Die Informationen Auf Dieser Website Stellen Keine Medizinische Beratung Dar. Wir Verkaufen Nichts. Die Richtigkeit Der Übersetzung Wird Nicht Garantiert. Haftungsausschluss



Nubain

Drogenzusammenfassung

Was ist Nubain?

Nubain (Nalbuphine -Hydrochlorid) ist ein Betäubungsmittelschmerzablastung zur Behandlung mittelschwerer bis starker Schmerzen. Nubain wird auch zur Behandlung von Schmerzen gleich nach Operation oder Geburt verwendet.

Was sind Nebenwirkungen von Nubain?

Nubain kann schwerwiegende Nebenwirkungen verursachen, einschließlich:



  • Langsames Atmen mit langen Pausen
  • Blau gefärbte Lippen
  • schwer aufzuwachen
  • flache Atmung
  • Atmen, der während des Schlafes aufhört
  • Benommenheit
  • schwere Schläfrigkeit
  • schwere Verstopfung
  • Brechreiz
  • Erbrechen
  • Appetitverlust
  • Schwindel
  • Verschlechterung von Müdigkeit und
  • Schwäche

Holen Sie sich sofort medizinische Hilfe, wenn Sie eines der oben aufgeführten Symptome haben.



Zu den häufigen Nebenwirkungen von Nubain gehören:

  • Spülung (Wärme Kribbeln oder Rötung)
  • Brechreiz
  • Erbrechen
  • Magenkrämpfe oder Schmerzen
  • Magenverstimmung
  • Schwindel
  • Spinngefühl
  • Trockener Mund
  • bitterer oder unangenehmer Geschmack in Ihrem Mund
  • Schwitzen
  • Haut juckt oder brennendes Gefühl
  • Ausschlag
  • Kopfschmerzen
  • Nervosität
  • Unruhe
  • Depression
  • seltsame Träume
  • verschwommene Sprache oder
  • verschwommenes Sehen.

Suchen Sie medizinische Versorgung oder rufen Sie auf einmal 911 an, wenn Sie die folgenden schwerwiegenden Nebenwirkungen haben:



  • Schwerwiegende Augensymptome wie plötzlicher Sehverlust verschwommenes Sehen Tunnel Sehschmerzen oder Schwellungen oder Halos in der Umgebung des Lichts;
  • Schwerwiegende Herzsymptome wie schnelle unregelmäßige oder pochende Herzschläge; Flattern in deiner Brust; Kurzatmigkeit; und plötzliche Schwindel -Benommenheit oder ohnmächtig;
  • Starke Kopfschmerzen Verwirrung verwirrt Spracharm oder Bein Schwäche Schwierigkeiten beim Verlust der Koordination unstabil sehr steifes Muskeln hoher Fieber problemlos Schwitzen oder Zittern.

Dieses Dokument enthält nicht alle möglichen Nebenwirkungen und andere können auftreten. Wenden Sie sich an Ihren Arzt nach zusätzlichen Informationen zu Nebenwirkungen.

Dosierung für Nubain

Die übliche empfohlene erwachsene Nubain -Dosis beträgt 10 mg für eine 70 -kg -individuelle verabreichte subkutan intramuskuläre oder intravenös; Diese Dosis kann bei Bedarf alle 3 bis 6 Stunden wiederholt werden.

Welche Medikamentensubstanzen oder Nahrungsergänzungsmittel interagieren mit Nubain?

Bestanden mit Interacts mit:

  • Andere Betäubungsmittelschmerzmedikamente
  • Beruhigungsmittel
  • Beruhigungsmittel
  • Muskelrelaxer oder
  • Alle anderen Medikamente, die Sie schläfrig machen oder Ihre Atmung verlangsamen können

Sagen Sie Ihrem Arzt alle Medikamente, die Sie verwenden.

Nubain während der Schwangerschaft und Stillen

Während der Schwangerschaft sollte Nubain nur angewendet werden, wenn sie verschrieben werden. Dieses Medikament kann in Muttermilch übergehen und einem Pflegebaby schädigen. Wenden Sie sich vor dem Stillen an Ihren Arzt. Möglicherweise haben Sie Entzugssymptome, wenn Sie dieses Medikament abrupt einstellen.

Weitere Informationen

Unser Nubain (Nalbuphine -Hydrochlorid) -Seitungs -Arzneimittelzentrum bietet einen umfassenden Überblick über verfügbare Arzneimittelinformationen über die potenziellen Nebenwirkungen bei der Einnahme dieses Medikaments.

FDA -Drogeninformationen

WARNUNG

Suchtmissbrauch und Missbrauch; Lebensbedrohliche Atemdepression; Neugeborenen -Opioid -Entzugssyndrom; und Risiken durch gleichzeitige Verwendung mit Benzodiazepinen oder anderen ZNS -Depressiva

Suchtmissbrauch und Missbrauch

Die Nalbuphine -Hydrochlorid -Injektion setzt Patienten und andere Benutzer dem Risiko von Opioidsucht Missbrauch und Missbrauch aus, die zu Überdosierung und Tod führen können. Bewerten Sie das Risiko jedes Patienten vor der Verschreibung von Nalbuphinhydrochlorid -Injektion und überwachen Sie alle Patienten regelmäßig auf die Entwicklung dieser Verhaltensweisen oder Erkrankungen [siehe WARNUNGS ].

Lebensbedrohliche Atemdepression

Eine schwerwiegende lebensbedrohliche oder tödliche Atemdepression kann bei der Verwendung der Nalbuphinhydrochlorid-Injektion auftreten. Überwachung der Atemdepression, insbesondere während der Initiierung von Nalbuphinhydrochlorid -Injektion oder nach einer Dosisanstieg [siehe WARNUNGS ].

Neugeborenen -Opioid -Entzugssyndrom

Eine längere Anwendung der Nalbuphinhydrochlorid-Injektion während der Schwangerschaft kann zu einem Opioid-Entzug-Syndrom für Neugeborene führen, das möglicherweise lebensbedrohlich, wenn sie nicht anerkannt und behandelt wird und die von den von Neonatologie-Experten entwickelte Protokolle nach Protokollen entwickelt wird. Wenn eine schwangere Frau für einen längeren Zeitraum von Opioidkonsum erforderlich ist, raten Sie dem Patienten des Risikos eines Opioid -Entzug -Syndroms für Neugeborene und stellen Sie sicher, dass eine angemessene Behandlung verfügbar ist [siehe WARNUNGS ].

günstige Ausflugsziele

Risiken aus der gleichzeitigen Verwendung mit Benzodiazepinen oder anderen ZNS -Depressiva

Ein gleichzeitiger Einsatz von Opioiden mit Benzodiazepinen oder anderen Zentralnervensystemen (ZNS) Depressiva einschließlich Alkohol kann zu einer tiefgreifenden Atemwirtdepression und Tod führen [siehe WARNUNGS Wechselwirkungen mit Arzneimitteln ].

  • Reserve gleichzeitig die Verschreibung von Nalbuphinhydrochlorid und Benzodiazepinen oder anderen ZNS -Ameisen für die Verwendung bei Patienten, für die alternative Behandlungsoptionen unzureichend sind.
  • Begrenzen Sie die DOS -Altersgruppen und -dauern auf das erforderliche Minimum.
  • Folgen Sie den Patienten für Anzeichen und Symptome einer Atemdepression und Sedierung.

