Die Informationen Auf Dieser Website Stellen Keine Medizinische Beratung Dar. Wir Verkaufen Nichts. Die Richtigkeit Der Übersetzung Wird Nicht Garantiert. Haftungsausschluss
Antibiotika/Kortikosteroide, ophthalmisch
Tobradex st
Drogenzusammenfassung
Was ist tobradex st?
Tobradex ST (tobramycin/ Dexamethason ) Ophthalmische Suspension 0,3%/0,05% Ein Kombinationantibiotikum und Steroid zur Behandlung von Bakterieninfektionen der Augen.
Was sind Nebenwirkungen von Tobradex ST?
Häufige Nebenwirkungen von Tobradex ST umfassen:
- Augenrötung
- Augenunfall
- Verbrennung
- stechen
- Reizung
- Juckreiz
- verschwommenes Sehen
- Juckreiz oder Schwell
- Empfindlichkeit gegenüber Licht.
Suchen Sie medizinische Versorgung oder rufen Sie auf einmal 911 an, wenn Sie die folgenden schwerwiegenden Nebenwirkungen haben:
- Schwerwiegende Augensymptome wie plötzlicher Sehverlust verschwommenes Sehen Tunnel Sehschmerzen oder Schwellungen oder Halos in der Umgebung des Lichts;
- Schwerwiegende Herzsymptome wie schnelle unregelmäßige oder pochende Herzschläge; Flattern in deiner Brust; Kurzatmigkeit; und plötzliche Schwindel -Unbeschwertheit oder ohnmächtig;
- Starke Kopfschmerzen Verwirrung verwirrt Spracharm oder Bein Schwäche Schwierigkeiten beim Verlust der Koordination unstabil sehr steifes Muskeln hoher Fieber problemlos Schwitzen oder Zittern.
Dieses Dokument enthält nicht alle möglichen Nebenwirkungen und andere können auftreten. Wenden Sie sich an Ihren Arzt nach zusätzlichen Informationen zu Nebenwirkungen.
Nebenwirkungen von Latuda 20 mg
Dosierung für tobradex st
Ein Tropfen Tobadex St. Ophthalmic sollte alle vier bis sechs Stunden in die Auge (n) eingebaut werden. Während der ersten 24 bis 48 Stunden kann die Dosierung alle zwei (2) Stunden auf einen Tropfen erhöht werden. Verwenden Sie keine anderen Augentropfen oder Medikamente während der Behandlung mit tobradex St. ophthalmic, es sei denn, Ihr Arzt.
Welche Medikamentenstoffe oder Nahrungsergänzungsmittel interagieren mit Towradex ST?
Tobradex ST may interact with oral steroid medications. Tell your doctor all prescription or over-the-counter medicines or supplements you use.
Tobradex ST During Schwangerschaft or Breastfeeding
Tobradex should be used only when prescribed during pregnancy. It is unknown if Tobradex ST passes into breast milk. Consult your doctor before breastfeeding.
Weitere Informationen
Unsere Tobradex ST (Tobramycin/Dexamethason) Ophthalmic Suspension 0,3%/0,05% Nebenwirkungen Arzneimittelzentrum bietet einen umfassenden Überblick über die verfügbaren Arzneimittelinformationen über die potenziellen Nebenwirkungen bei der Einnahme dieses Medikaments.
FDA -Drogeninformationen
- Drogenbeschreibung
- Indikationen
- Dosierung
- Nebenwirkungen
- Warnungen
- Überdosis
- Klinische Pharmakologie
- Medikamentenhandbuch
Beschreibung für tobradex st
Tobradex® ST (Ophthalmie -Suspension von Tobramycin/Dexamethason) 0,3%/0,05% ist eine sterile isotonische weiße wässrige Antibiotika- und Steroidsuspension mit einem pH -Wert von ungefähr 5,7 und einer Osmolalität von ungefähr 290 mosm/kg.
