Die Informationen Auf Dieser Website Stellen Keine Medizinische Beratung Dar. Wir Verkaufen Nichts. Die Richtigkeit Der Übersetzung Wird Nicht Garantiert. Haftungsausschluss
Opioidanalgetika
Mentor
Drogenzusammenfassung
Was ist Fentora?
Fentora (Fentanylcitrat) ist ein Betäubungsmittel (Opioid) Schmerzmittel, das zur Behandlung von „Durchbruchschmerzen“ angewendet wird, die nicht von anderen Medikamenten kontrolliert werden. Fentora ist in generischer Form erhältlich.
Was sind Nebenwirkungen von Fentora?
Mentor
- Nesselsucht
- Schwierigkeiten beim Atmen
- Schwellung Ihrer Gesichtslippen Zunge oder Hals
- Langsames Atmen oder Atmen, das aufhört
- schwache oder flache Atmung
- schnelle oder langsame Herzfrequenz
- Steife Muskeln
- schwere Schwäche
- Benommenheit
- Ohnmacht
- Agitation
- Halluzinationen
- Fieber
- Schwitzen
- Zittern
- Schnelle Herzfrequenz
- Muskelsteifigkeit
- zucken
- Koordinierungsverlust
- Brechreiz
- Erbrechen und
- Durchfall
Holen Sie sich sofort medizinische Hilfe, wenn Sie eines der oben aufgeführten Symptome haben.
Zu den häufigen Nebenwirkungen von Fentora gehören:
- Brechreiz
- Erbrechen
- Verstopfung
- Benommenheit
- Schwindel
- Schläfrigkeit
- Kopfschmerzen
- Schwäche
- Müdigkeit oder
- Schwellung in Ihren Händen oder Füßen.
Andere Nebenwirkungen von Fentora sind Schmerzmundgeschichte oder Reizungen im Mund, in dem das Medikament angewendet wurde. Einige Nebenwirkungen von Fentora können nach der Verwendung dieses Medikaments für eine Weile abnehmen. Sagen Sie Ihrem Arzt, wenn Sie unwahrscheinlich, aber ernsthafte Nebenwirkungen von Fentora haben, einschließlich:
- Veränderungen für geistige/stimmige Veränderungen (z. B. Halluzinationen der Agitation Verwirrung)
- schwerer Magen- oder Bauchschmerzen oder
- Schwierigkeiten zu urinieren.
Suchen Sie medizinische Versorgung oder rufen Sie auf einmal 911 an, wenn Sie die folgenden schwerwiegenden Nebenwirkungen haben:
- Schwerwiegende Augensymptome wie plötzlicher Sehverlust verschwommenes Sehen Tunnel Sehschmerzen oder Schwellungen oder Halos in der Umgebung des Lichts;
- Schwerwiegende Herzsymptome wie schnelle unregelmäßige oder pochende Herzschläge; Flattern in deiner Brust; Kurzatmigkeit; und plötzliche Schwindel -Benommenheit oder ohnmächtig;
- Starke Kopfschmerzen Verwirrung verwirrt Spracharm oder Bein Schwäche Schwierigkeiten beim Verlust der Koordination unstabil sehr steifes Muskeln hoher Fieber problemlos Schwitzen oder Zittern.
Dieses Dokument enthält nicht alle möglichen Nebenwirkungen und andere können auftreten. Wenden Sie sich an Ihren Arzt nach zusätzlichen Informationen zu Nebenwirkungen.
Dosierung für Mentoring
Die anfängliche Dosis Fentora beträgt immer 100 mcg, wobei die einzige Ausnahme darin besteht, dass Patienten bereits verwendet werden Actiq . Legen Sie die Fentroa -Tablette in Ihren Mund über einem hinteren Molarenzahn zwischen Ihrer oberen Wange und Ihrem Zahnfleisch und lassen Sie es an Ort und Stelle, bis es sich aufgelöst hat (normalerweise 14 bis 25 Minuten). Brechen Sie den Biss nicht kauen oder schlucken Sie das Tafel ganz ab.
Welche Drogensubstanzen oder Nahrungsergänzungsmittel interagieren mit Fentora?
Fentora kann mit Kalt- oder Allergie -Medizin Sedativen Muskelrelaxer und Medikamente für Anfälle Depressionen oder Angst -APREPITANT DILTIAZEM Verapamil Antibiotika -Antimykotika oder HIV -Medikamente interagieren. Sagen Sie Ihrem Arzt alle Medikamente, die Sie verwenden.
Fentora während der Schwangerschaft und des Stillens
Während der Schwangerschaft sollte Fentora nur bei Verschreibungen verwendet werden. Die Verwendung des erwarteten Liefertermins wird aufgrund des Schadens für den Fötus nicht empfohlen. Babys, die von Müttern geboren wurden, die dieses Medikament eingesetzt haben, können Entzugssymptome wie Reizbarkeit abnormal/anhaltend weinendes Erbrechen oder Durchfall haben. Wenn Sie Symptome in Ihrem Neugeborenen bemerken, sagen Sie es dem Arzt. Dieses Medikament greift in die Muttermilch über und kann selten unerwünschte Auswirkungen auf ein Pflegekind haben. Sagen Sie dem Arzt, wenn Ihr Baby eine ungewöhnliche Schläfrigkeitsschwierigkeit entwickelt, die Ernährung oder Probleme beim Atmen zu sich nehmen. Wenden Sie sich vor dem Stillen an Ihren Arzt. Entzugssymptome können auftreten, wenn Sie plötzlich aufhören, dieses Medikament zu verwenden.
Weitere Informationen
Unser Fentora -Nebenwirkungen von Fentora (Fentanylcitrat) bietet einen umfassenden Überblick über die verfügbaren Arzneimittelinformationen über die potenziellen Nebenwirkungen bei der Einnahme dieses Medikaments.
FDA -Drogeninformationen
- Drogenbeschreibung
- Indikationen
- Dosierung
- Nebenwirkungen
- Wechselwirkungen mit Arzneimitteln
- Warnungen
- Überdosis
- Klinische Pharmakologie
- Medikamentenhandbuch
WARNUNG
Risiko für Medikamente des Missbrauchs von Medikamenten von Atemschutzdepressionen
Atemdepression
Bei Patienten, die mit Fentora behandelt wurden, sind tödliche Atemdepressionen aufgetreten, einschließlich der nach dem Einsatz bei nicht toleranten Patienten verwendeten Patienten und einer unsachgemäßen Dosierung. Die Substitution von Fentora durch ein anderes Fentanylprodukt kann zu einer tödlichen Überdosis führen.
Aufgrund des Risikos einer Atemdepression ist Fentora bei der Behandlung von akuten oder postoperativen Schmerzen, einschließlich Kopfschmerz/Migräne und bei nicht-toleranten Opioid-Patienten, kontraindiziert. [sehen Kontraindikationen ]
Fentora muss von Kindern außer Reichweite gehalten werden. [sehen Patienteninformationen Und Wie geliefert /Speicher und Handling]
Die gleichzeitige Verwendung von Fentora mit CYP3A4 -Inhibitoren kann zu einem Anstieg der Fentanylplasmakonzentrationen führen und potenziell tödliche Atemdepressionen verursachen [siehe Wechselwirkungen mit Arzneimitteln ].
Medikamentenfehler
Im pharmakokinetischen Profil von Fentora gibt es im Vergleich zu anderen Fentanylprodukten wesentliche Unterschiede, die zu klinisch wichtigen Unterschieden im Ausmaß der Absorption von Fentanyl führen, die zu einer tödlichen Überdosierung führen könnten.
- Bei der Verschreibung konvertieren Patienten keine MCG pro MCG -Basis von anderen Fentanylprodukten in Fentora. [sehen Dosierung und Verwaltung ]
- Bei der Abgabe ersetzen Sie keine Fentora -Rezept für andere Fentanylprodukte.
Missbrauchspotential
Fentora enthält Fentanyl einen Opioidagonisten und einen kontrollierten Substanz von Schedule II mit einer Missbrauchshaftung, die anderen Opioidanalgetika ähnelt. Fentora kann ähnlich wie andere legale oder illegale Opioidagonisten missbraucht werden. Dies sollte bei der Verschreibung oder Abgabe von Fentora in Situationen berücksichtigt werden, in denen der Arzt oder Apotheker über ein erhöhtes Risiko von Missbrauchsmissbrauch oder Ablenkung betroffen ist.
Aufgrund des Risikos für Missbrauchsabhängigkeit und Überdosierung ist Fentora nur durch ein eingeschränktes Programm zur Verfügung, das von der Food and Drug Administration als Risikobewertung und Minderungsstrategie (REMS) bezeichnet wird. Im Rahmen des transmukosalen Sofortigen Fundanyl (TIRF) REMS Access -Programms ambulanten Patienten, die ambulanten Apotheken und Distributoren vorschreiben, müssen sich für das Programm anmelden. [Siehe Warnungen und VORSICHTSMASSNAHMEN ] Weitere Informationen finden Sie unter www.tirfremsaccess.com oder telefonisch unter 1-866-822-1483.