Beschreibung für Nubain

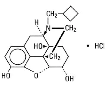
Nalbuphine-Hydrochlorid ist ein synthetisches Opioid-Agonisten-Antagonist-Analgetika der Phenanthrenerie. Es ist chemisch sowohl mit dem weit verbreiteten Opioidantagonisten -Naloxon als auch mit dem starken Opioid -Analgetika -Oxymorphone verwandt. Chemisch Nalbuphinhydrochlorid ist 17- (Cyclobutylmethyl) -45α-Epoxymorphinan-36α14-Triolhydrochlorid. Das Molekulargewicht von Nalbuphine Hydrochlorid beträgt 393,91 und ist in H löslich 2 O (NULL,5 mg/ml bei 25 ° C) und Ethanol (NULL,8%); unlöslich in Chcl 3 und Äther. Nalbuphine Hydrochlorid hat PKA -Werte von 8,71 und 9,96. Die molekulare Formel ist c 21 H 27 NEIN 4 • HCl. Die strukturelle Formel lautet:

Die Nalbuphinhydrochloridinjektion ist eine sterile nicht pyrogene Lösung von Nalbuphinhydrochlorid in Wasser zur Injektion. Dieses Produkt kann durch subkutane intramuskuläre oder intravenöse Injektion verabreicht werden.

Jeder Milliliter (ML) enthält Nalbuphinhydrochlorid 10 mg oder 20 mg; Natriumcitrat Dihydrat 0,47 mg und Zitronensäure wasserfrei 0,63 mg als Puffer zugesetzt und kann Natriumhydroxid und/oder Salzsäure zur pH -Einstellung enthalten; pH 3,7 (3.0 bis 4,5). Enthält Natriumchlorid für die Tonizitätsanpassung.

Mehrere dosierte Fläschchen enthalten 1,8 mg/ml Methylparaben und 0,2 mg/ml Propylparaben als Konservierungsmittel zugesetzt. Einzeldosierungsprodukte enthalten keinen Bakteriostaten oder antimikrobiellen Mittel und nicht verwendete Teile müssen verworfen werden.

Arbeitslosigkeit

Nubain ist für die Behandlung von Schmerzen angezeigt, die schwerwiegend genug sind, um eine Opioidanalgetikerin zu benötigen und für die alternative Behandlungen unzureichend sind. Nubain kann auch als Ergänzung zur ausgewogenen Anästhesie zur präoperativen und postoperativen Analgesie -AD für geburtshilfliche Analgesie während der Wehen und Entbindung verwendet werden.

Einschränkungen der Nutzung

Aufgrund des Risikos von Suchtmissbrauch und Missbrauch mit Opioiden, die bei jeder Dosierung oder Dauer auftreten können [siehe WARNUNGS ] Nubain reservieren für die Verwendung bei Patienten, für die alternative Behandlungsoptionen [z. Nicht-Opioid-Analgetika]:

  • Nicht toleriert wurden oder nicht erwartet werden, dass sie toleriert werden
  • Haben keine angemessene Analgesie bereitgestellt oder es wird nicht erwartet, dass sie eine angemessene Analgesie liefert.

Nubain sollte nicht über einen längeren Zeitraum verwendet werden, es sei denn, der Schmerz bleibt schwerwiegend genug, um eine Opioidanalgetikerin zu erfordern und für die alternative Behandlungsoptionen weiterhin unzureichend sind.

Dosierung für Nubain

Wichtige Dosierungs- und Verwaltungsanweisungen

Nubain sollte als Ergänzung zur Vollnarkose nur durch Personen verabreicht werden, die speziell in der Verwendung von intravenöser Anästhesie und dem Management der Atemwirkung wirksamer Opioide ausgebildet wurden.

Naloxon -Wiederbelebungs- und Intubationsgeräte und Sauerstoff sollten leicht verfügbar sein.

Verwenden Sie die niedrigste wirksame Dosierung für die kürzeste Zeitdauer im Einklang mit individuellen Patientenbehandlungszielen [siehe WARNUNGS ]. Because the risk of overdose increases as opioid doses increase reserve titration to higher doses of Nubain for patients in whom lower doses are insufficiently effective Und in whom the expected benefits of using a higher dose opioid clearly outweigh the substantial risks.

Die Opioid -Analgetika -Dosis und -dauer besteht zur Variabilität, die erforderlich ist, um sowohl durch die Schmerzursache als auch für die einzelnen Patientenfaktoren angemessen zu behandeln. Initiieren Sie das Dosierungsschema für jeden Patienten individuell unter Berücksichtigung der zugrunde liegenden Ursache und Schwere des Schmerzes vor der analgetischen Behandlung sowie der Reaktion sowie der Risikofaktoren für Missbrauch und Missbrauch von Sucht [siehe WARNUNGS ].

Atemdepression kann jederzeit während der Opioid -Therapie auftreten, insbesondere wenn die Initiierung und die Erhöhung der Dosierung mit Nubain zunimmt. Betrachten Sie dieses Risiko bei der Auswahl einer Anfangsdosis und bei der Dosisanpassungen [siehe WARNUNGS ].

Parenterale Arzneimittel sollten vor der Verabreichung visuell auf Partikel und Verfärbungen untersucht werden, wenn Lösung und Behälter dies zulassen.

Anfängliche Dosierung

Die übliche empfohlene erwachsene Dosis beträgt 10 mg für eine 70 -kg -individuelle Subkutan intramuskulär oder intravenös; Diese Dosis kann bei Bedarf alle 3 bis 6 Stunden wiederholt werden. Verwenden Sie die niedrigste Dosis, die erforderlich ist, um eine angemessene Analgesie zu erreichen. Die Dosierung sollte entsprechend der Schwere des schmerzhaften physischen Status des Patienten und anderer Medikamente, die der Patient erhalten kann, eingestellt werden (siehe WARNUNGS ]. In nontolerant individuals the recommended single maximum dose is 20 mg with a maximum total daily dose of 160 mg.

Die Verwendung von Nubain als Ergänzung zur ausgewogenen Anästhesie erfordert größere Dosen als die für Analgesie empfohlen. Induktionsdosen von Nalbuphinhydrochlorid reichen von 0,3 mg/kg bis 3 mg/kg intravenös, um über einen Zeitraum von 10 bis 15 Minuten mit Wartungsdosen von 0,25 bis 0,5 mg/kg in einzelnen intravenösen Verwaltungen nach Bedarf verabreicht zu werden. Auf die Verwendung von Nubain kann eine Atemdepression gefolgt werden, die mit dem Opioidantagonisten -Naloxonhydrochlorid umgekehrt werden kann.

Titration und Aufrechterhaltung der Therapie

Titrieren Sie die Dosis basierend auf der Reaktion des individuellen Patienten auf ihre anfängliche Nubain -Dosis. Individuell titrieren Sie Nubain auf eine Dosis, die eine angemessene Analgesie liefert und Nebenwirkungen minimiert. Patienten, die Nalbuphine -Hydrochlorid erhalten, kontinuierlich neu bewerten, um die Aufrechterhaltung von Schmerzkontrollzeichen und Symptomen des Opioidentzugs und anderer nachteiliger Reaktionen sowie zur Neubewertung für die Entwicklung von Missbrauch oder Missbrauch von Sucht zu bewerten [siehe WARNUNGS ]. Frequent communication is important among the prescriber other members of the healthcare team the patient Und the caregiver/family during periods of changing analgesic requirements including initial titration.