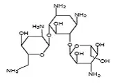
Der chemische Name von Tobramycin ist o-3amino-3-deoxy-α-d-glucopyranosyl- (1 → 4) o- [26-Diamino-236-Trideoxy-α-d-riboxopyranosyl- (1 → 6)]-2-Desoxy-lstreptamin. Es hat eine molekulare Formel von C18H37N5O9 und ein Molekulargewicht von 467,52. Die chemische Struktur ist:
|
Der chemische Name von Dexamethason ist 9fluor-11β1721-Trihydroxy-16αmethylpregna-14-Dien-320-Dion. Es hat eine molekulare Formel von C22H29FO5 und ein Molekulargewicht von 392,47. Die chemische Struktur ist:
|
Jede ml tobradex ® ST enthält:: Wirkstoffe: Tobramycin 3 mg und Dexamethason 0,5 mg. Konservierungsmittel: Benzalkoniumchlorid 0,1 mg. Inaktiv: Xanthan Gum Tyloxapol Edetat -Dissodium -Natriumchlorid -Propylenglykol -Natriumsulfathydrochlorsäure und Natriumhydroxid (pH) und gereinigtes Wasser.
Verwendung für tobradex st
Tobradex ® Die St.-Ophthalmie-Suspension ist für steroidresponsive entzündliche Augenerkrankungen angezeigt, bei denen ein Kortikosteroid angezeigt wird und bei denen eine oberflächliche bakterielle Augeninfektion oder ein Risiko einer bakteriellen Augeninfektion existiert.
Augensteroide sind unter entzündlichen Bedingungen der Palpebral- und Bulbar -Konjunktiva -Hornhaut und des vorderen Segments des Globus angezeigt, wobei das inhärente Risiko einer Steroidkonsum bei bestimmten infektiösen Konjunktivitiden akzeptiert wird, um eine Abnahme bei Ödemen und Entzündungen zu erhalten. Sie sind auch bei chronischer vorderer Uveitis und Hornhautverletzung durch chemische Strahlung oder thermischen Verbrennungen oder Durchdringung von Fremdkörpern angezeigt.
Die Verwendung eines Kombinationsmedikaments mit einer antiinfektiven Komponente wird angezeigt, wenn das Risiko einer oberflächlichen Augeninfektion hoch ist oder wenn erwartet wird, dass möglicherweise gefährliche Anzahl von Bakterien im Auge vorhanden sein wird.
Das besondere anti-infektive Arzneimittel in diesem Produkt ist gegen die folgenden gängigen bakteriellen Augenpathogene aktiv: Staphylokokken einschließlich S. aureus Und S. epidermidis (Koagulase-positiv und koagulasegativ) einschließlich penicillinresistenter Isolate. Streptococci einschließlich some Group A Und other beta-hemolytic species some nonhemolytic species Und some Streptococcus pneumoniae pseudomonas aeruginosa escherichia coli klebsiella pneumoniae Enterobacter aerogenes proteus mirabilis Morganella Morganii am meisten Proteus vulgaris -Isolate Haemophilus Influenzae H. ägyptische Moraxella lacunata acinetobacter calcoaceticus Und some Neisseria -Arten.
Dosierung für tobradex st
Initiierung und Fortsetzung der Behandlung
Bewerten Sie den Intraokulardruck (IOP) vor der ersten Verschreibung und Erneuerung der Medikamentenordnung [siehe Warnungen und Vorsichtsmaßnahmen ].
Führen Sie mit Hilfe der Vergrößerung wie der Biomikroskopie der Spaltlampen und gegebenenfalls eine geeignete Fluoresceinfärbung vor der ersten Verschreibung und Erneuerung der Medikamentenordnung durch eine ophthalmische Untersuchung durch. Bewerten Sie den Patienten neu, wenn sich nach 2 Tagen Anzeichen und Symptome nicht verbessern [siehe Warnungen und Vorsichtsmaßnahmen ].
Nicht mehr als eine Flasche sollte zunächst verschrieben werden und das Rezept sollte nicht ohne weitere Bewertung nachgefüllt werden.