Beschreibung für Mentoring
Fentora (Fentanylbukkal -Tablette) ist eine starke Opioidanalgetikerin für die Verabreichung von bukkaler Schleimhaut.
Fentora ist so ausgelegt, dass sie für einen Zeitraum, der ausreicht, in der bukkalen Hohlheit platziert und aufbewahrt werden soll, um die Zerfall der Tablette und die Absorption von Fentanyl über die Mundschleimhaut zu ermöglichen.
Fentora verwendet die ORAVESCECT® -Arzneimittelabgabe -Technologie, die eine Reaktion erzeugt, die Kohlendioxid freigibt, wenn die Tablette mit Speichel in Kontakt kommt. Es wird angenommen, dass vorübergehende pH -Veränderungen, die mit der Reaktion einhergehen, die Auflösung (bei einem niedrigeren pH) und die Membranpermeation (bei einem höheren pH) Fentanyl durch die bukkale Schleimhaut optimieren können.
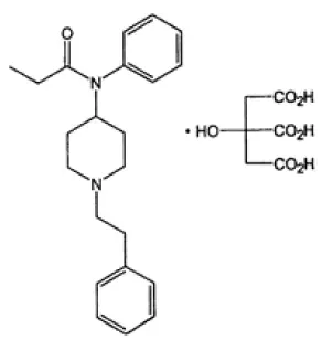
Wirkstoff: Fentanylcitrat USP ist N- (1-phenethyl-4piperidyl) propionanilid citrat (1: 1). Fentanyl ist eine hoch lipophile Verbindung (Octanol-Wasser-Partitionskoeffizient bei pH 7,4 beträgt 816: 1), der in organischen Lösungsmitteln frei löslich und in Wasser sparsam löslich ist (1:40). Das Molekulargewicht der freien Basis beträgt 336,5 (das Citratsalz beträgt 528,6). Die PKA der tertiären Nitrogene beträgt 7,3 und 8,4. Die Verbindung hat die folgende strukturelle Formel:
|
Alle Tablettenstärken werden als die Menge an fentanylfreier Basis ausgedrückt, z. Das 100 -Mikrogramm -Stärke -Tablet enthält 100 Mikrogramm Fentanylfreie Basis.
Inaktive Zutaten: MANNITOL -Natriumstärkeglykolat -Natriumbicarbonat -Natriumcarbonat -Zitronensäure und Magnesiumstearat.
Verwendung für Fentora
Fentora ist für die Behandlung von Durchbruchschmerzen bei Krebspatienten ab 18 Jahren, die bereits erhalten werden, die bereits erhalten und die bis zur Opioid-Therapie rund um die Uhr tolerant sind, für ihre anhaltenden Krebsschmerzen.
Patienten, die als opioid-tolerant angesehen werden, sind diejenigen, die eine Woche oder länger rund um das Taktmedizin einnehmen, das aus mindestens 60 mg oralem Morphin pro Tag besteht Dosis eines anderen Opioids. Die Patienten müssen in der Nähe der Uhr Opioide bleiben, während sie Fentora einnehmen.
Einschränkungen der Nutzung
- Nicht zur Verwendung bei nicht toleranten Opioid-Patienten.
- Nicht zur Behandlung von akuten oder postoperativen Schmerzen, einschließlich Kopfschmerzen/Migräne und Zahnschmerzen [siehe Kontraindikationen ].
- Als Teil des TIRF REMS Fentora kann nur ambulante Apotheken an ambulante Patienten abgegeben werden, die im Programm aufgenommen wurden [siehe WARNUNGS AND VORSICHTSMASSNAHMEN ]. Foder inpatient administration of Mentor patient Und prescriber enrollment are not required.
Dosierung für Mentoring
Wichtige Dosierungs- und Verwaltungsanweisungen
- Angehörige der Gesundheitsberufe, die Fentora für ambulante Patienten verschreiben WARNUNGS AND VORSICHTSMASSNAHMEN ].
- Verwenden Sie die niedrigste wirksame Dosierung für die kürzeste Dauer, die mit individuellen Patientenbehandlungszielen übereinstimmt [siehe WARNUNGS AND VORSICHTSMASSNAHMEN ]. Because the risk of overdose increases as opioid doses increase reserve titration to higher doses of Mentor foder patients in whom lower doses are insufficiently effective Und in whom the expected benefits of using a higher dose opioid clearly outweigh the substantial risks.
- Es ist wichtig, die Anzahl der Stärken der Patienten jederzeit zu minimieren, um Verwirrung und mögliche Überdosis zu verhindern.
- Die Opioid -Analgetika -Dosis und -dauer besteht zur Variabilität, die erforderlich ist, um sowohl durch die Schmerzursache als auch für die einzelnen Patientenfaktoren angemessen zu behandeln. Initiieren Sie das Dosierungsschema für jeden Patienten individuell unter Berücksichtigung der Schwere der Schmerzpatientenreaktion des Patienten. Erfahrungserfahrung und Risikofaktoren für Missbrauch und Missbrauch von Sucht [siehe WARNUNGS AND VORSICHTSMASSNAHMEN ].
- Atemdepression kann jederzeit während der Opioid -Therapie auftreten, insbesondere wenn die Initiierung und die Dosierung mit Fentora zunimmt. Betrachten Sie dieses Risiko bei der Auswahl einer Anfangsdosis und bei der Dosisanpassungen [siehe WARNUNGS AND VORSICHTSMASSNAHMEN ].
- Weisen Sie die Patienten und Pflegekräfte an, Schritte zu unternehmen, um Fentora sicher zu speichern und nicht mehr genutzte Fentora ordnungsgemäß zu entsorgen, sobald sie nicht mehr benötigt werden [siehe WARNUNGS AND VORSICHTSMASSNAHMEN ].
- Fentora ist nicht bioäquivalent mit anderen Fentanylprodukten. Konvertieren Sie Patienten nicht mCG pro MCG -Basis von anderen Fentanylprodukten. Für Patienten mit anderen Fentanylprodukten als ACTIQ sind keine Umwandlungsanweisungen zur Verfügung WARNUNGS AND VORSICHTSMASSNAHMEN ].
- Fentora ist keine generische Version eines anderen transmukosalen Fentanylprodukts [siehe WARNUNGS AND VORSICHTSMASSNAHMEN ].
Patientenzugang zu Naloxon für die Notfallbehandlung von Opioidüberdosis
Diskutieren Sie die Verfügbarkeit von Naloxon für die Notfallbehandlung von Opioidüberdosierungen mit dem Patienten und der Pflegekraft und bewerten Sie den potenziellen Bedarf an Zugang zu Naloxon sowohl bei der Initiierung als auch bei der Erneuerung mit Fentora [siehe WARNUNGS AND VORSICHTSMASSNAHMEN ].
Informieren Sie Patienten und Betreuer über die verschiedenen Möglichkeiten, Naloxon zu erhalten, wie dies durch die individuelle staatliche Naloxonabgabe und Verschreibung von Anforderungen oder Richtlinien zulässig ist (z. B. durch Verschreibung direkt von einem Apotheker oder als Teil eines gemeindenahen Programms).
Erwägen Sie, Naloxon zu verschreiben, basierend auf den Risikofaktoren des Patienten für Überdosierungen wie der gleichzeitigen Verwendung von ZNS -Depressiva eine Vorgeschichte von Opioidkonsumstörungen oder früherer Opioidüberdosis. Das Vorhandensein von Risikofaktoren für eine Überdosierung sollte die ordnungsgemäße Behandlung von Schmerzen bei einem bestimmten Patienten nicht verhindern [siehe WARNUNGS AND VORSICHTSMASSNAHMEN ].
Erwägen Sie, Naloxon zu verschreiben, wenn der Patient Haushaltsmitglieder (einschließlich Kinder) oder andere enge Kontakte mit einem zufälligen Aufnahme oder Überdosis hat.
Anfängliche Dosierung
Die anfängliche Dosis Fentora beträgt immer 100 mcg, wobei die einzigen Ausnahme darin bestehen, dass Patienten bereits ACTIQ verwenden.
Patienten auf Actiq
- Für Patienten, die von ACTIQ -Verschreibern umgewandelt werden, müssen die anfänglichen Dosierungsempfehlungen für Patienten in der ACTIQ -Tabelle unten verwenden (Tabelle 1). Die Dosen von Fentora in dieser Tabelle beginnen Dosen und sind nicht dazu gedacht, gleiche Alianalgesischen Dosen für Actiq darzustellen. Die Patienten müssen angewiesen werden, die Verwendung von Actiq zu stoppen und verbleibende Einheiten zu entsorgen.
Tabelle 1: Erste Dosierungsempfehlungen für Patienten auf ACTIQ
Aktuelle Actiq -Dosis (MCG) Anfängliche Mentora Dosis* 200 100 MCG -Tablet 400 100 MCG -Tablet 600 200 MCG -Tablet 800 200 MCG -Tablet 1200 2 x 200 MCG -Tabletten 1600 2 x 200 MCG -Tabletten *Aus dieser anfänglichen Dosis titrieren Sie Patient zu einer wirksamen Dosis. - Bei Patienten, die von ACTIQ -Dosen konvertieren, sollten mit dem 200 MCG -Fentora -Tablet eine Titration von 200 mcg initiiert werden und mit mehreren Tafelstärken fortgesetzt werden.