Wenn der Schmerzniveau nach der Dosierungsstabilisierung zunimmt, um die Quelle erhöhter Schmerzen zu identifizieren, bevor die Nubain -Dosierung erhöht wird. Wenn nach Erhöhung der Dosierung inakzeptable opioidbedingte Nebenwirkungen beobachtet wird (einschließlich einer Erhöhung der Schmerzen nach einer Dosierungserhöhung), erwägen Sie, die Dosierung zu verringern [siehe WARNUNGS ]. Adjust the dosage to obtain an appropriate balance between management of pain Und opioid-related adverse events.

Sichere Reduktion und Nubain

Wenn ein Patient, der Nubain regelmäßig eingenommen hat und möglicherweise physisch abhängig ist, nicht mehr eine Therapie mit Nubain benötigt, die die Dosis allmählich alle 2 bis 4 Tage um 25% bis 50% verjüngt, während sie regelmäßig auf Anzeichen und Symptome des Entzugs bewertet werden. Wenn der Patient diese Anzeichen oder Symptome entwickelt, erhöhen Sie die Dosis auf den vorherigen Niveau und verjüngen sich langsamer, indem das Intervall zwischen Abnahme der Verringerung der Änderung der Dosis oder beides erhöht wird. Nubain nicht abrupt in einen physisch abhängigen Patienten einstellen [siehe WARNUNGS Drogenmissbrauch und Abhängigkeit ].

Wie geliefert

Lagerung und Handhabung

Nubain ® (Nalbuphinhydrochlorid) Injektion für intramuskuläre subkutane oder intravenöse Verwendung ist eine sterile Lösung, die in:

NDC Xxxxx-xxx-xx (sulfitfrei) 10 mg/ml 10 ml Mehrfachdosisfläschchen (Box von 1)
NDC Xxxxx-xxx-xx (Sulfit/parabenfrei) 10 mg/ml 1 ml Ampuls (Box von 10)
NDC Xxxxx-xxx-xx (sulfitfrei) 20 mg/ml 10 ml Mehrfachdosisfläschchen (Box von 1)
NDC Xxxxx-xxx-xx (sulfit/parabenfrei) 20 mg/ml 1 ml Ampuls (Box von 10)

Speichern Sie bei 25 ° C (77 ° F); Exkursionen zu einer 59 ° -86 ° F (59 ° -86 ° F). [Siehe USP -kontrollierte Raumtemperatur.] Schützen Sie vor übermäßigem Licht. Speichern Sie in Karton, bis der Inhalt verwendet wurde.

Verteilt von: PAR Pharmaceutical Chestnut Ridge NY 10977. Überarbeitet: Dezember 2023.

Nebenwirkungen for Nubain

Die häufigste Nebenwirkungen bei 1066 Patienten, die in klinischen Studien mit Nubain behandelt wurden, war Sedierung 381 (36%).

Weniger häufige Reaktionen waren: schweißtreibend/Clammy 99 (9%) Übelkeit/Erbrechen 68 (6%) Schwindel/Schwindel 58 (5%) Trockener Mund 44 (4%) und Kopfschmerzen 27 (3%).

Andere nachteilige Reaktionen, die auftraten (gemeldete Inzidenz von 1% oder weniger), waren:

ZNS -Effekte: Nervosität Depression Unruhe weint Euphorie schwebende Feindseligkeit ungewöhnliche Träume Verwirrung Ohnmacht Halluzinationen Dysphorie Gefühl der Schwere Taubheit kribbeln Unwirklichkeit. Es hat sich gezeigt, dass die Inzidenz von psychotomimetischen Effekten wie Dysphorie und Halluzinationen von Unwirklichkeit Depersonalisierung geringer ist als die, was mit Pentazozin auftritt.

Herz -Kreislauf: Hypertonie Hypotonie Bradykardie Tachykardie.

Magen -Darm: Krämpfe Dyspepsia Bitterer Geschmack.

Atemweg: Depression Dyspnoe Asthma.

Dermatologisch: Juckende brennende Urtikaria.

Verschiedenes: Sprachschwierigkeitsgrad Harnvergasung verschwommenes Sehen und Wärme.

Allergische Reaktionen: Anaphylactic/Anaphylactoid und andere schwerwiegende Überempfindlichkeitsreaktionen wurden nach Verwendung von Nalbuphin berichtet und erfordern möglicherweise eine sofortige unterstützende medizinische Behandlung. Zu diesen Reaktionen können die Atemstillstand von Schock Atemnot Bradykardie Herzstillung Hypotonie oder Kehlkopfödeme Bradykardie umfassen. Einige dieser allergischen Reaktionen können lebensbedrohlich sein. Andere gemeldete Allergika-Reaktionen sind Stridor-Bronchospasmus-Keuchen-Ödeme-Ausschlag für die Übelkeit, die die Schwäche und Schüttung von Diaphorese erbricht.

Nachmarkterfahrung

Die folgenden nachteiligen Reaktionen wurden während der Verwendung von Nalbuphine nach der Genehmigung identifiziert. Da diese Reaktionen freiwillig aus einer Population unsicherer Größe berichtet werden, ist es nicht immer möglich, ihre Häufigkeit zuverlässig abzuschätzen oder ein kausales Verhältnis zur Arzneimittelexposition herzustellen.

Bauchschmerzen Pyrexie depressive Niveau oder Verlust von Bewusstseinsschlämigkeit Zittern Angst Lungenödemen Agitation Anfälle und Injektionsstelle Reaktionen wie Schmerzschwellungsrötungen Verbrennung und heiße Empfindungen. Der Tod wurde durch schwere allergische Reaktionen auf die Behandlung von Nubain berichtet. Der Tod des fetalen Todes wurde gemeldet, wo Mütter Nubain während der Arbeit und Entbindung erhielten.

Serotons Syndrom: Fälle des Serotonin-Syndroms Eine potenziell lebensbedrohliche Erkrankung wurde während der gleichzeitigen Verwendung von Opioiden mit serotonergen Arzneimitteln berichtet.

Nebenniereninsuffizienz: Es wurden Fälle von Nebenniereninsuffizienz bei Opioidkonsum nach mehr als einem Monat der Verwendung berichtet.

Hyperalgesie und Allodynie: Fälle von Hyperalgesie und Allodynie wurden mit Opioidtherapie jeglicher Dauer berichtet [siehe WARNUNGS ].

Hypoglykämie: Fälle von Hypoglykämie wurden bei Patienten berichtet, die Opioide einnehmen. Die meisten Berichte waren bei Patienten mit mindestens einem prädisponierenden Risikofaktor (z. B. Diabetes).

Wechselwirkungen mit Arzneimitteln for Nubain

Benzodiazepine und andere Zentralnervensysteme (ZNS) Depressiva

Obwohl Nubain die Opioidantagonistenaktivität besitzt, gibt es Hinweise darauf, dass bei nicht abhängigen Patienten kein Opioidanalgetikum verabreicht wird, das kurz vor gleichzeitig oder kurz nach einer Injektion von Nubain verabreicht wird. Daher aufgrund additiver pharmakologischer Auswirkungen die gleichzeitige Verwendung anderer Opioidanalgetika Benzodiazepine oder anderer ZNS -Depressiva wie Alkohol andere Beruhigungsmittel/Hypnotika -Anxiolytika, die Muskelrelaxantien für allgemeine Anästhetika Antipsychotika und andere Opioideen erhöhen können, können die Risiko der Depression des Risikos erhöhen, dass die Sedierung profitiert.