Beta 1 gegen Beta 2 Blocker
Empfohlene Dosierung
Geben Sie alle 4 bis 6 Stunden einen Tropfen in den Bindehautsack. Während der ersten 24 bis 48 Stunden kann die Dosierung alle 2 Stunden auf einen Tropfen erhöht werden. Die Häufigkeit sollte allmählich verringert werden, wie durch Verbesserung der klinischen Anzeichen gerechtfertigt. Es sollte darauf geachtet werden, die Therapie nicht vorzeitig abzubrechen. Vor dem Gebrauch gut schütteln.
Wie geliefert
Dosierung Forms And Strengths
Tobradex ST ophthalmic suspension 0.3%/0.05% contains 3 mg/mL tobramycin Und 0.5 mg/mL Dexamethason.
Lagerung und Handhabung
Tobradex ST wird als 2,5 ml oder 5 ml Suspension in einem 4 ml oder 8 ml natürlichen Polyethylen -Tropfen -Tropfen geliefert ® Flasche mit einer natürlichen Polyethylen -Spenderspitze und einem rosa Polypropylen -Überrücken. Manipulationen werden mit einem Schrumpfband um den Verschluss und den Nackenbereich der Flasche geliefert.
2,5 ml - NDC 71776-035-03
5 ml - NDC 71776-035-05
Lagerung
Lagern Sie bei 2 ° C bis 25 ° C (36 ° F bis 77 ° F). Vor Licht schützen. Nach dem Öffnen von Tobradex ST kann bis zum Ablaufdatum auf der Flasche verwendet werden.
Hergestellt für: Eyevance Pharmaceuticals LLC Fort Worth TX 76102. Überarbeitet: August 2022.
Nebenwirkungen für tobradex st
Klinische Studien Erfahrung
Da klinische Studien unter stark unterschiedlichen Bedingungen durchgeführt werden, die in den klinischen Studien eines Arzneimittels beobachtet werden, können in den klinischen Studien eines anderen Arzneimittels nicht direkt mit den Raten verglichen werden und spiegeln möglicherweise nicht die in der Praxis beobachteten Raten wider.
Nebenwirkungen sind bei Steroid-/Anti-infektiösen Kombinationsmedikamenten aufgetreten, die der Steroidkomponente, der anti-infektiven Komponente oder der Kombination, zugeordnet werden können. Genaue Inzidenzzahlen sind nicht verfügbar.
Die häufigsten Nebenwirkungen auf topische Augentobramycin (Tobrex ® ) sind Überempfindlichkeit und lokalisierte Augentoxizität, einschließlich Augenschmerzen Eyelider Pruritus -Augenlidödem und Konjunktivalhyperämie. Diese Reaktionen treten bei weniger als 4% der Patienten auf.
Die Reaktionen aufgrund der Steroidkomponente sind: erhöht den IOD mit einer möglichen Entwicklung von Glaukom Und infrequent optic nerve disorder; subcapsular cataract; Und impaired healing [see Warnungen und Vorsichtsmaßnahmen ].
Die Entwicklung einer sekundären Infektion ist nach Verwendung von Kombinationen mit Steroiden und antimikrobiellen Kombinationen aufgetreten. Pilzinfektionen der Hornhaut sind besonders anfällig dafür, sich zufällig mit langfristigen Anwendungen von Steroiden zu entwickeln [siehe Warnungen und Vorsichtsmaßnahmen ]. The possibility of fungal invasion must be considered in any persistent corneal ulceration where steroid treatment has been used. Secondary bacterial ocular infection following suppression of host responses also occurs.
Nicht ocular unerwünschte Ereignisse, die bei einer Inzidenz von 0,5% bis 1% auftraten, umfassten Kopfschmerzen und erhöhten Blutdruck.
Die folgenden zusätzlichen Nebenwirkungen wurden mit den folgenden einzelnen Komponenten gemeldet:
Aminoglykoside
Neurotoxizitäts -Ototoxizität und Nephrotoxizität sind bei Patienten aufgetreten, die eine systemische Aminoglykosid -Therapie erhalten. Aminoglykoside können die Muskelschwäche bei Patienten mit bekannten oder vermuteten neuromuskulären Erkrankungen wie Myasthenia gravis oder Parkinson aufgrund ihrer möglichen Wirkung auf die neuromuskuläre Funktion verschlimmern.