Dosierung wiederholen
- In Fällen, in denen die Durchbruchschmerz -Episode nach 30 -minütigen Patienten nicht erleichtert wird, dürfen Patienten für diese Episode nur eine zusätzliche Dosis mit der gleichen Stärke einnehmen. Daher sollten die Patienten maximal zwei Dosen Fentora für jede Episode von Durchbruchschmerzen einnehmen.
- Die Patienten müssen mindestens 4 Stunden warten, bevor sie eine weitere Folge von Durchbruchschmerzen mit Fentora behandeln.
Dosis Titration
- Aus einer anfänglichen Dosis folgen den Patienten genau und verändern die Dosierungsstärke, bis der Patient eine Dosis erreicht, die eine angemessene Analgesie mit tolerierbaren Nebenwirkungen liefert. Die Patienten sollten ihre Verwendung von Fentora über mehrere Folgen von Durchbruchschmerzen erfassen und ihre Erfahrungen mit ihrem Gesundheitsdienstleister diskutieren, um festzustellen, ob eine Dosierungsanpassung gerechtfertigt ist.
- Patienten, deren anfängliche Dosis 100 MCG ist und die eine höhere Dosis titrieren müssen, können mit ihrer nächsten Durchbruchschmerz -Episode angewiesen werden, zwei 100 MCG -Tabletten (eine auf jeder Seite des Mundes in der Bukkalhöhle) zu verwenden. Wenn diese Dosierung nicht erfolgreich ist, kann der Patient angewiesen werden, zwei 100 MCG -Tabletten auf jeder Seite des Mundes in der Bukkalhöhle (insgesamt vier 100 MCG -Tabletten) zu platzieren. Titrieren Sie mit mehreren Tafeln von 200 MCG Fentora für Dosen über 400 MCG (600 MCG und 800 MCG). Hinweis: Verwenden Sie nicht mehr als 4 Tabletten gleichzeitig.
- In Fällen, in denen die Durchbruchschmerz -Episode nach 30 -minütigen Patienten nicht erleichtert wird, dürfen Patienten für diese Episode nur eine zusätzliche Dosis der gleichen Stärke einnehmen. Daher sollten die Patienten maximal zwei Dosen Fentora für jede Durchbruchschmerz -Episode einnehmen. Während der Titration kann eine Fentora -Dosis die Verabreichung von 1 bis 4 Tabletten derselben Dosierungsstärke (100 MCG oder 200 MCG) umfassen.
- Die Patienten müssen mindestens 4 Stunden warten, bevor sie eine weitere Folge von Durchbruchschmerzen mit Fentora behandeln. To reduce the risk of overdose during titration patients should have only one strength of Mentor tablets available at any time.
- Die Patienten sollten nachdrücklich aufgefordert werden, alle Fentora -Tabletten mit einer Stärke zu verwenden, bevor sie die nächste Stärke verschrieben haben. Wenn dies nicht praktisch ist, sollte ungenutzte Fentora sicher entsorgt werden [siehe Wie geliefert / Lagerung und Handhabung ]. Dispose of any unopened Mentor tablets remaining from a prescription as soon as they are no longer needed.
Wartungsdosierung
- Sobald die titrierte Patienten titriert werden, sollten Patienten im Allgemeinen nur eine Fentora -Tablette mit der entsprechenden Stärke pro Durchbruchschmerz -Episode verwenden.
- Gelegentlich, wenn die bahnbrechende Schmerzsepisode nach 30 Minuten nicht erleichtert wird, dürfen Patienten für diese Episode nur eine zusätzliche Dosis mit der gleichen Stärke einnehmen.
- Die Patienten müssen mindestens 4 Stunden warten, bevor sie eine weitere Folge von Durchbruchschmerzen mit Fentora behandeln.
- Dosierung adjustment of Mentor may be required in some patients. Generally the Mentor dose should be increased only when a single administration of the current dose fails to adequately treat the breakthrough pain episode foder several consecutive episodes. If after increasing the dosage unacceptable opioid-related adverse reactions are observed (including an increase in pain after dosage increase) consider reducing the dosage [see WARNUNGS AND VORSICHTSMASSNAHMEN ]. Adjust the dosage to obtain an appropriate balance between management of pain Und opioid-related adverse reactions.
- Wenn der Patient mehr als vier Durchbruchsschmerz-Episoden pro Tag erlebt, sollte die Dosis des für anhaltenden Schmerzen verwendeten Opioids rund um die Uhr neu bewertet werden.
- Sobald eine wirksame Dosis unter Verwendung des oben beschriebenen Titrationsschemas ermittelt wird, ist ein alternativer Verabreichungsweg sublingual (Platzierung der Tablette unter die Zunge).
Verwaltung von Mentoring
Öffnen des Blasenpakets
- Weisen Sie die Patienten an, die Blase erst zu öffnen, bis es bereit ist, Fentora zu verabreichen.
- Trennen Sie eine einzelne Blaseneinheit von der Blisterkarte, indem Sie sich an den Perforationen beugen und auseinander reißen.
- Biegen Sie die Blaseneinheit entlang der angezeigten Linie.
- Schälen Sie die Blasensicherung zurück, um die Tablette freizulegen. Patienten sollten nicht versuchen, die Tablette durch die Blase zu schieben, da dies die Tablette schädigen kann.
- Speichern Sie das Tablet nicht, sobald es aus dem Blisterpaket entfernt wurde, da die Tablet -Integrität möglicherweise beeinträchtigt wird, und vor allem, da dies das Risiko einer zufälligen Exposition gegenüber dem Tablet erhöht.
Tablet -Verwaltung
Sobald die Tablette aus der Blaseneinheit entfernt ist, sollte der Patient die gesamte Fentora -Tablette sofort in die bukkale Hohlraum (über einem hinteren Molar zwischen der oberen Wange und dem Zahnfleisch) platzieren oder die gesamte Fentora -Tablette unter die Zunge legen. Patienten sollten die Tablette nicht teilen.
Die Fentora -Tablette sollte nicht zerkleinert werden, um gekaut oder geschluckt zu werden, da dies zu niedrigeren Plasmakonzentrationen führt als bei der Anweisung.
Die Fentora-Tablette sollte zwischen Wange und Kaugummi oder unter der Zunge gelassen werden, bis es sich aufgelöst hat, was normalerweise ungefähr 14 bis 25 Minuten dauert.
Nach 30 Minuten, wenn Überreste aus der Fentora -Tablette verbleiben, können sie mit einem Glas Wasser verschluckt werden.
Es wird empfohlen, dass Patienten wechselnde Seiten des Mundes bei der Verabreichung nachfolgender Fentora -Dosen in der bukkalen Hohlraum.
Abbruch von Fentora
Bei Patienten, die keine Opioid -Therapie mehr benötigen, in Betracht zu ziehen, Fentora zusammen mit einer allmählichen Abwärtsverjüngung (Titration) anderer Opioide abzubauen, um mögliche Entzugseffekte zu minimieren. Bei Patienten, die weiterhin ihre chronische Opioid -Therapie wegen anhaltender Schmerzen einnehmen, aber keine Behandlung für Durchbruchschmerzen benötigen, kann die Fentora -Therapie normalerweise sofort abgesetzt werden [siehe Drogenmissbrauch und Abhängigkeit ].
Entsorgung von Mentoring
Um nicht verwendete Fentora zu entsorgen, entfernen Sie Fentora -Tabletten aus Blisterpaketen und spülen Sie die Toilette hinunter. Spülen Sie die Fentora -Blasenpakete oder Kartons nicht auf der Toilette. Wenn Sie zusätzliche Unterstützung bei der Entsorgung von Fentora benötigen, rufen Sie Teva Pharmaceuticals unter 1-888-483-8279 an.
Wie geliefert
Dosierung Foderms And Strengths
Mentor Tabletten sind rund umgezogene Schrägkanten in Form; sind weiß; und sind in 100 MCG 200 MCG 400 MCG 600 MCG und 800 MCG -Stärken als Fentanylbasis erhältlich. Jede Tablettenstärke ist mit einer eindeutigen Kennung markiert [siehe Wie geliefert / Lagerung und Handhabung ].