Reserve gleichzeitig die Verschreibung dieser Arzneimittel zur Verwendung bei Patienten, für die alternative Behandlungsoptionen unzureichend sind. Beschränken Sie die Dosierungen und Dauer auf das erforderliche Mindestmindest. Überwachen Sie genau auf Anzeichen von Atemdepression und Sedierung [siehe WARNUNGS ].

Serotonerge Medikamente

Die gleichzeitige Verwendung von Opioiden mit anderen Arzneimitteln, die das serotonerge Neurotransmittersystem wie selektive Serotonin-Wiederaufnahmehemmer (SSRIs) Serotonin und Noradropine-Wiederaufnahmehemmer (SNRIS) -Trikton-Triptak-Rezept-Reeptor-Anti-Antide-Jährungs-Anti-J-Re-2-HT3-Rezept3-Rezept3-Anti-J-HTANK-Rezept3-Rezept3-Anti-Hemmer-1-HT3-Anti-Hemmer-1-HT3-Anti-Hemmer-1-HT3-Antidealkas beeinflussen, die die Trips-Hemmer 5-ht3-Rezept3-Anti-Hemm-Neurht-Neurh-Neurht-1-ht3-Antide-Jährige (TCAs) -Triptans 5-HT3 . VORSICHTSMASSNAHMEN ; Patienteninformationen ].

Wenn ein gleichzeitiger Einsatz erforderlich ist, beobachten Sie den Patienten sorgfältig, insbesondere während der Behandlungsinitiierung und der Dosisanpassung. Nubain einstellen, wenn das Serotonin -Syndrom vermutet wird.

Monoaminoxidase -Inhibitoren (Maois)

MAOI (z. B. Phenelzin -Tranylcypromin -Linezolid) Wechselwirkungen mit Opioiden können sich als Serotonin -Syndrom manifestieren [siehe Wechselwirkungen mit Arzneimitteln ] oder Opioidtoxizität (z. B. Atemdepressionskoma [siehe WARNUNGS ]). Die Verwendung von Nubain wird nicht für Patienten empfohlen, die Maois oder innerhalb von 14 Tagen nach Beendigung einer solchen Behandlung einnehmen.

Wenn eine dringende Verwendung eines Opioids erforderlich ist, verwenden Sie Testdosen und häufige Titration kleiner Dosen zur Behandlung von Schmerzen und gleichzeitig den Blutdruck und die Anzeichen und Symptome von ZNS und Atemdepression.

Muskelrelaxantien

Nalbuphin kann die neuromuskuläre Blockierungswirkung von Relaxantien des Skelettmuskels verbessern und einen erhöhten Grad an Atemdepression erzeugen.

Überwachen Sie die Patienten auf Anzeichen einer Atemdepression, die möglicherweise größer sein als erwartet, und verringern Sie die Dosierung von Nubain und/oder dem Muskelrelaxant bei Bedarf.

Diuretika

Opioide können die Wirksamkeit der Diuretika verringern, indem sie die Freisetzung von antidiuretisches Hormon induziert.

Überwachen Sie die Patienten auf Anzeichen einer verminderten Diurese und/oder auf den Blutdruck und erhöhen Sie die Dosierung des Diuretikums nach Bedarf.

Anticholinergika

Die gleichzeitige Anwendung von Anticholinergika kann das Risiko einer Harnretention und/oder schweren Verstopfung erhöhen, was zu einem lähmlichen Ileus führen kann.

Überwachen Sie die Patienten auf Anzeichen einer Harnretention oder einer verringerten Magenmotilität, wenn Nubain gleichzeitig mit Anticholinergika verwendet wird.

Drogenmissbrauch und Abhängigkeit

Missbrauch

Nubain contains nalbuphine a substance which is subject to misuse Und abuse which can lead to the development of substance use disorder including addiction [see WARNUNGS ].

Missbrauch ist die absichtliche Verwendung für therapeutische Zwecke eines Arzneimittels durch eine Person in einer anderen Art und Weise, die von einem Gesundheitsdienstleister verschrieben wurde oder für den es nicht verschrieben wurde.

Missbrauch is the intentional non-therapeutic use of a drug even once for its desirable psychological or physiological effects.

durchschnittliche Lamictal -Dosis für bipolare

Arzneimittelabhängigkeit ist eine Gruppe von kognitiven und physiologischen Phänomenen verhaltensbezogener, die den starken Wunsch beinhalten können, die Arzneimittelschwierigkeiten bei der Kontrolle der Drogenkonsum (z. B. fortdauernden Drogenkonsum, obwohl schädliche Konsequenzen eine höhere Priorität für den Drogenkonsum als andere Aktivitäten und Verpflichtungen) und eine mögliche Toleranz oder körperliche Abhängigkeit haben.

Missbrauch und Missbrauch von Nubain erhöht das Risiko einer Überdosierung, die zu Hypotonie -Anfällen und Todesfällen der Atemdepression führen kann. Das Risiko ist mit gleichzeitiger Missbrauch von Nubain mit Alkohol und anderen ZNS -Depressiva erhöht. Der Missbrauch und die Sucht von Opioiden bei einigen Personen wird möglicherweise nicht von gleichzeitiger Toleranz und Symptomen einer körperlichen Abhängigkeit begleitet. Zusätzlich kann der Missbrauch von Opioiden ohne Sucht auftreten.

Alle mit Opioiden behandelten Patienten erfordern eine sorgfältige und häufige Neubewertung für Anzeichen von Missbrauchsmissbrauch und Sucht, da die Verwendung von Opioidanalgetika -Produkten das Risiko einer Sucht selbst unter geeignetem medizinischem Gebrauch darstellt. Zu den Patienten mit hohem Missbrauchsrisiko gehören Personen mit längerem Einsatz von Opioid, einschließlich Produkten, die Nalbuphin enthalten, diejenigen mit einer Vorgeschichte von Drogen- oder Alkoholmissbrauch oder solche, die Nubain in Kombination mit anderen missbrauchten Drogen verwenden.

Das Verhalten von Drogen suchend ist bei Personen mit Substanzstörungen sehr häufig. Zu den medikamentensuchenden Taktiken gehören Notrufe oder Besuche gegen Ende der Bürozeiten, die sich verweigert, geeignete Prüfungstests oder Überweisungen zu unterziehen, wiederholten Verlusten von Rezepten, die die Rezepte und die Zurückhaltung bei der Bereitstellung früherer medizinischer Aufzeichnungen oder Kontaktinformationen für andere behandelende Gesundheitsdienstleister (en). 'Doctor Shopping' (Besuch mehrerer Verschreiber, um zusätzliche Rezepte zu erhalten) ist bei Personen, die Drogen und Menschen mit Substanzstörungen missbrauchen, häufig. Die Beschäftigung mit einer angemessenen Schmerzlinderung kann bei einem Patienten mit unzureichender Schmerzkontrolle ein angemessenes Verhalten sein. Nubain wie andere Opioide können für den nichtmedizinischen Einsatz in illegale Verteilungskanäle umgeleitet werden. Eine sorgfältige Aufzeichnung von Verschreibungsinformationen einschließlich der vom staatlichen und des Bundesgesetz erforderlichen Mengenfrequenz- und Erneuerungsanfragen wird nachdrücklich empfohlen.

Eine ordnungsgemäße Bewertung des Patienten ordnungsgemäße Verschreibungspraktiken regelmäßige Neubewertung der Therapie und ordnungsgemäße Abgabe und Lagerung sind geeignete Maßnahmen, die dazu beitragen, den Missbrauch von Opioidmedikamenten zu begrenzen.

