevölkerung sind in Tabelle 7 bereitgestellt.
Tabelle 7: Erfolgsraten bei CREIS-Test-Besuch für klinisch bewertbare Bevölkerung mit komplizierten Haut- und Hautstrukturinfektionen
| Bevölkerung | teilnehmen IV n*/n † (%) | Imipenem-Cilastatin n*/n † (%) |
| Gesamt | 225/261 (86) | 238/287 (83) |
| Diabetes mellitus | 83/97 (86) | 76/105 (72) |
| Kein Diabetes mellitus | 142/164 (87) | 162/182 (89) |
| Weniger als 65 Jahre alt | 190/218 (87) | 205/241 (85) |
| 65 Jahre oder älter | 35/43 (81) | 33/46 (72) |
| Männer | 130/148 (88) | 137/172 (80) |
| Frauen | 95/113 (84) | 101/115 (88) |
| * n = Anzahl der Patienten mit zufriedenstellender Reaktion. † n = Anzahl der Patienten in der klinisch bewertbaren Population oder der jeweiligen Untergruppe innerhalb der Behandlungsgruppen. |
Die klinischen Wirksamkeitsraten nach Pathogen sind in Tabelle 8 bereitgestellt. Die Werte repräsentieren die Anzahl der klinisch gehärteten Patienten/Anzahl klinisch bewertbarer Patienten beim Nachbeobachtungsbesuch mit der prozentualen Heilung in Klammern (vollständig evaluierlicher Analyse-Set).
Tabelle 8: Klinische Wirksamkeitsraten durch Erreger für die klinisch bewertbare Bevölkerung
| Mikroorganismen* | teilnehmen IV n †/n ‡ (%) § | Imipenem-Cilastatin n †/n ‡ (%) § |
| Grampositive Aerobes | ||
| Staphylococcus aureus methicillin susceptible | 82/88 (93) | 84/100 (84) |
| Streptococcus pyogenes (Gruppe A) | 26/29 (90) | 28/32 (88) |
| Streptococcus agalactiae (Gruppe b) | 12/17 (71) | 16/19 (84) |
| Enterococcus faecalis | 9/12 (75) | 14/20 (70) |
| Viridans Group Streptococci | 11/12 (92) | 5/6 (83) |
| Gram-negative Aerobes | ||
| Sie zeigten Chill | 12/15 (80) | 15/21 (71) |
| Pseudomonas aeruginosa | 11/15 (73) | 13/15 (87) |
| Proteus wunderbar | 11/13 (85) | 6/7 (86) |
| Anaerobes | ||
| Bacteroides fragilis | 10/11 (91) | 9/10 (90) |
| Peptostreptococcus Spezies | 10/13 (77) | 14/16 (88) |
| * Patienten können mehr als einen Vorbehandlungspathogen haben. † n = Anzahl der Patienten mit zufriedenstellender Reaktion. ‡ n = Anzahl der Patienten in der klinisch bewertbaren Population oder Untergruppe innerhalb der Behandlungsgruppen. §%= Prozent der zufriedenstellenden klinischen Reaktion bei der Nachuntersuchung. |
Der Anteil der Patienten, die die Behandlung der Studie aufgrund eines unerwünschten Ereignisses abstellten, war für beide Behandlungsgruppen ähnlich (Meropenem 2,5% und Imipenem-Cilastatin 2,7%).
Komplizierte intraabdominale Infektionen
Eine kontrollierte klinische Studie zur komplizierten intraabdominalen Infektion wurde in den USA durchgeführt, wo Meropenem mit Clindamycin/Tobramycin verglichen wurde. In Europa wurden drei kontrollierte klinische Studien mit komplizierten intraabdominalen Infektionen durchgeführt. Meropenem wurde mit Imipenem (zwei Versuchen) und Cefotaxim/Metronidazol (ein Versuch) verglichen.