Mentor wird in einzeln versiegelten kinderresistenten Blisterpaketen geliefert. Jeder Karton enthält 7 Blisterkarten mit 4 weißen Tabletten in jeder Karte. Die Blasen sind kinderresistent in schälbare Folien und bieten Schutz vor Feuchtigkeit. Jedes Tablet wird auf der einen Seite mit und die andere Seite jeder Dosierungsstärke wird durch das Debossing auf der Tablette, wie in der folgenden Tabelle beschrieben, eindeutig identifiziert. Zusätzlich wird die Dosierungsstärke auf dem Blisterpaket und dem Karton angegeben. Produktinformationen finden Sie in Blisterpaket und Karton.
| Dosierung Strength | Debossing | Carton/Blister -Paketfarbe | NDC -Nummer |
| 100 mcg | 1 | Blau | NDC 63459-541-28 |
| 200 mcg | 2 | Orange | NDC 63459-542-28 |
| 400 mcg | 4 | Salbei grün | NDC 63459-544-28 |
| 600 mcg | 6 | Magenta (rosa) | NDC 63459-546-28 |
| 800 mcg | 8 | Gelb | NDC 63459-548-28 |
Notiz: Carton/Blister -Paketfarben sind eine sekundäre Hilfe bei der Produktidentifizierung. Bitte bestätigen Sie unbedingt die gedruckte Dosierung vor der Abgabe.
Lagerung und Handhabung
Speichern Sie bei 20 ° C bis 25 ° C (68 ° F bis 77 ° F), wobei die Ausflüge zwischen 15 ° C und 30 ° C (59 ° F bis 86 ° F) zulässig sind, bis sie verwendet wurden. (Sehen USP -kontrollierte Raumtemperatur .))
Schützen Sie Fentora vor Einfrieren und Feuchtigkeit. Verwenden Sie nicht, wenn das Blisterpaket manipuliert wurde.
Lagern Sie Fentora sicher und entsorgen Sie sie ordnungsgemäß.
Verteilt von: Teva Pharmaceuticals USA Inc. Parsippany NJ 07054. Überarbeitet: Dez. 2023
Nebenwirkungen foder Fentodera
Die folgenden schwerwiegenden Nebenwirkungen werden in anderen Abschnitten ausführlicher beschrieben oder ausführlicher beschrieben:
- Missbrauch und Missbrauch von Sucht [siehe WARNUNGS AND VORSICHTSMASSNAHMEN ]
- Lebensbedrohliche Atemdepression [siehe WARNUNGS AND VORSICHTSMASSNAHMEN ]
- Wechselwirkungen mit Benzodiazepinen und anderen ZNS -Depressiva [siehe WARNUNGS AND VORSICHTSMASSNAHMEN ]
- Neugeborenen -Opioid -Rückzugs -Syndrom [siehe WARNUNGS AND VORSICHTSMASSNAHMEN ]
- Opioid-induzierte Hyperalgesie und Allodynie [siehe WARNUNGS AND VORSICHTSMASSNAHMEN ]
- Serotons Syndrom [siehe WARNUNGS AND VORSICHTSMASSNAHMEN ]
- Nebenniereninsuffizienz [siehe WARNUNGS AND VORSICHTSMASSNAHMEN ]
- Schwere Hypotonie [siehe WARNUNGS AND VORSICHTSMASSNAHMEN ]
- Gastrointestinale Nebenwirkungen [siehe WARNUNGS AND VORSICHTSMASSNAHMEN ]
- Anfälle [siehe WARNUNGS AND VORSICHTSMASSNAHMEN ]
Klinische Studien Erfahrung
Da klinische Studien unter stark unterschiedlichen Bedingungen durchgeführt werden, die in den klinischen Studien eines Arzneimittels beobachtet werden, können in den klinischen Studien eines anderen Arzneimittels nicht direkt mit den Raten verglichen werden und spiegeln möglicherweise nicht die in der Praxis beobachteten Raten wider.
Die Sicherheit von Fentora wurde bei 304 Opioid-toleranten Krebspatienten mit Durchbruchschmerzen untersucht. Die durchschnittliche Therapiedauer betrug 76 Tage, wobei einige Patienten über 12 Monate behandelt wurden.
Die klinischen Studien mit Fentora wurden entwickelt, um die Sicherheit und Wirksamkeit bei der Behandlung von Krebspatienten und Durchbruchschmerzen zu bewerten. Alle Patienten nahmen begleitende Opioide wie Morphin für nachhaltige Freisetzung von Oxycodon oder transdermalem Fentanyl für ihre anhaltenden Schmerzen ein.
Die hier vorgestellten unerwünschten Ereignisdaten spiegeln den tatsächlichen Prozentsatz der Patienten wider, die bei Patienten, die Fentora wegen Durchbruchschmerzen erhielten, zusammen mit einem gleichzeitigen Opioid für anhaltende Schmerzen erleben. Es gab keinen Versuch, die gleichzeitige Verwendung anderer Opioide Dauer der Fentora-Therapie oder der krebsbedingten Symptome zu korrigieren.
Tabelle 2 listet auf, dass die maximale Dosis unerwünschte Ereignisse mit einer Gesamtfrequenz von 5% oder mehr innerhalb der während der Titration auftratenen Gesamtbevölkerung erhalten hat. Die Fähigkeit, diesen unerwünschten Ereignissen eine Dosierungsbeziehung zuzuweisen, ist durch die in diesen Studien verwendeten Titrationsschemata begrenzt.
Tabelle 2: unerwünschte Ereignisse, die während der Titration bei einer Häufigkeit von ≥ 5% auftraten
| Systemorgelklasse Medra bevorzugte Begriff n (%) | 100 mcg (N = 45) | 200 mcg (N = 34) | 400 mcg (N = 53) | 600 mcg (N = 56) | 800 mcg (N = 113) | Gesamt (N = 304)* |
| Magen -Darm -Störungen | ||||||
| Brechreiz | 4 (9) | 5 (15) | 10 (19) | 13 (23) | 18 (16) | 50 (17) |
| Erbrechen | 0 | 2 (6) | 2 (4) | 7 (13) | 3 (3) | 14 (5) |
| Allgemeine Erkrankungen und Verwaltungsortbedingungen | ||||||
| Ermüdung | 3 (7) | 1 (3) | 9 (17) | 1 (2) | 5 (4) | 19 (6) |
| Störungen des Nervensystems | ||||||
| Schwindel | 5 (11) | 2 (6) | 12 (23) | 18 (32) | 21 (19) | 58 (19) |
| Schläfrigkeit | 2 (4) | 2 (6) | 6 (12) | 7 (13) | 3 (3) | 20 (7) |
| Kopfschmerzen | 1 (2) | 3 (9) | 4 (8) | 8 (14) | 10 (9) | 26 (9) |
| *Dreihundert und zwei (302) Patienten wurden in die Sicherheitsanalyse einbezogen. |
Tabelle 3 listet nach erfolgreichen dosis unerwünschten Ereignissen mit einer Gesamtfrequenz von ≥ 5% innerhalb der Gesamtbevölkerung auf, die nach einer erfolgreichen Dosis ermittelt worden war.
Tabelle 3: unerwünschte Ereignisse, die während der Langzeitbehandlung bei einer Häufigkeit von ≥ 5% auftraten
| Systemorgelklasse Medra bevorzugte Begriff n (%) | 100 mcg (N = 19) | 200 mcg (N = 31) | 400 mcg (N = 44) | 600 mcg (N = 48) | 800 mcg (N = 58) | Gesamt (N = 200) |
| Blut- und Lymphsystemstörungen | ||||||
| Anämie | 6 (32) | 4 (13) | 4 (9) | 5 (10) | 7 (13) | 26 (13) |
| Neutropenie | 0 | 2 (6) | 1 (2) | 4 (8) | 4 (7) | 11 (6) |
| Magen -Darm -Störungen | ||||||
| Brechreiz | 8 (42) | 5 (16) | 14 (32) | 13 (27) | 17 (31) | 57 (29) |
| Erbrechen | 7 (37) | 5 (16) | 9 (20) | 8 (17) | 11 (20) | 40 (20) |
| Verstopfung | 5 (26) | 4 (13) | 5 (11) | 4 (8) | 6 (11) | 24 (12) |
| Durchfall | 3 (16) | 0 | 4 (9) | 3 (6) | 5 (9) | 15 (8) |
| Bauchschmerzen | 2 (11) | 1 (3) | 4 (9) | 7 (15) | 4 (7) | 18 (9) |
| Allgemeine Erkrankungen und Verwaltungsortbedingungen | ||||||
| Ödemperiphere | 6 (32) | 5 (16) | 4 (9) | 5 (10) | 3 (5) | 23 (12) |
| Asthenie | 3 (16) | 5 (16) | 2 (5) | 3 (6) | 8 (15) | 21 (11) |
| Ermüdung | 3 (16) | 3 (10) | 9 (20) | 9 (19) | 8 (15) | 32 (16) |
| Infektionen und Befall | ||||||
| Lungenentzündung | 1 (5) | 5 (16) | 1 (2) | 1 (2) | 4 (7) | 12 (6) |
| Untersuchungen | ||||||
| Gewicht nahm ab | 1 (5) | 1 (3) | 3 (7) | 2 (4) | 6 (11) | 13 (7) |
| Stoffwechsel- und Ernährungsstörungen | ||||||
| Dehydration | 4 (21) | 0 | 4 (9) | 6 (13) | 7 (13) | 21 (11) |
| Anorexie | 1 (5) | 2 (6) | 4 (9) | 3 (6) | 6 (11) | 16 (8) |
| Hypokaliämie | 0 | 2 (6) | 0 | 1 (2) | 8 (15) | 11 (6) |
| Muskuloskelett- und Bindegewebestörungen | ||||||
| Rückenschmerzen | 2 (11) | 0 | 2 (5) | 3 (6) | 2 (4) | 9 (5) |
| Arthralgie | 0 | 1 (3) | 3 (7) | 4 (8) | 3 (5) | 11 (6) |
| Neoplasmen gutartige maligne und nicht spezifizierte (einschließlich Zysten und Polypen) | ||||||
| Krebsschmerzen | 3 (16) | 1 (3) | 3 (7) | 2 (4) | 1 (2) | 10 (5) |
| Störungen des Nervensystems | ||||||
| Schwindel | 5 (26) | 3 (10) | 5 (11) | 6 (13) | 6 (11) | 25 (13) |
| Kopfschmerzen | 2 (11) | 1 (3) | 4 (9) | 5 (10) | 8 (15) | 20 (10) |
| Schläfrigkeit | 0 | 1 (3) | 4 (9) | 4 (8) | 8 (15) | 17 (9) |
| Psychiatrische Störungen | ||||||
| Verwirrungszustand | 3 (16) | 1 (3) | 2 (5) | 3 (6) | 5 (9) | 14 (7) |
| Depression | 2 (11) | 1 (3) | 4 (9) | 3 (6) | 5 (9) | 15 (8) |
| Schlaflosigkeit | 2 (11) | 1 (3) | 3 (7) | 2 (4) | 4 (7) | 12 (6) |
| Atemstillstand und Mediastinalstörungen | ||||||
| Husten | 1 (5) | 1 (3) | 2 (5) | 4 (8) | 5 (9) | 13 (7) |
| Dyspnoe | 1 (5) | 6 (19) | 0 | 7 (15) | 4 (7) | 18 (9) |
Darüber hinaus wurden eine kleine Anzahl von Patienten (n = 11) mit Mukositis der Grad 1 in klinische Studien zur Unterstützung der Sicherheit von Fentora einbezogen. In dieser Untergruppe von Patienten gab es keine Hinweise auf eine überschüssige Toxizität.