Risiken spezifisch für den Missbrauch von Nubain

Missbrauch of Nubain poses a risk of overdose Und death. The risk is increased with concurrent abuse of Nubain with alcohol Und/or other CNS depressants.

Parenteraler Drogenmissbrauch ist häufig mit der Übertragung von Infektionskrankheiten wie Hepatitis und HIV verbunden.

Abhängigkeit

Sowohl die Toleranz als auch die Opioid -Therapie der physischen Abhängigkeit können sich während der Anwendung der Opioid -Therapie entwickeln.

Toleranz ist ein physiologischer Zustand, der durch eine verringerte Reaktion auf ein Arzneimittel nach wiederholter Verabreichung gekennzeichnet ist (d. H. Eine höhere Dosis eines Arzneimittels ist erforderlich, um den gleichen Effekt zu erzeugen, der einst bei einer niedrigeren Dosis erhalten wurde).

Die physische Abhängigkeit ist ein Zustand, der sich aufgrund einer physiologischen Anpassung als Reaktion auf wiederholte Drogenkonsum entwickelt, die sich nach abrupten Absetzen oder einer signifikanten Dosisreduktion eines Arzneimittels durch Entzugszeichen und Symptome manifestiert. Der Entzug kann durch die Verabreichung von Arzneimitteln mit Opioidantagonistenaktivität (z. B. Naloxon) gemischter Agonisten/Antagonisten -Analgetika (z. B. Pentazocin -Butorphanol -Nalbuphin) oder partielle Agonisten (z. B. Buprenorphin) ausgefällt werden. Die physische Abhängigkeit kann bis nach mehreren Tagen bis Wochen bis Wochen der fortgesetzten Verwendung in einem klinisch signifikanten Maße nicht auftreten.

Nubain should not be abruptly discontinued in a physically-dependent patient [see Dosierung und Verwaltung ]. If Nubain is abruptly discontinued in a physically-dependent patient a withdrawal syndrome may occur typically characterized by Unruhe lacrimation rhinorrhea perspiration chills myalgia Und mydriasis. Other signs Und symptoms also may develop including irritability anxiety backache joint pain Schwäche abdominal cramps insomnia Brechreiz anorexia Erbrechen diarrhea or increased blood pressure respiratory rate or heart rate.

Säuglinge, die von Müttern körperlich von Opioiden geboren wurden VORSICHTSMASSNAHMEN ; Schwangerschaft ].

Warnungen für Nubain

Lebensbedrohliche Atemdepression

Eine schwerwiegende lebensbedrohliche oder tödliche Atemdepression wurde unter Verwendung von Opioiden auch bei der Verwendung wie empfohlen berichtet. Atemdepression, wenn sie nicht sofort erkannt und behandelt wird, kann zu einer Verhaftung und dem Tod der Atemwege führen. Das Management von Atemdepressionen kann in Abhängigkeit vom klinischen Status des Patienten eine enge beobachtete unterstützende Maßnahmen und die Verwendung von Opioidantagonisten umfassen [siehe Überdosierung ]. Carbon dioxide (CO) retention from opioid-induced respiratory Depression can exacerbate the sedating effects of opioids.

Während eine schwerwiegende lebensbedrohliche oder tödliche Atemdepression zu jeder Zeit während der Verwendung von Nubain auftreten kann, ist das Risiko während der Einleitung einer Therapie am größten oder nach einer Dosierungserhöhung. Überwachen Sie die Patienten genau auf die Atemdepression, insbesondere innerhalb der ersten 24 bis 72 Stunden der Initiierungstherapie mit und nach einer Dosierungerhöhung des Nubains.

Um das Risiko einer ordnungsgemäßen Dosierung der Atemdepression zu verringern und Nubain -Titration zu titrieren, sind es unerlässlich [siehe Dosierung und Verwaltung ]. Overestimating the Nubain dosage when converting patients from another opioid product can result in a fatal overdose with the first dose.

Opioide können schlafbedingte Atemstörungen einschließlich zentraler Schlafapnoe (CSA) und schlafbedingter Hypoxämie verursachen. Die Verwendung von Opioid erhöht das Risiko von CSA in dosisabhängiger Weise. Bei Patienten, die mit CSA präsentieren Dosierung und Verwaltung ].

Risiken aus der gleichzeitigen Verwendung mit Benzodiazepinen oder anderen ZNS -Depressiva

Eine tiefgreifende Sedierung der Atemwegdepression und der Tod kann aus der gleichzeitigen Verwendung von Nubain mit Benzodiazepinen oder anderen ZNS-Depressiva resultieren (z. Aufgrund dieser Risiken reserve die damit verbundene Verschreibung dieser Arzneimittel für die Verwendung bei Patienten, für die alternative Behandlungsoptionen unzureichend sind.

Beobachtungsstudien haben gezeigt, dass die gleichzeitige Verwendung von Opioidanalgetika und Benzodiazepinen das Risiko einer medikamentenbedingten Mortalität im Vergleich zur Verwendung von Opioidanalgetika erhöht. Aufgrund ähnlicher pharmakologischer Eigenschaften ist es vernünftig, ein ähnliches Risiko bei der gleichzeitigen Verwendung anderer ZNS -Depressiva mit Opioidanalgetika zu erwarten [siehe Wechselwirkungen mit Arzneimitteln ].

Wenn die Entscheidung getroffen wird, ein Benzodiazepin oder ein anderes ZNS -Depressivum gleichzeitig mit einem Opioidanalgetikum zu verschreiben, verschreiben Sie die niedrigsten wirksamen Dosierungen und Mindestdauer der gleichzeitigen Verwendung. Bei Patienten, die bereits eine Opioidanalgetika erhalten, verschreiben eine niedrigere Anfangsdosis des Benzodiazepins oder eines anderen ZNS -Depressivums als in Abwesenheit eines Opioids und Titrats anhand des klinischen Ansprechens angegeben. Wenn ein Opioid -Analgetikum bei einem Patienten initiiert wird, der bereits ein Benzodiazepin oder andere ZNS -Depression einnimmt, verschreiben eine niedrigere Anfangsdosis des Opioid -Analgetikums und der Titrats basierend auf der klinischen Reaktion. Folgen Sie den Patienten eng für Anzeichen und Symptome einer Atemdepression und Sedierung.

Beraten Sie sowohl Patienten als auch Pflegepersonen über das Risiko einer Atemdepression und Sedierung, wenn Nubain mit Benzodiazepinen oder anderen ZNS -Depressiva (einschließlich Alkohol und illegalen Drogen) verwendet wird. Raten Sie den Patienten, schwere Maschinen zu fahren oder zu betreiben, bis die Auswirkungen der gleichzeitigen Verwendung des Benzodiazepins oder eines anderen ZNS -Depressivums bestimmt wurden. Screenpatienten auf das Risiko von Störungen des Substanzkonsums wie Opioidmissbrauch und Missbrauch und Warnen vor dem Risiko für Überdosierung und Tod im Zusammenhang mit der Verwendung zusätzlicher ZNS -Depressiva einschließlich Alkohol und illegalen Drogen [siehe Wechselwirkungen mit Arzneimitteln Und Patienteninformationen ].

Lebensbedrohliche Atemdepression In Patienten mit chronischer Lungenerkrankung Or In Ältere kachektische oder geschwächte Patienten

Die Verwendung von Nubain bei Patienten mit akutem oder schwerem Asthma aus Bronchial in einer nicht überwachten Umgebung oder in Ermangelung von Wiederbelebungsgeräten ist kontraindiziert.