Dexamethason
Cushing -Syndrom und Nebennierenunterdrückung können nach Verwendung von Dexamethason auftreten
Nachmarkterfahrung
Die folgenden nachteiligen Reaktionen wurden während der Verwendung von Tobradex ST nach der Annahme identifiziert. Da diese Reaktionen freiwillig aus einer Population unsicherer Größe berichtet werden, ist es nicht immer möglich, ihre Häufigkeit zuverlässig abzuschätzen oder ein kausales Verhältnis zur Arzneimittelexposition herzustellen.
Zusätzliche nachteilige Reaktionen, die aus der Verwendung nach der Anbietung identifiziert wurden, umfassen anaphylaktische Reaktion und Erythema multiforme.
Arzneimittelwechselwirkungen für tobradex st
Keine Informationen zur Verfügung gestellt
Warnungen für tobradex st
Eingeschlossen als Teil der 'VORSICHTSMASSNAHMEN' Abschnitt
Vorsichtsmaßnahmen für tobradex st
Intraokularer Druck erhöht sich
Eine längere Verwendung von Kortikosteroiden kann zu Glaukomen führen, wobei die Sehnervendefekte bei Sehschärfe und Sehfeldern beschädigt werden. Wenn dieses Produkt für 10 Tage oder längere Intraokulardruck (IIP) verwendet wird, sollte überwacht werden.
Aminoglykosidempfindlichkeit
Eine Empfindlichkeit gegenüber topisch angewandten Aminoglykosiden kann auftreten.
Katarakte
Die Verwendung von Kortikosteroiden kann zu einer posterioren subkapsulären Kataraktbildung führen.
Verzögerte Heilung
Die Verwendung von Steroiden nach einer Kataraktoperation kann die Heilung verzögern und die Inzidenz der Blebbildung erhöhen. Bei diesen Krankheiten, die die Ausdünnung der Hornhaut- oder Sklera -Perforationen verursachen, ist bekannt, dass topische Steroide verwendet werden. Die anfängliche Verschreibung und Erneuerung der Medikamentenordnung sollte von einem Arzt erst nach der Untersuchung des Patienten mithilfe von Vergrößerung wie der Biomikroskopie der Spaltlampen und gegebenenfalls geeignete Fluoresceinfärbung erfolgen.
Bakterieninfektionen
Eine längere Verwendung von Kortikosteroiden kann die Wirtsreaktion unterdrücken und somit das Gefahren von sekundären Augeninfektionen erhöhen. Bei akuten eitrigen Bedingungen können Steroide eine Infektion maskieren oder die vorhandene Infektion verbessern. Wenn sich Anzeichen und Symptome nach 2 Tagen nicht verbessern, sollte der Patient neu bewertet werden.
Virusinfektionen
Die Einstellung eines Kortikosteroidmedikaments bei der Behandlung von Patienten mit Herpes -Simplex -Vorgeschichte erfordert große Vorsicht. Die Verwendung von Augensteroiden kann den Verlauf verlängern und die Schwere vieler viraler Augeninfektionen (einschließlich Herpes simplex) verschärfen.
Pilzinfektionen
Pilzinfektionen der Hornhaut sind besonders anfällig für zufällig mit einer langfristigen lokalen Steroidanwendung. Pilzinvasion muss in jeder anhaltenden Hornhautgeschwüre berücksichtigt werden, in der ein Steroid verwendet wurde oder verwendet wird.
Vision verschwommen
Das Sehen kann nach der Dosierung mit tobradex ST vorübergehend verschwommen sein. Vorbereitungen für Betriebsmaschinen oder Fahren eines Kraftfahrzeugs.
Risiko einer Kontamination
Berühren Sie die Tropfspitze der Flasche nicht auf eine Oberfläche, da dies den Inhalt kontaminieren kann.
Kontaktlinsengebrauch
Tobradex ST contains benzalkonium chloride an antimicrobial preservative that may be absorbed by soft contact lenses. Contact lenses should not be worn during the use of Tobradex ST.