Reaktionen für Anwendungsstellen: In klinischen Studien wurden 10% aller Patienten, die Fentora ausgesetzt waren, an Anwendungsortreaktionen ausgewiesen. Diese Reaktionen reichten von Parästhesie bis hin zu Geschwüren und Blutungen. Die Reaktionen für Anwendungsstellen, die bei ≥ 1%der Patienten auftraten, waren Schmerzen (4%) Ulkus (3%) und Reizungen (3%). Die Reaktionen für Anwendungsstellen waren tendenziell zu Beginn der Behandlung auftraten, waren selbstbeschränkungen und führten nur zu einer Behandlung bei 2% der Patienten.
The duration of exposure to FENTORA varied greatly and included open-label and double-blind studies. The frequencies listed below represent the ≥1% of patients (and not listed in Tables 2 and 3 above) from three clinical trials (titration and post-titration periods combined) who experienced that event while receiving FENTORA. Events are classified by system organ class.
Unerwünschte Ereignisse (≥ 1%)
Blut- und Lymphsystemstörungen: Thrombozytopenie Leukopenie
Herzerkrankungen: Tachykardie
Magen -Darm -Störungen: Stomatitis trockener Munddyspepsie Oberbauch Schmerz Bauch Bauch Entfernung Dysphagie Gingival Schmerzen Magen Beschwerden gastroösophageale Refluxkrankheiten Glossodynia Mund Ulzeration
Allgemeine Störungen und Verwaltungsortbedingungen: Pyrexia Application Site Schmerzanwendungsstelle Ulcer Brust Schmerz Schmerzen Anwendung Site Irritation Ödeme Schleimhaut Entzündung Schmerzen
Lebererkrankungen: Gelbsucht
Infektionen und Befall: Orale Candidiasis Harnwegsinfektion Cellulitis Nasopharyngitis Sinusitis obere Atemwege Infektion Influenza Zahnabszess
Verletzungsvergiftung und Verfahrenskomplikationen: Herbstkompressionsfraktur
Wofür wird Sulfamethoxazol verwendet?
Untersuchungen: Verminderter Hämoglobin erhöhte Blutzucker verringerte den Hämatokrit die Thrombozytenzahl
Stoffwechsel- und Ernährungsstörungen: Verringerte Appetithypoalbuminämie Hyperkalzämie Hypomagnesiämie Hyponatriämie verringerte die orale Aufnahme
Muskuloskelett- und Bindegewebestörungen: Schmerzen in der Extremität Myalgie Brustwand Schmerzen Muskelkrämpfe Halsschmerzen Schulterschmerzen
Störungen des Nervensystems: Hypoästhesie Dysgusia Lethargie periphere Neuropathie Parästhesie Gleichgewichtsstörung Migräne -Neuropathie
Psychiatrische Störungen: Angstdesorientierung euphorischer Stimmungs Halluzination Nervosität
Nieren- und Harnstörungen: Nierenversagen
Atemstörungen für Brust- und Mediastinalerkrankungen: Pharyngolaryngealschmerz Ausgleichsdyspnoe -Pleura -Erguss verringerte die Atemgeräusche keuchend
Haut und subkutane Gewebeerkrankungen: Pruritus -Hautausschlag Hyperhidrose Kaltes Schweiß
Gefäßstörungen: Hypertonie -Hypotonie -Pallor Deepvene Thrombose
Nachmarkterfahrung
Die folgenden nachteiligen Reaktionen wurden während der Verwendung von Fentanyl nach der Genehmigung identifiziert. Da diese Reaktionen freiwillig aus einer Population unsicherer Größe berichtet werden, ist es nicht immer möglich, ihre Häufigkeit zuverlässig abzuschätzen oder ein kausales Verhältnis zur Arzneimittelexposition herzustellen.
Störungen des Nervensystems
- Serotons Syndrom: Fälle des Serotonin-Syndroms Eine potenziell lebensbedrohliche Erkrankung wurde während der gleichzeitigen Verwendung von Opioiden mit serotonergen Arzneimitteln berichtet.
- Hyperalgesie und Allodynie: Fälle von Hyperalgesie und Allodynie wurden mit Opioidtherapie jeglicher Dauer berichtet [siehe WARNUNGS AND VORSICHTSMASSNAHMEN ].
Endokrine Störungen
- Nebenniereninsuffizienz: Es wurden Fälle von Nebenniereninsuffizienz bei Opioidkonsum nach mehr als einem Monat der Verwendung berichtet.
- Androgenmangel: Fälle von Androgenmangel sind über einen längeren Zeitraum bei der Verwendung von Opioiden aufgetreten [siehe Klinische Pharmakologie ].
Immunsystemstörungen
- Anaphylaxie: Anaphylaxie wurde mit in Fentora enthaltenen Zutaten berichtet.
Allgemeine Erkrankungen und Verwaltungsortbedingungen
- Drogenentzugssyndrom
Stoffwechsel- und Ernährungsstörungen
- Hypoglykämie: Bei Patienten, die Opioide einnehmen, wurden Fälle von Hypoglykämie berichtet. Die meisten Berichte waren bei Patienten mit mindestens einem prädisponierenden Risikofaktor (z. B. Diabetes).
Wechselwirkungen mit Arzneimitteln foder Fentodera
Tabelle 4 umfasst klinisch signifikante Wechselwirkungen mit Arzneimitteln mit Fentora.