Patienten mit chronischer Lungenerkrankung

Nubain-treated patients with significant chronic obstructive pulmonary disease or cor pulmonale Und those with a substantially decreased respiratory reserve hypoxia hypercapnia or pre-existing respiratory Depression are at increased risk of decreased respiratory drive including apnea even at recommended dosages of use of Nubain [see WARNUNGS ].

Ältere kachektische oder geschwächte Patienten

Es ist wahrscheinlicher, dass lebensbedrohliche Atemdepression bei älteren kachektischen oder geschwächten Patienten auftritt WARNUNGS ]. Monitor such patients closely particularly when initiating Und titrating Nubain Und when Nubain is given concomitantly with other drugs that depress respiration [see WARNUNGS ]. Alternatively consider the use of non-opioid analgesics in these patients.

Nebenniereninsuffizienz

Fälle von adrenal insufficiency have been reported with opioid use more often following greater than 1 month of use. Presentation of adrenal insufficiency may include non-specific symptoms Und signs including Brechreiz Erbrechen anorexia fatigue Schwäche Schwindel Und low blood pressure. If adrenal insufficiency is suspected confirm the diagnosis with diagnostic testing as soon as possible. If adrenal insufficiency is diagnosed treat with physiologic replacement doses of corticosteroids. Wean the patient off of the opioid to allow adrenal function to recover Und continue corticosteroid treatment until adrenal function recovers. Other opioids may be tried as some cases reported use of a different opioid without recurrence of adrenal insufficiency. The information available does not identify any particular opioids as being more likely to be associated with adrenal insufficiency.

Schwere Hypotonie

Nubain may cause severe hypotension including orthostatic hypotension Und syncope in ambulatory patients. There is increased risk in patients whose ability to maintain blood pressure has already been compromised by a reduced blood volume or concurrent administration of certain CNS depressant drugs (e.g. phenothiazines or general anesthetics) [see Wechselwirkungen mit Arzneimitteln ]. Monitor these patients for signs of hypotension after initiating or titrating the dosage of Nubain. In patients with circulatory shock Nubain may cause vasodilation that can further reduce cardiac output Und blood pressure. Avoid the use of Nubain in patients with circulatory shock.

Gebrauchsrisiken bei Patienten mit erhöhtem Intrakranialdruck Hirntumoren Kopfverletzung oder Beeinträchtigung des Bewusstseins

Bei Patienten, die für die intrakraniellen Wirkungen der CO2 -Retention (z. B. mit Anzeichen eines erhöhten intrakraniellen Drucks oder Hirntumoren) anfällig sind, können Nubain respiratorischen Antrieb verringern, und die resultierende CO2 -Retention kann den Intrakranialdruck weiter erhöhen. Überwachen Sie solche Patienten auf Anzeichen von Sedierung und Atemdepression, insbesondere bei der Initiierung der Therapie mit Nubain.

Opioide können den klinischen Verlauf eines Patienten mit Kopfverletzung auch verdecken. Vermeiden Sie die Verwendung von Nubain bei Patienten mit beeinträchtigten Bewusstsein oder Koma.

Gebrauchsrisiken bei Patienten mit Magen -Darm -Erkrankungen

Nubain is contraindicated in patients with known or suspected gastrointestinal obstruction including paralytic ileus.

Das Nalbuphin in Nubain kann einen Krampf des Schließmuskels von Oddi verursachen. Opioide können zu Erhöhungen der Serumamylase führen. Überwachen Sie Patienten mit Gallentrakterkrankungen, einschließlich einer akuten Pankreatitis zur Verschlechterung der Symptome.

Erhöhtes Risiko für Anfälle bei Patienten mit Anfallserkrankungen

Das Nalbuphine in Nubain kann die Häufigkeit von Anfällen bei Patienten mit Anfallserkrankungen erhöhen und das Risiko von Anfällen erhöhen, die in anderen klinischen Umgebungen auftreten, die mit Anfällen verbunden sind. Überwachen Sie die Patienten mit Anfällen von Anfallserkrankungen auf eine verschlechterte Beschlagnahmekontrolle während der Nubain -Therapie.

Rückzug

Die Verwendung von Nubain, ein gemischter Agonisten/Antagonisten -Opioid -Analgetika bei Patienten, die eine vollständige Opioid -Agonisten -Analgetika erhalten, kann die analgetische Wirkung verringern und/oder die Entzugssymptome auslösen. Vermeiden Sie die gleichzeitige Verwendung von Nubain mit einem vollständigen Opioid -Agonisten -Analgetikum.

Wenn Sie Nubain in einem physisch abhängigen Patienten absetzen, verjüngen Sie sich allmählich die Dosierung (siehe Dosierung und Verwaltung ). Nubain bei diesen Patienten nicht abrupt abrupt einstellen (siehe Drogenmissbrauch und Abhängigkeit ).

Risiken des Fahr- und Betriebsmaschinens

Nubain may impair the mental or physical abilities needed to perform potentially hazardous activities such as driving a car or operating machinery. Warn patients not to drive or operate dangerous machinery unless they are tolerant to the effects of Nubain Und know how they will react to the medication [see Patienteninformationen ].

Behalten Sie den Patienten unter Beobachtung auf, bis er von Nubain -Effekten erholt wurde, die das Fahren oder andere potenziell gefährliche Aufgaben beeinflussen würden.

Verwendung in der Schwangerschaft (außer Labour)

Eine schwere fetale Bradykardie wurde berichtet, wenn Nubain während der Wehen verabreicht wird. Naloxon kann diese Effekte umkehren. Obwohl es keine Berichte über die fetale Bradykardie früher in der Schwangerschaft gibt, ist dies möglich, dass dies auftreten kann. Vermeiden Sie den Einsatz von Nubain bei schwangeren Frauen, es sei denn, der potenzielle Nutzen überwiegt das Risiko für den Fötus, und gegebenenfalls werden geeignete Maßnahmen wie die fetale Überwachung erfolgt, um potenzielle nachteilige Auswirkungen auf den Fötus zu erkennen und zu behandeln.

Verwendung während der Arbeit und Lieferung

Der Plazenta -Transfer von Nalbuphine ist hoch schnell und variabel mit einem Verhältnis von Müttern zu fetal im Bereich von 1: 0,37 bis 1: 6. Zu den nach der Verabreichung von Nalbuphine an die Mutter während der Wehen berichteten fetalen und neonatalen Nebenwirkungen gehören fetale Bradykardien der Atemdepression bei Geburtsapnoezyanose und Hypotonie. Einige dieser Ereignisse waren lebensbedrohlich. Die mütterliche Verabreichung von Naloxon während der Wehen hat diese Auswirkungen in einigen Fällen normalisiert. Es wurde über eine schwere und längere fetale Bradykardie berichtet. Eine dauerhafte neurologische Schädigung, die auf die fetale Bradykardie zurückzuführen ist, ist aufgetreten. Es wurde ebenfalls über ein mithelöses Herzfrequenzmuster der fetalen Herzfrequenz im Zusammenhang mit Nalbuphin berichtet. Nubain sollte nur während der Arbeit und der Entbindung verwendet werden, wenn der potenzielle Nutzen das Risiko für das Kind überwiegt. Neugeborene sollten auf APNEA -Bradykardie und Arrhythmien der Atemdepression überwacht werden, wenn Nubain verwendet wurde.