Unter Verwendung strenger Bewertbarkeitskriterien und mikrobiologischer Ausrottung und klinischen Heilungen bei der Nachuntersuchung, die 7 oder mehr Tage nach Abschluss der Therapie auftraten.
Tabelle 9: Vermutliche mikrobiologische Ausrottung und klinische Heilungsraten bei einem Test-of-Cure-Besuch in der bewertbaren Bevölkerung mit komplizierter intraabdominaler Infektion
| Behandlungsarm | Nr. Evaluable/ Nr. Eingeschrieben (%) | Mikrobiologische Ausrottungsrate | Klinische Heilungsrate | Ergebnis |
| Meropenem | 146/516 (28%) | 98/146 (67%) | 101/146 (69%) | |
| Imipenem | 65/220 (30%) | 40/65 (62%) | 42/65 (65%) | Meropenem equivalent to control |
| Cefotaxim/ Metronidazol | 26/85 (30%) | 22/26 (85%) | 22/26 (85%) | Meropenem not equivalent to control |
| Clindamycin/ Tobramycin | 50/212 (24%) | 38/50 (76%) | 38/50 (76%) | Meropenem equivalent to control |
Der Befund, dass Meropenem nicht statistisch zu Cefotaxim/Metronidazol entspricht, könnte auf die ungleiche Zuordnung von schwerkranken Patienten zum Meropenem -Arm zurückzuführen sein. Derzeit stehen keine zusätzlichen Informationen zur Verfügung, um diese Beobachtung weiter zu interpretieren.
Bakterielle Meningitis
Vierhundert sechsundvierzig Patienten (397 pädiatrische Patienten 3 Monate bis weniger als 17 Jahre) wurden in 4 separate klinische Studien aufgenommen und zur Behandlung mit Meropenem (n = 225) in einer Dosis von 40 mg/kg alle 8 Stunden oder ein Vergleichsmedikament, d. H. Cefotaxim (n = 187) oder Ceftriaxon (N = 34), randomisiert. Es wurde festgestellt, dass eine vergleichbare Anzahl von Patienten klinisch bewertbar ist (zwischen 61 und 68%) und mit einer ähnlichen Verteilung der auf anfänglichen CSF-Kultur isolierten Krankheitserreger.
Die Patienten wurden als klinisch nicht geheilt, wenn eines der folgenden drei Kriterien erfüllt wurde:
- Bei der 5-7 Wochen nach der Abschluss des Therapiebesuchs hatte der Patient einen der folgenden: mittelschwerer bis schwerer motorischer Verhalten oder Entwicklungsdefizite Hörverlust von mehr als 60 Dezibel in einem oder beiden Ohren oder Blindheit.
- Während der Therapie erforderte der klinische Status des Patienten die Zugabe anderer antibakterieller Arzneimittel.
- Entweder während oder nach der Therapie entwickelte der Patient einen großen subduralen Erguss, der eine chirurgische Entwässerung oder einen zerebralen Abszess oder einen bakteriologischen Rückfall erforderte.
Unter Verwendung der Definition wurden die folgenden Wirksamkeitsraten pro Organismus erhalten (in Tabelle 10 angegeben). Die Werte repräsentieren die Anzahl der klinisch geheilten Patienten/Anzahl klinisch evaluierlicher Patienten mit prozentualer Heilung in Klammern.
Tabelle 10: Wirksamkeitsraten durch Erreger in der klinisch bewertbaren Population mit bakterieller Meningitis
| Mikroorganismen | teilnehmen IV | Vergleicher |
| St. Pneumoniae | 17/24 (71) | 19/30 (63) |
| H. Influenzae ()* | 8/10 (80) | 6/6 (100) |
| H. Influenzae (-/nt) † | 44/59 (75) | 44/60 (73) |
| N. meningitidis | 30/35 (86) | 35/39 (90) |
| Gesamt (including others) | 102/131 (78) | 108/140 (77) |
| *() β-Lactamase-Produzierung † (-/nt) nicht β-Lactamase-produzierend oder nicht getestet |
Folgen waren der häufigste Grund, warum Patienten als klinisch nicht geheilt wurden.