Tabelle 4: Klinisch signifikante Wechselwirkungen mit Fentora mit Fentora
| Inhibitoren von CYP3A4 | |
| Klinische Wirkung: | Die gleichzeitige Verwendung von Fentora- und CYP3A4 -Inhibitoren kann die Plasmakonzentration von Fentanyl erhöhen WARNUNGS AND VORSICHTSMASSNAHMEN ]. Nachdem ein CYP3A4 -Inhibitor gestoppt wurde, wenn die Wirkung des Inhibitors die Fentanylplasmakonzentration abnimmt [siehe Klinische Pharmakologie ], was zu einer verminderten Opioidwirksamkeit oder einem Entzugssyndrom bei Patienten führt, die eine physikalische Abhängigkeit von Fentanyl entwickelt hatten. |
| Intervention: | Wenn ein gleichzeitiger Einsatz erforderlich ist, berücksichtigen Sie eine Dosierungsreduktion von Fentora, bis stabile Arzneimitteleffekte erreicht sind. Bewertung von Patienten in häufigen Intervallen für Atemdepression und Sedierung. Wenn ein CYP3A4 -Inhibitor abgesetzt wird, erwägen Sie, die Fentora -Dosierung zu erhöhen, bis stabile Arzneimitteleffekte erreicht sind. Bewerten Sie Anzeichen eines Opioidentzugs. |
| Beispiele: | Makrolid-Antibiotika (z. B. Erythromycin) Azol-Antifungal-Wirkstoffe (z. B. Ketoconazol) Protease-Inhibitoren (z. B. Ritonavir) Grapefruitsaft |
| CYP3A4 -Induktoren | |
| Klinische Wirkung: | Die gleichzeitige Verwendung von Fentora- und CYP3A4 -Induktoren kann die Plasmakonzentration von Fentanyl verringern [siehe Klinische Pharmakologie ], was zu einer verminderten Wirksamkeit oder Beginn eines Entzugssyndroms bei Patienten führt, die eine körperliche Abhängigkeit von Fentanyl entwickelt haben [siehe WARNUNGS AND VORSICHTSMASSNAHMEN ]. Nach dem Anhalten eines CYP3A4 -Induktors, wenn die Auswirkungen des Induktors die Fentanylplasmakonzentration abnehmen werden [siehe Klinische Pharmakologie ], die sowohl die therapeutischen Wirkungen als auch die Nebenwirkungen verlängern und verlängern und schwerwiegende Atemdepressionen verursachen können. |
| Intervention: | Wenn ein gleichzeitiger Einsatz erforderlich ist, erweitern Sie die Fentora -Dosierung, bis stabile Arzneimitteleffekte erreicht sind. Bewerten Sie Anzeichen eines Opioidentzugs. Wenn ein CYP3A4 -Induktor abgesetzt wird, berücksichtigen Sie die Fentora -Dosierungsreduktion und bewerten Sie Patienten in häufigen Intervallen auf Anzeichen einer Atemdepression und Sedierung. |
| Beispiele: | Rifampin Carbamazepin Phenytoin |
| Benzodiazepine und andere Zentralnervensysteme (ZNS) Depressiva | |
| Klinische Wirkung: | Aufgrund der additiven pharmakologischen Wirkung erhöht die gleichzeitige Verwendung von Benzodiazepinen oder anderen ZNS -Depressiva, einschließlich Alkohol, das Risiko einer tiefgreifenden Depression mit tiefem Sedation Coma und Tod. |
| Intervention: | Reserve gleichzeitig die Verschreibung dieser Arzneimittel zur Verwendung bei Patienten, für die alternative Behandlungsoptionen unzureichend sind. Beschränken Sie die Dosierungen und Dauer auf das erforderliche Mindestmindest. Informieren Sie die Patienten und Betreuer über diese potenzielle Interaktion und informieren Sie sie über die Anzeichen und Symptome einer Atemdepression (einschließlich Sedierung). Wenn ein gleichzeitiger Einsatz gerechtfertigt ist, sollten Sie Naloxon für die Notfallbehandlung der Opioidüberdosis verschreiben [siehe Dosierung und Verwaltung WARNUNGS AND VORSICHTSMASSNAHMEN ]. |
| Beispiele: | Benzodiazepine und andere Beruhigungsmittel/Hypnotika Anxiolytics Beruhigungsmittel Muskelrelaxantien Generalanästhetika Antipsychotika Andere Opioide Alkohol. |
| Serotonerge Medikamente | |
| Klinische Wirkung: | Die gleichzeitige Verwendung von Opioiden mit anderen Arzneimitteln, die das serotonerge Neurotransmittersystem beeinflussen, hat zu einem Serotonin -Syndrom geführt [siehe WARNUNGS AND VORSICHTSMASSNAHMEN ]. |
| Intervention: | Wenn ein gleichzeitiger Einsatz erforderlich ist, bewerten Sie den Patienten häufig insbesondere während der Behandlungsinitiierung und der Dosisanpassung. Fentora einstellen, wenn das Serotonin -Syndrom vermutet wird. |
| Beispiele: | Selective serotonin reuptake inhibitors (SSRIs) serotonin and norepinephrine reuptake inhibitors (SNRIs) tricyclic antidepressants (TCAs) triptans 5-HT3 receptor antagonists drugs that affect the serotonin neurotransmitter system (e.g. mirtazapine trazodone tramadol) certain muscle relaxants (i.e. Cyclobenzaprin -Metaxalon) -Monoaminoxidase (MAO) -Hemmer (diejenigen, die zur Behandlung von psychiatrischen Störungen und auch anderen Linezolid und intravenösem Methylenblau beabsichtigt sind). |
| Monoaminoxidase -Inhibitoren (Maois) | |
| Klinische Wirkung: | Maoi -Interaktionen mit Opioiden können sich als Serotonin -Syndrom manifestieren [siehe WARNUNGS AND VORSICHTSMASSNAHMEN ] oder Opioidtoxizität (z. B. Atemdepressionskoma) [siehe WARNUNGS AND VORSICHTSMASSNAHMEN ]. |
| Intervention: | Die Verwendung von Fentora wird nicht für Patienten empfohlen, die Maois oder innerhalb von 14 Tagen nach Beendigung einer solchen Behandlung einnehmen. |
| Beispiele: | Phenelzine Tranylcypromine Linezolid |
| Gemischter Agonisten/Antagonist und partieller Agonisten -Opioid -Analgetika | |
| Klinische Wirkung: | Kann die analgetische Wirkung von Fentora verringern und/oder die Entzugssymptome auslösen. |
| Intervention: | Vermeiden Sie die gleichzeitige Verwendung. |
| Beispiele: | Butorphanol Nalbuphine Pentazocin Buprenorphin |
| Muskelrelaxantien | |
| Klinische Wirkung: | Fentanyl kann die neuromuskuläre Blockierungswirkung von Relaxantien des Skelettmuskels verbessern und einen erhöhten Grad an Atemdepression erzeugen. |
| Intervention: | Weil die Atemdepression größer sein kann als sonst erwartet, verringern Sie die Dosierung von Fentora und/oder dem Muskelrelaxant bei Bedarf. Aufgrund des Risikos einer Atemdepression mit gleichzeitiger Verwendung von Relaxantien und Opioiden der Skelettmuskulatur in Betracht, Naloxon für die Notfallbehandlung von Opioidüberdosis zu verschreiben [siehe Dosierung und Verwaltung WARNUNGS AND VORSICHTSMASSNAHMEN ]. |
| Beispiele: | Cyclobenzaprin -Metaxalon |
| Diuretika | |
| Klinische Wirkung: | Opioide können die Wirksamkeit der Diuretika verringern, indem sie die Freisetzung von antidiuretisches Hormon induziert. |
| Intervention: | Bewerten Sie die Patienten auf Anzeichen einer verminderten Diurese und/oder auf den Blutdruck und erhöhen Sie die Dosierung des Diuretikums bei Bedarf. |
| Anticholinergika | |
| Klinische Wirkung: | Die gleichzeitige Anwendung von Anticholinergika kann das Risiko einer Harnretention und/oder schweren Verstopfung erhöhen, was zu einem lähmlichen Ileus führen kann. |
| Intervention: | Bewerten Sie die Patienten auf Anzeichen einer Harnretention oder verringerte Magenmotilität, wenn Fentora gleichzeitig mit Anticholinergen -Medikamenten verwendet wird. |
Drogenmissbrauch und Abhängigkeit
Kontrollierte Substanz
Mentor contains fentanyl a Schedule II controlled substance.
Missbrauch
Mentor contains fentanyl a substance with high potential foder misuse Und abuse which can lead to the development of substance use disoderder including addiction [see WARNUNGS AND VORSICHTSMASSNAHMEN ].
Missbrauch ist die absichtliche Verwendung für therapeutische Zwecke eines Arzneimittels durch eine Person in einer anderen Art und Weise, die von einem Gesundheitsdienstleister verschrieben wurde oder für den es nicht verschrieben wurde.
Missbrauch is the intentional non-therapeutic use of a drug even once foder its desirable psychological oder physiological effects.
Arzneimittelabhängigkeit ist eine Gruppe von kognitiven und physiologischen Phänomenen verhaltensbezogener, die den starken Wunsch beinhalten können, die Arzneimittelschwierigkeiten bei der Kontrolle der Drogenkonsum (z. B. fortdauernden Drogenkonsum, obwohl schädliche Konsequenzen eine höhere Priorität für den Drogenkonsum als andere Aktivitäten und Verpflichtungen) und eine mögliche Toleranz oder körperliche Abhängigkeit haben.
Missbrauch und Missbrauch von Fentora erhöht das Risiko einer Überdosierung, die zu Hypotonie -Anfällen und dem Tod von Atemdepressionen führen kann. Das Risiko wird mit gleichzeitiger Missbrauch von Fentora mit Alkohol und/oder anderen ZNS -Depressiva erhöht. Der Missbrauch und die Sucht von Opioiden bei einigen Personen wird möglicherweise nicht von gleichzeitiger Toleranz und Symptomen einer körperlichen Abhängigkeit begleitet. Zusätzlich kann der Missbrauch von Opioiden ohne Sucht auftreten.
Alle mit Opioiden behandelten Patienten erfordern eine sorgfältige und häufige Neubewertung für Anzeichen von Missbrauchsmissbrauch und Sucht, da die Verwendung von Opioidanalgetika -Produkten das Risiko einer Sucht selbst unter geeignetem medizinischem Gebrauch darstellt. Patienten mit hohem Risiko eines Fentora -Missbrauchs umfassen Personen mit einer längeren Verwendung von Opioid, einschließlich Produkten, die Fentanyl enthalten, diejenigen mit einer Vorgeschichte von Drogen- oder Alkoholmissbrauch oder solche, die Fentora in Kombination mit anderen missbrauchten Drogen verwenden.