Nichtklinische Toxikologie
Karzinogenese -Mutagenese -Beeinträchtigung der Fruchtbarkeit
Es wurden keine Studien durchgeführt, um das krebserzeugende oder mutagene Potential zu bewerten. Es gibt keine angemessenen und gut kontrollierten Studien bei schwangeren Frauen. Die Tobadex St. Ophthalmic Suspension sollte während der Schwangerschaft nur dann angewendet werden, wenn der potenzielle Nutzen das potenzielle Risiko für den Fötus rechtfertigt.
Clomid Clomifen Citrat 50 mg Tabletten
In Untersuchungen von subkutanem Tobramycin bei Ratten bei Dosen von 50 und 100 mg/kg/Tag (entspricht menschlicher Dosen von 8 und 16 mg/kg/Tag mindestens 2 Größenordnungen, die größer als die aktuelle Augendosis), wurde keine Beeinträchtigung der Fruchtbarkeit festgestellt.
Verwendung in bestimmten Populationen
Schwangerschaft
Es wurde gezeigt, dass Kortikosteroide in Tierstudien teratogen sind. Die Verabreichung von 0,1% Dexamethason führte zu 15,6% und 32,3% igen Inzidenz fetaler Anomalien in 2 Gruppen schwangerer Kaninchen. Bei Ratten mit chronischer Dexamethasontherapie wurden fetale Wachstumsverzögerung und erhöhte Mortalitätsraten beobachtet. Fortpflanzungsstudien wurden bei Ratten und Kaninchen mit Tobramycin in Dosen von bis zu 100 mg/kg/Tag (entspricht menschlicher Dosen von 16 bzw. 32 mg/kg/Tag) durchgeführt und haben keine Hinweise auf eine beeinträchtigte Fruchtbarkeit oder einen Schaden für den Fetus ergeben.
Es gibt keine angemessenen und gut kontrollierten Studien bei schwangeren Frauen. Der längere oder wiederholte Kortikoidkonsum während der Schwangerschaft war jedoch mit einem erhöhten Risiko für die Verzögerung des Intraterinwachstums in Verbindung gebracht. Säuglinge, die von Müttern geboren wurden, die während der Schwangerschaft erhebliche Dosen von Kortikosteroiden erhalten haben, sollten sorgfältig auf Anzeichen eines Hypoadrenalismus beobachtet werden. Die Tobadex St. Ophthalmic Suspension sollte während der Schwangerschaft nur dann verwendet werden, wenn der potenzielle Nutzen das potenzielle Risiko für den Fötus rechtfertigt [siehe Nichtklinische Toxikologie ].
Pflegemütter
Systemisch verabreichte Kortikosteroide treten in Muttermilch auf und können das Wachstum in die endogene Kortikosteroidproduktion stören oder andere ungünstige Effekte verursachen. Es ist nicht bekannt, ob die topische Verabreichung von Kortikosteroiden zu einer ausreichenden systemischen Absorption führen könnte, um nachweisbare Mengen in der Muttermilch zu erzeugen. Weil viele Medikamente in Muttermilch ausgeschieden werden, sollte eine Pflegefrau ausgewiesen werden, wenn Tobradex ST verabreicht wird.
Pädiatrische Verwendung
Sicherheit und Wirksamkeit bei pädiatrischen Patienten unter 2 Jahren wurden nicht festgestellt.
Geriatrische Verwendung
Es wurden keine allgemeinen Unterschiede in der Sicherheit oder Wirksamkeit zwischen älteren und jüngeren Patienten beobachtet.
Überdosierungsinformationen für tobradex st
Keine Informationen zur Verfügung gestellt
Kontraindikationen für tobradex st
Nicht -bakterielle Ätiologie
Tobradex ST as with other ophthalmic corticosteroids is contraindicated in am meisten viral diseases of the cornea Und conjunctiva einschließlich epithelial herpes simplex keratitis (dendritic keratitis) vaccinia Und varicella Und also in mycobacterial infection of the eye Und fungal diseases of ocular structures.
Überempfindlichkeit
Überempfindlichkeit to a component of the medication.