Suchtmissbrauch und Missbrauch

Nalbuphinhydrochlorid ist ein synthetisches Opioid-Agonisten-Antagonist-Analgetiker. Als Opioid Nubain setzt Benutzer dem Risiko von Suchtmissbrauch und Missbrauch aus [siehe Drogenmissbrauch und Abhängigkeit ].

Obwohl das Risiko einer Sucht in einer Person nicht bekannt ist, kann es bei Patienten auftreten, die Nubain angemessen verschrieben haben. Sucht kann bei empfohlenen Dosierungen auftreten und wenn das Medikament missbraucht oder missbraucht wird.

Bewerten Sie das Risiko jedes Patienten für Missbrauch oder Missbrauch von Opioidabhängigkeit. Die Risiken sind bei Patienten mit einer persönlichen oder familiären Vorgeschichte von Drogenmissbrauch (einschließlich Drogen- oder Alkoholmissbrauch oder Sucht) oder psychischen Erkrankungen (z. B. Major Depression) erhöht. Das Potenzial für diese Risiken sollte jedoch nicht die ordnungsgemäße Behandlung von Schmerzen bei einem bestimmten Patienten verhindern.

Opioide werden von Drogensauger und Menschen mit Suchtstörungen gesucht und unterliegen krimineller Ablenkung. Betrachten Sie diese Risiken bei der Verschreibung oder Abgabe von Nubain. Zu den Strategien zur Verringerung dieser Risiken gehört die Verschreibung des Arzneimittels in der kleinsten geeigneten Menge. Wenden Sie sich an die örtliche staatliche professionelle Lizenzbehörde oder staatlich kontrollierte Substanzen, um Informationen zur Verhinderung und Erkennung von Missbrauch oder Ablenkung dieses Produkts zu verhindern und zu erkennen.

Vorsichtsmaßnahmen für Nubain

Allgemein

Beeinträchtigte Nieren- oder Leberfunktion

Da Nubain in der Leber metabolisiert und vom Nieren -Nubain ausgeschieden wird, sollte Nubain bei Patienten mit Nieren- oder Leberfunktionsstörungen mit Vorsicht verwendet werden und in reduzierten Mengen verabreicht werden.

Myokardinfarkt

Wie bei allen potenten Analgetika sollte Nubain bei Patienten mit Myokardinfarkt mit Übelkeit oder Erbrechen mit Vorsicht verwendet werden.

Herz -Kreislauf -System

Während der Bewertung von Nubain in der Anästhesie wurde bei Patienten, die voroperativ keine Atropin-Atropin erhielten, eine höhere Inzidenz von Bradykardien berichtet.

Labortests

Nubain may interfere with enzymatic methods for the detection of opioids depending on the specificity/sensitivity of the test. Consult the test manufacturer for specific details.

Überdosierungsinformationen für Nubain

Klinische Präsentation

Eine akute Überdosierung mit Nubain allein kann durch Atemdepression und Dysphorie manifestiert werden. Akute Überdosierung mit Nubain und anderen Opioiden oder ZNs -Depressiva kann sich durch die Damnolenz der Atemdepression manifestieren, die zu Stupor- oder Koma -Skelettmuskulatur -Schleuse und klammiger Haut verengt werden, und in einigen Fällen pulmonäre Ödeme Ödeme, Bradykardie -Hypotonie -Hypotonie -Hypotonie -Hypotonie -HypoGlykämie oder vollständige Luftwahrheitsbehinderung atypischer Atypische Atypische Atypische Atypische Atypik- und Death. Eine ausgeprägte Mydriasis anstelle von Miose kann bei Hypoxie in Überdosierungssituationen beobachtet werden (siehe Klinische Pharmakologie ).

Kieferbrinchenextrakt -Dosierung für ED

Behandlung von Überdosis

Bei Überdosierung sind Prioritäten die Wiederherstellung eines Patent- und geschützten Atemwegs und einer Institution der assistierten oder kontrollierten Belüftung bei Bedarf. Verwenden Sie andere unterstützende Maßnahmen (einschließlich Sauerstoff und Vasopressoren) bei der Behandlung von Kreislaufschock und Lungenödemen wie angegeben. Herzstillstand oder Arrhythmien erfordern fortgeschrittene Lebensunterhaltungsmaßnahmen.

Opioidantagonisten wie Naloxon sind spezifische Gegenmittel gegen Atemdepression, die sich aus einer Opioidüberdosis ergeben. Für klinisch signifikante respiratorische oder zirkulatorische Depressionen, die nach Nalbuphinhydrochlorid -Überdosierung sekundär einen Opioidantagonisten verabreicht.

Da die Dauer der Opioid-Umkehrung voraussichtlich geringer ist als die Wirkungsdauer von Nalbuphin, überwacht den Patienten sorgfältig, bis die spontane Atmung zuverlässig wiederhergestellt ist. Wenn die Reaktion auf einen Opioidantagonisten suboptimal oder nur kurz in der Natur ist, verabreichen Sie zusätzlichen Antagonisten, wie durch die vorgeschriebenen Informationen des Produkts angeführt.

In einer individuellen physikalisch abhängigen Opioiden wird die verabreichte Verabreichung der empfohlenen üblichen Dosierung des Antagonisten ein akutes Entzugssyndrom auslösen. Die Schwere der auf erlebten Entzugssymptome hängt vom Grad der körperlichen Abhängigkeit und der Dosis des verabreichten Antagonisten ab. Wenn eine Entscheidung getroffen wird, um schwerwiegende Atemdepressionen bei der körperlich abhängigen Patientenverabreichung des Antagonisten zu behandeln, sollte mit Sorgfalt und Titration mit kleineren Dosen des Antagonisten eingeleitet werden.

Kontraindikationen für Nubain

Nubain is contraindicated in patients with:

  • Signifikante Atemdepression [siehe WARNUNGS ]
  • Akutes oder schweres bronchiale Asthma in einer nicht überwachten Umgebung oder in Abwesenheit von wiederbelebten Geräten [siehe WARNUNGS ]
  • Bekannte oder vermutete gastrointestinale Obstruktion einschließlich lähmter Ileus [siehe WARNUNGS ]
  • Überempfindlichkeit gegenüber Nalbuphine gegen die anderen Inhaltsstoffe in Nubain.

Klinische Pharmakologie for Nubain

Wirkungsmechanismus

Nalbuphine ist Agonist an Kappa -Opioidrezeptoren und Antagonist bei MU -Opioidrezeptoren.

Pharmakodynamik

Nubain is a potent analgesic. Its analgesic potency is essentially equivalent to that of morphine on a milligram basis up to a dosage of approximately 30 mg.

Die Opioidantagonistenaktivität von Nubain ist ein Viertel so stark wie Nalorphin und 10-mal so hoch wie Pentazozin.

Nubain may produce the same degree of respiratory Depression as equianalgesic doses of morphine. However Nubain exhibits a ceiling effect such that increases in dose greater than 30 mg do not produce further respiratory Depression in the absence of other CNS active medications affecting respiration.

Nubain by itself has potent opioid antagonist activity at doses equal to or lower than its analgesic dose. When administered following or concurrent with mu agonist opioid analgesics (e.g. morphine oxymorphone fentanyl) Nubain may partially reverse or block opioid-induced respiratory Depression from the mu agonist analgesic. Nubain may precipitate withdrawal in patients dependent on opioid drugs. Nubain should be used with caution in patients who have been receiving mu opioid analgesics on a regular basis.