Drogensuchverhalten ist bei Personen mit Substanzstörungen sehr häufig. Zu den medikamentensuchenden Taktiken gehören Notrufe oder Besuche gegen Ende der Bürozeiten, die sich verweigert, geeignete Prüfungstests oder eine wiederholte Überweisung zu unterziehen, die sich mit Rezepten und Zurückhaltung gegen Vorschriften oder Kontaktinformationen für andere behandelnde Gesundheitsdienstleistungen befassen. Arzteinkäufe (Besuch mehrerer Verschreiber, um zusätzliche Rezepte zu erhalten) ist bei Personen, die Drogen und Menschen mit Substanzstörungen missbrauchen, häufig. Die Beschäftigung mit einer angemessenen Schmerzlinderung kann bei einem Patienten mit unzureichender Schmerzkontrolle ein angemessenes Verhalten sein.
Mentor like other opioids can be diverted foder nonmedical use into illicit channels of distribution. Careful recoderd-keeping of prescribing infodermation including quantity frequency Und renewal requests as required by state Und federal law is strongly advised.
Eine ordnungsgemäße Bewertung des Patienten ordnungsgemäße Verschreibungspraktiken regelmäßige Neubewertung der Therapie und ordnungsgemäße Abgabe und Lagerung sind geeignete Maßnahmen, die dazu beitragen, den Missbrauch von Opioidmedikamenten zu begrenzen.
Risiken spezifisch für den Missbrauch von Fentora
Missbrauch of Mentor poses a risk of overdose Und death. The risk is increased with concurrent use of Mentor with alcohol Und/oder other CNS depressants.
Mentor is approved foder oderal transmucosal use only.
Abhängigkeit
Sowohl Toleranz als auch körperliche Abhängigkeit können sich während der Verwendung einer Opioid -Therapie entwickeln.
Toleranz ist ein physiologischer Zustand, der durch eine verringerte Reaktion auf ein Medikament nach wiederholten Arzneimitteln gekennzeichnet ist
Die physische Abhängigkeit ist ein Zustand, der sich aufgrund einer physiologischen Anpassung als Reaktion auf wiederholte Drogenkonsum entwickelt, die sich nach abrupten Absetzen oder einer signifikanten Dosisreduktion eines Arzneimittels durch Entzugszeichen und Symptome manifestiert.
Der Entzug kann durch die Verabreichung von Arzneimitteln mit Opioidantagonistenaktivität (z. B. Naloxon) gemischter Agonisten/Antagonisten -Analgetika (z. B. Pentazocin -Butorphanol -Nalbuphin) oder partielle Agonisten (z. B. Buprenorphin) ausgefällt werden. Die physische Abhängigkeit kann bis nach mehreren Tagen bis Wochen bis Wochen der fortgesetzten Verwendung in einem klinisch signifikanten Maße nicht auftreten.
Säuglinge, die von Müttern körperlich von Opioiden geboren wurden Verwendung in bestimmten Populationen ].
Warnungen für Mentoring
Eingeschlossen als Teil der VORSICHTSMASSNAHMEN Abschnitt.
Vorsichtsmaßnahmen für Fentora
Suchtmissbrauch und Missbrauch
Mentor contains fentanyl a Schedule II controlled substance. As an opioid Mentor exposes users to the risks of addiction abuse Und misuse [see Drogenmissbrauch und Abhängigkeit ].
Obwohl das Risiko einer Sucht in einer Person unbekannt ist, kann es bei Patienten auftreten, die Fentora angemessen verschrieben haben. Sucht kann bei empfohlenen Dosierungen auftreten und wenn das Medikament missbraucht oder missbraucht wird.
Bewerten Sie das Risiko jedes Patienten für Missbrauch oder Missbrauch von Opioiden, bevor Sie Fentora verschreiben und alle Patienten neu bewerten, die Fentora für die Entwicklung dieser Verhaltensweisen und Bedingungen erhalten. Die Risiken sind bei Patienten mit einer persönlichen oder familiären Vorgeschichte von Drogenmissbrauch (einschließlich Drogen- oder Alkoholmissbrauch oder Sucht) oder psychischen Erkrankungen (z. B. Major Depression) erhöht. Das Potenzial für diese Risiken sollte jedoch nicht die ordnungsgemäße Behandlung von Schmerzen bei einem bestimmten Patienten verhindern. Patienten mit erhöhtem Risiko können Opioide wie Fentora verschrieben werden, aber die Verwendung bei solchen Patienten erfordert eine intensive Beratung über die Risiken und die ordnungsgemäße Verwendung von Fentora sowie eine häufige Neubewertung für Anzeichen von Missbrauch und Missbrauch von Sucht. Erwägen Sie, Naloxon für die Notfallbehandlung von Opioidüberdosierung zu verschreiben [siehe Dosierung und Verwaltung WARNUNGS AND VORSICHTSMASSNAHMEN ].
Opioide werden für nicht medizinische Verwendung gesucht und unterliegen einer Ablenkung von der legitimen vorgeschriebenen Verwendung. Berücksichtigen Sie diese Risiken, wenn Sie Fentora verschreiben oder verzichten. Zu den Strategien zur Verringerung dieser Risiken gehört die Verschreibung des Arzneimittels in die kleinste angemessene Menge und die Beratung des Patienten über die sorgfältige Lagerung des Arzneimittels im Verlauf der Behandlung und die ordnungsgemäße Entsorgung von nicht verwendeten Arzneimitteln. Wenden Sie sich an die örtliche staatliche professionelle Lizenzbehörde oder die staatlich kontrollierte Substanzenbehörde, um Informationen zur Verhinderung und Erkennung von Missbrauch oder Ablenkung dieses Produkts zu verhindern und zu erkennen.
Lebensbedrohliche Atemdepression
Eine schwerwiegende lebensbedrohliche oder tödliche Atemdepression wurde unter Verwendung von Opioiden auch bei der Verwendung wie empfohlen berichtet. Atemdepression, wenn sie nicht sofort erkannt und behandelt wird, kann zu einer Verhaftung und dem Tod der Atemwege führen. Das Management von Atemdepressionen kann in Abhängigkeit vom klinischen Status des Patienten eine enge Beobachtungsunterstützungsmaßnahmen und die Verwendung von Opioidantagonisten umfassen [siehe Überdosierung ]. Carbon dioxide (CO2) retention from opioid-induced respiratodery depression can exacerbate the sedating effects of opioids.
Während eine schwerwiegende lebensbedrohliche oder tödliche Atemdepression zu jeder Zeit während der Verwendung von Fentora auftreten kann, ist das Risiko während der Einleitung einer Therapie am größten oder nach einer Dosierungserhöhung am größten.
Das Risiko einer ordnungsgemäßen Dosierung der Atemdepression zu verringern und die Titration von Fentora zu verringern [siehe Dosierung und Verwaltung ]. Overestimating the Mentor dosage can result in a fatal overdose with the first dose. The substitution of Mentor foder any other fentanyl product may result in fatal overdose [see WARNUNGS AND VORSICHTSMASSNAHMEN ].
Mentor could be fatal to individuals foder whom it is not prescribed Und foder those who are not opioid-tolerant.
Zufällige Einnahme von selbst einer Dosis Fentora, insbesondere durch Kinder, kann zu einer Atemdepression und dem Tod aufgrund einer Überdosis Fentanyl führen [siehe WARNUNGS AND VORSICHTSMASSNAHMEN ].
Schulung von Patienten und Betreuern über die Erkennung von Atemdepressionen und betonen Sie die Bedeutung des Rufens von 911 oder zur Aufnahme von Notfallhilfe im Falle einer bekannten oder mutmaßlichen Überdosis.
Opioide können schlafbedingte Atemstörungen einschließlich zentraler Schlafapnoe (CSA) und schlafbedingter Hypoxämie verursachen. Die Verwendung von Opioid erhöht das Risiko von CSA in dosisabhängiger Weise. Bei Patienten, die mit CSA präsentieren Dosierung und Verwaltung ].
Patientenzugang zu Naloxon für die Notfallbehandlung von Opioidüberdosis
Besprechen Sie die Verfügbarkeit von Naloxon für die Notfallbehandlung von Opioid -Überdosierung mit dem Patienten und der Pflegekraft und bewerten Sie den potenziellen Bedarf an Zugang zu Naloxon sowohl bei der Initiierung als auch bei der Erneuerung der Behandlung mit Fentora. Informieren Sie Patienten und Betreuer über die verschiedenen Möglichkeiten, Naloxon zu erhalten, wie dies durch die individuelle staatliche Naloxonabgabe und Verschreibung von Anforderungen oder Richtlinien zulässig ist (z. B. durch Verschreibung direkt von einem Apotheker oder als Teil eines gemeindenahen Programms). Schulung von Patienten und Betreuern darüber, wie die Atemdepression erfasst und die Bedeutung der Rufnotierung von 911 oder zur Erlangung von Notfallhilfe betonen kann, auch wenn Naloxon verabreicht wird.