Budget-Unterkunft
Klinische Pharmakologie for Tobradex ST
Wirkungsmechanismus
Dexamethason is a potent corticoid. Corticoids suppress the inflammatory response to a variety of agents Und they can delay or slow healing. Since corticoids may inhibit the body's defense mechanism against infection a concomitant antimicrobial drug may be used when this inhibition is considered to be clinically significant.
Tobramycin ist ein antibakterielles Medikament. Es hemmt das Wachstum von Bakterien durch Hemmung der Proteinsynthese. Tobramycin ist in diesem Kombinationsprodukt enthalten, um gegen anfällige Bakterien zu wirken [siehe Mikrobiologie ].
Pharmakokinetik
In einer multizentrischen doppelt maskierten Parallelgruppe randomisierte pharmakokinetische eindosis-pharmakokinetische Studie in männlichen und weiblichen Kataraktchirurgie waren die Patienten mit Dexamethason-Konzentrationen nach Verabreichung von TOBRADEX ST ähnlich wie bei Dexamethasonkonzentrationen nach Verabreichung der Ophthalmikussperrung von Tobradex-Ophthalmikus (tobramycin und Dexamethason-Ophthalmikum) 0,3%/0,3%/0,3%/0,3%/0,3%/0,3%/0,3%/0,3%. Die wässrigen Humorkonzentrationen erreichten 2 Stunden nach Verabreichung von Tobradex ST einen mittleren Peak von 33,7 ng/ml.
Es sind keine Daten über das Ausmaß der systemischen Absorption von Tobramycin aus Tobradex St. Ophthalmic Suspension verfügbar. Nach mehreren Dosis (4-mal pro Tag für 2 Tage) bilaterale Augenverwaltung von Tobradex-Ophthalmie-Suspension (Tobramycin 0,3% und Dexamethason 0,1% Ophthalmic Suspension) Bei gesunden männlichen und weiblichen Freiwilligen Peak-Plasma-Konzentrationen von Dexamethason waren weniger als 1 ng/ml und traten innerhalb von zwei Stunden nach der Dosedose auf.
Mikrobiologie
Die Antibiotika -Komponente (Tobramycin) in der Kombination ist enthalten, um eine Wirkung gegen anfällige Bakterien bereitzustellen. In vitro Studien haben gezeigt, dass Tobramycin gegen anfällige Isolate der folgenden Bakterien aktiv ist: Staphylococcus aureus (Beinhaltet Penicillin-resistente Isolate) Staphylococcus epidermidis (Beinhaltet Penicillin-resistente Isolate) Streptococci einschließlich some Group A other beta-hemolytic species some nonhemolytic species Und some Streptococcus pneumoniae .
Acinetobacter calcoaceticus Enterobacter aezogenes escherichia coli haemophilus Influenzae haemophilus aegoisticus klebsiella pneumoniae moraxella lacunata morganella morganii neisseria vervollständigen einen bedrohlichen proteus vulgaris pseudomonas aeruginosa.
In vitro Bakterienstudien zeigen, dass in einigen Fällen gegen Gentamicin resistente Bakterien für Tobramycin anfällig sind.
Patienteninformationen für tobradex st
Lagerung und Handhabung
Weisen Sie den Patienten an, die Flasche aufrecht und vom Licht weg zu lagern. Schütteln Sie gut, bevor Sie dies verwenden [siehe Dosierung und Verwaltung Und Wie geliefert ].
Vermeiden Sie Kontamination
Weisen Sie den Patienten an, eine Tropfenspitze auf eine Oberfläche zu berühren, da dies den Inhalt kontaminieren kann [siehe Warnungen und Vorsichtsmaßnahmen ].
Kontaktlinsenverschleiß
Beraten Sie dem Patienten, dass Kontaktlinsen während der Verwendung dieses Produkts nicht getragen werden sollten [siehe Warnungen und Vorsichtsmaßnahmen ].
Die Fähigkeit, Maschinen zu fahren und zu verwenden, empfiehlt dem Patienten, dass das Sehen nach der Dosierung mit Towradex ST vorübergehend verschwommen sein kann. Sorgfalt sollte in Betriebsmaschinen oder beim Fahren eines Kraftfahrzeugs vorgenommen werden [siehe Warnungen und Vorsichtsmaßnahmen ].