Es wurde festgestellt, dass fünf Patienten in der Vergleichsgruppe (1 Rückfall und 2 Patienten mit zerebralen Abszessen) und 2 in der Meropenem -Gruppe bakteriologisch nicht geheilt sind (1 Rückfall und 1 mit fortgesetzten Wachstum von Pseudomonas aeruginosa).
In Bezug auf den Hörverlust hatten 263 der 271 evaluierlichen Patienten mindestens einen Hörtest nach der Therapie. Die folgende Tabelle zeigt den Grad des Hörverlusts zwischen den mit Meropenem behandelten Patienten und den mit vergleicher behandelten Patienten.
Tabelle 11: Hörverlust bei der Therapie in der mit Meropenem behandelten Bevölkerungsbevölkerung
| Grad des Hörverlusts (in einem oder beiden Ohren) | Meropenem n = 128 | Vergleicher n = 135 |
| Kein Verlust | 61% | 56% |
| 20-40 Dezibel | 20% | 24% |
| Mehr als 40-60 Dezibel | 8% | 7% |
| Mehr als 60 Dezibel | 9% | 10% |
Patienteninformationen für Merrem i.v.
- Anwält Patienten, dass antibakterielle Medikamente einschließlich Merrem IV nur zur Behandlung von bakteriellen Infektionen eingesetzt werden sollten. Sie behandeln keine Virusinfektionen (z. B. die Erkältung). Wenn Merrem IV zur Behandlung einer bakteriellen Infektion den Patienten verschrieben wird, nimmt es zwar üblich, dass es im Verlauf der Therapie gemeinsam besser ist, das Medikament genau wie angewiesen. Das Überspringen von Dosen oder nicht abschließend den vollständigen Therapieverlauf kann (1) die Wirksamkeit der sofortigen Behandlung verringern und (2) die Wahrscheinlichkeit erhöhen, dass Bakterien Resistenz entwickeln und in Zukunft nicht durch Merrem IV oder andere antibakterielle Arzneimittel behandelt werden können.
- Anwältepatienten, dass Durchfall ein häufiges Problem ist, das durch antibakterielle Arzneimittel verursacht wird, die normalerweise endet, wenn das antibakterielle Arzneimittel abgesetzt wird. Manchmal können Patienten nach Beginn der Behandlung mit antibakteriellen Arzneimitteln wässrige und blutige Stühle (mit oder ohne Magenkrämpfe und Fieber) entwickeln, auch bis nach zwei oder mehr Monaten nach der letzten Dosis des antibakteriellen Arzneimittels. Wenn dies auftritt, sollten Patienten so bald wie möglich ihren Arzt kontaktieren [siehe Warnungen und Vorsichtsmaßnahmen ].
- Anwält die Patienten, um ihren Arzt zu informieren, ob sie Valproinsäure oder Divalprox -Natrium einnehmen. Valproinsäurekonzentrationen im Blut können nach der gleichzeitigen Verabreichung mit Merrem IV den therapeutischen Bereich fallen. Wenn die Behandlung mit Merrem IV erforderlich ist und eine fortgesetzte alternative oder ergänzende Anti-Konvulsiva-Medikamente zur Vorbeugung und/oder Behandlung von Anfällen erforderlich ist [siehe Warnungen und Vorsichtsmaßnahmen ].
- Patienten, die ambulant Merrem IV erhalten, müssen über unerwünschte Ereignisse wie Anfälle von Delirium -Kopfschmerzen und/oder Parästhesien alarmiert werden, die die geistige Wachsamkeit beeinträchtigen und/oder motorische Beeinträchtigungen verursachen könnten. Bis es einigermaßen bekannt ist, dass Merrem IV gut vertragen, sollten Patienten keine Maschinen oder motorisierten Fahrzeuge betreiben [siehe Warnungen und Vorsichtsmaßnahmen ].