Auswirkungen auf das Zentralnervensystem

Nalbuphine produziert eine Atemdepression durch direkte Wirkung auf die Atemzentren für Hirnstamm. Die Atemdepression beinhaltet eine Verringerung der Reaktionsfähigkeit der Atemwegszentren des Gehirnstamms zu einer Erhöhung der Kohlendioxidspannung und der elektrischen Stimulation. Es kann jedoch einen Deckeneffekt für die durch Nalbuphine verursachte Atemdepression geben. Obwohl ein gemischter Agonisten/Antagonist die Atemdepressiva von Nalbuphin durch Naloxon umgekehrt werden kann.

Nalbuphine verursacht auch bei totaler Dunkelheit Miose. Die punktuellen Pupillen sind ein Vorzeichen für eine Opioidüberdosierung, sind jedoch nicht pathognomonisch (z. B. Pontinläsionen hämorrhagischer oder ischämischer Herkunft können ähnliche Befunde erzeugen). Eine ausgeprägte Mydriasis und nicht Miose kann aufgrund von Hypoxie in Überdosierungssituationen beobachtet werden.

Auswirkungen auf den Magen -Darm -Trakt und andere glatte Muskeln

Nalbuphine führt zu einer Verringerung der Motilität, die mit einem Anstieg des glatten Muskeltonus im Antrum von Magen und Zwölffingerdarm verbunden ist. Die Verdauung von Nahrungsmitteln im Dünndarm wird verzögert und die treibenden Kontraktionen werden verringert. Die treibenden peristaltischen Wellen im Dickdarm werden verringert, während der Ton auf den Punkt des Krampfes erhöht werden kann, was zu Verstopfung führt. Andere opioidinduzierte Effekte können eine Verringerung des Spasmus der Gallen- und Pankreassekrete des Schließmuskels von Oddi und transienten Erhöhungen in der Serumamylase umfassen.

Auswirkungen auf das kardiovaskuläre System

Während der Verwendung von Nalbuphine während der Anästhesie wurde bei Patienten, die voroperativ keine Atropin-Atropin erhielten, eine höhere Inzidenz von Bradykardien berichtet.

Opioide erzeugen periphere Vasodilatation, die zu orthostatischer Hypotonie oder Synkope führen können. Manifestationen der Histaminfreisetzung und/oder der peripheren Vasodilatation können Pruritus umfassen, die rote Augen schwitzen und/oder eine orthostatische Hypotonie.

Auswirkungen auf das endokrine System

Opioide hemmen die Sekretion von adrenocortikotropen Hormon (ACTH) Cortisol und luteinisierendem Hormon (LH) beim Menschen (siehe Nebenwirkungen ). They also stimulate prolactin growth hormone (GH) secretion Und pancreatic secretion of insulin Und glucagon.

Die Verwendung von Opioiden für einen längeren Zeitraum kann die hypothalamisch-hypophysen-gonadale Achse beeinflussen, die zu einem Androgenmangel führt, der sich als niedrige Libido manifestieren kann Impotenz Amenorrhoe oder Unfruchtbarkeit erektiler Dysfunktion. Die kausale Rolle von Opioiden im klinischen Syndrom des Hypogonadismus ist unbekannt, da die verschiedenen medizinischen körperlichen Lebensstil und psychischen Stressoren, die die Gonadenhormonspiegel beeinflussen können, in bisher durchgeführten Studien nicht angemessen kontrolliert wurden (siehe Nebenwirkungen ).

Auswirkungen auf das Immunsystem

Es wurde gezeigt, dass Opioide eine Vielzahl von Auswirkungen auf Komponenten des Immunsystems in haben in vitro Und animal models. The clinical significance of these findings is unknown. Overall the effects of opioids appear to be modestly immunosuppressive.

Konzentrations -Wirksamkeitsbeziehungen

Die minimal wirksame Analgetika-Konzentration variiert bei Patienten, insbesondere bei Patienten, die zuvor mit Agonisten-Opioiden mit längerer Freisetzung behandelt wurden. Die minimal wirksame analgetische Konzentration von Nalbuphin für einen einzelnen Patienten kann im Laufe der Zeit aufgrund einer Zunahme des Schmerzes die Entwicklung eines neuen Schmerzsyndroms und/oder die Entwicklung von analgetischer Toleranz erhöhen (siehe Dosierung und Verwaltung ).

Pharmakokinetik

Der Einsetzen der Wirkung von Nubain erfolgt innerhalb von 2 bis 3 Minuten nach intravenöser Verabreichung und in weniger als 15 Minuten nach subkutaner oder intramuskulärer Injektion. Die Plasma-Halbwertszeit von Nalbuphin beträgt 5 Stunden und in klinischen Studien wurde berichtet, dass die Dauer der analgetischen Aktivität zwischen 3 und 6 Stunden liegt.

Der Stoffwechselweg für Nalbuphine wurde nicht definiert, ist aber wahrscheinlich hepatisch.

Patienteninformationen für Nubain

Patienten sollten über die folgenden Informationen beraten werden:

Suchtmissbrauch und Missbrauch

Informieren Sie die Patienten, dass die Verwendung von Nubain auch bei der empfohlenen Nutzung zu Missbrauch und Missbrauch von Sucht führen kann, was zu Überdosierung und Tod führen kann [siehe WARNUNG ]. Instruct patients not to share Nubain with others Und to take steps to protect Nubain from theft or misuse.

Lebensbedrohliche Atemdepression

Informieren Sie die Patienten über das Risiko einer lebensbedrohlichen Atemdepression, einschließlich Informationen, dass das Risiko am größten beim Starten der Morphinsulfatinjektion oder bei erhöhter Dosierung ist und dass es auch bei empfohlenen Dosierungen auftreten kann.

Hyperalgesie und Allodynie

Informieren Sie Patienten und Betreuer, um die Opioiddosis nicht zu erhöhen, ohne zuerst einen Kliniker zu konsultieren. Beraten Sie den Patienten, ihren Gesundheitsdienstleister zu informieren, wenn sie Symptome einer Hyperalgesie aufweisen, einschließlich einer Verschlechterung der Schmerzen erhöhte Empfindlichkeit für Schmerzen oder neue Schmerzen [siehe WARNUNGS Und Nebenwirkungen ].

Serotons Syndrom

Informieren Sie die Patienten, dass Opioide einen seltenen, aber möglicherweise lebensbedrohlichen Zustand verursachen könnten, der sich aus einer gleichzeitigen Verabreichung serotonergen Medikamente ergibt. Warnen Sie die Patienten vor den Symptomen des Serotonin -Syndroms und um sofort medizinische Hilfe zu suchen, wenn sich nach der Entlassung aus dem Krankenhaus die Symptome entwickeln. Weisen Sie die Patienten an, ihre Ärzte zu informieren, ob sie serotonerge Medikamente einnehmen oder planen. [sehen Wechselwirkungen mit Arzneimitteln ]

Monoaminoxidase -Inhibitor (MAOI) Wechselwirkung

Informieren Sie die Patienten, um Nubain zu vermeiden, während Sie Medikamente verwenden, die die Monoaminoxidase hemmen. Patienten sollten bei der Einnahme von Nubain nicht mit Maois beginnen [siehe Wechselwirkungen mit Arzneimitteln ].

Verstopfung

Beraten Sie den Patienten über das Potenzial für schwere Verstopfung, einschließlich Managementanweisungen und wann Sie medizinische Hilfe suchen (siehe Nebenwirkungen Klinische Pharmakologie ).