Erwägen Sie, Naloxon zu verschreiben, basierend auf den Risikofaktoren des Patienten für Überdosierungen wie der gleichzeitigen Verwendung von ZNS -Depressiva eine Vorgeschichte von Opioidkonsumstörungen oder früherer Opioidüberdosis. Das Vorhandensein von Risikofaktoren für eine Überdosierung sollte die ordnungsgemäße Behandlung von Schmerzen bei einem bestimmten Patienten nicht verhindern. Erwägen Sie auch, Naloxon zu verschreiben, wenn der Patient Haushaltsmitglieder (einschließlich Kinder) oder andere enge Kontakte mit einem zufälligen Aufnahme oder Überdosis hat. Wenn Naloxon verschrieben wird, bildeten Patienten und Pflegekräfte zur Behandlung mit Naloxon [siehe Dosierung und Verwaltung WARNUNGS AND VORSICHTSMASSNAHMEN Überdosierung ].
Erhöhtes Risiko einer Überdosierung bei Kindern aufgrund von zufälliger Einnahme oder Exposition
Bei Kindern, die versehentlich transmukosale unmittelbare Fentanylprodukte aufgenommen haben, wurde der Tod gemeldet.
Patienten und ihre Pflegekräfte müssen darüber informiert werden, dass Fentora ein Medikament in einer Menge enthält, die für ein Kind tödlich sein kann. Gesundheitsdienstleister und Abgabe von Apothekern müssen Patienten oder Betreuer spezifisch über das Vorhandensein von Kindern im Haushalt (in Vollzeit- oder Besuchsbasis) befragen und sie über die Gefahren für Kinder bei der unablässigen Exposition beraten.
Patienten und ihre Pflegekräfte müssen angewiesen werden, sowohl gebrauchte als auch ungenutzte Dosierungseinheiten außerhalb der Reichweite der Kinder zu halten. Während alle Einheiten unmittelbar nach der Verwendung teilweise konsumierte Einheiten entsorgt werden sollten, stellen Einheiten ein besonderes Risiko für Kinder dar. Für den Fall, dass eine Einheit nicht vollständig konsumiert wird, muss sie so bald wie möglich ordnungsgemäß entsorgt werden.
Detaillierte Anweisungen für die ordnungsgemäße Entsorgung der Speicherverwaltung und wichtige Anweisungen zur Verwaltung einer Überdosis von Fentora finden Sie im Fentora Medication Guide. Ermutigen Sie die Patienten, diese Informationen vollständig zu lesen und ihnen die Möglichkeit zu geben, ihre Fragen zu beantworten.
Risiken aus gleichzeitiger Verwendung mit Benzodiazepinen oder anderen ZNS -Depressiva (einschließlich Alkohol)
Eine tiefgreifende Sedation Atemdepression Coma und Tod können aus der gleichzeitigen Verwendung von Fentora mit Benzodiazepinen und/oder anderen ZNS -Depressiva einschließlich Alkohol (z. Aufgrund dieser Risiken reserve die damit verbundene Verschreibung dieser Arzneimittel für die Verwendung bei Patienten, für die alternative Behandlungsoptionen unzureichend sind.
Beobachtungsstudien haben gezeigt, dass die gleichzeitige Verwendung von Opioidanalgetika und Benzodiazepinen das Risiko einer medikamentenbedingten Mortalität im Vergleich zur Verwendung von Opioidanalgetika erhöht. Aufgrund ähnlicher pharmakologischer Eigenschaften ist es vernünftig, ein ähnliches Risiko bei der gleichzeitigen Verwendung anderer ZNS -Depressiva mit Opioidanalgetika zu erwarten [siehe Wechselwirkungen mit Arzneimitteln ].
Wenn die Entscheidung getroffen wird, ein Benzodiazepin oder ein anderes ZNS -Depressivum gleichzeitig mit einem Opioidanalgetikum zu verschreiben, verschreiben Sie die niedrigsten wirksamen Dosierungen und Mindestdauer der gleichzeitigen Verwendung. Bei Patienten, die bereits eine Opioidanalgetika erhalten, verschreiben eine niedrigere Anfangsdosis des Benzodiazepins oder eines anderen ZNS -Depressivums als in Abwesenheit eines Opioids und Titrats anhand des klinischen Ansprechens angegeben. Wenn ein Opioid -Analgetikum bei einem Patienten initiiert wird, der bereits ein Benzodiazepin oder andere ZNS -Depression einnimmt, verschreiben eine niedrigere Anfangsdosis des Opioid -Analgetikums und der Titrats basierend auf der klinischen Reaktion. Informieren Sie die Patienten und Betreuer über diese potenzielle Interaktion und informieren Sie sie über die Anzeichen und Symptome einer Atemdepression (einschließlich Sedierung).
Wenn ein gleichzeitiger Einsatz gerechtfertigt ist, sollten Sie Naloxon für die Notfallbehandlung der Opioidüberdosis verschreiben [siehe Dosierung und Verwaltung WARNUNGS AND VORSICHTSMASSNAHMEN ].
Beraten Sie sowohl Patienten als auch Pflegepersonen über das Risiko einer Atemdepression und Sedierung, wenn Fentora mit Benzodiazepinen oder anderen ZNS -Depressiva (einschließlich Alkohol und illegalen Drogen) verwendet wird. Raten Sie den Patienten, schwere Maschinen zu fahren oder zu betreiben, bis die Auswirkungen der gleichzeitigen Verwendung des Benzodiazepins oder eines anderen ZNS -Depressivums bestimmt wurden. Screenpatienten auf das Risiko von Störungen des Substanzkonsums wie Opioidmissbrauch und Missbrauch und Warnen vor dem Risiko für Überdosierung und Tod im Zusammenhang mit der Verwendung zusätzlicher ZNS -Depressiva einschließlich Alkohol und illegalen Drogen [siehe Wechselwirkungen mit Arzneimitteln ].
Risiko von Medikationsfehlern
Bei der Verschreibung wandeln Sie einen Patienten nicht in Fentora aus einem anderen Fentanylprodukt auf MCG pro MCG -Basis als Fentora und andere Fentanylprodukte nicht äquivalent auf einem Mikrogramm pro Mikrogramm.
Mentor is not a generic version of other transmucosal immediate release fentanyl (TIRF) fodermulations. When dispensing do not substitute a Mentor prescription foder any other TIRF fodermulation under any circumstances. Other TIRF fodermulations Und Mentor are not equivalent. Substantial differences exist in the pharmacokinetic profile of Mentor compared to other fentanyl products including other TIRF fodermulations that result in clinically impodertant differences in the rate Und extent of absoderption of fentanyl. As a result of these differences the substitution of Mentor foder any other fentanyl product may result in a fatal overdose.
Es gibt keine sicheren Umrechnungsanweisungen für Patienten in anderen Fentanylprodukten mit Ausnahme von Actiq. (Hinweis: Dies beinhaltet orale transdermale oder parenterale Formulierungen von Fentanyl.) [Siehe Dosierung und Verwaltung ]. Therefodere foder opioid-tolerant patients the initial dose of Mentor should always be 100 mcg. Individually titrate each patient’s dose to provide adequate analgesia while minimizing side effects [see Dosierung und Verwaltung ].
Risiken einer gleichzeitigen Verwendung oder Abnahme von Cytochrom P450 3A4 -Inhibitoren und -induktoren
Gleichzeitige Verwendung von Fentora mit einem CYP3A4-Inhibitor wie Macrolid-Antibiotika (z. B. Erythromycin) Azol-Antifungalentzündungen (z. B. Ketoconazol) und Protease-Inhibitoren (z. B. Ritonavir) können die Plasmakonzentrationen der Fentanyl-Hemmer und die Verlängerung von Fentanyleinhibitoren erhöhen, und die ad. WARNUNGS AND VORSICHTSMASSNAHMEN ] insbesondere wenn ein Inhibitor hinzugefügt wird, nachdem eine stabile Dosis Fentora erreicht ist. In ähnlicher Weise kann ein CYP3A4-Induktor wie Rifampin-Carbamazepin und Phenytoin bei mit Fentora behandelten Patienten die Fentanylplasmakonzentrationen erhöhen und unerwünschte Reaktionen von Opioid verlängern. Bei der Verwendung von Fentora mit CYP3A4-Inhibitoren oder beim Absetzen von CYP3A4-Induktoren bei mit Fentora behandelten Patienten bewerten Patienten in häufig Wechselwirkungen mit Arzneimitteln ].
Die gleichzeitige Verwendung von Fentora mit CYP3A4 -Induktoren oder das Absetzen eines CYP3A4 -Inhibitors könnte die Fentanylplasmakonzentrationen verringern, die die Opioidwirksamkeit verringern oder möglicherweise zu einem Entzugssyndrom bei einem Patienten führen, das physikalische Abhängigkeit von Fentanyl entwickelt hatte. Bei der Verwendung von Fentora mit CYP3A4 -Induktoren oder dem Absetzen von CYP3A4 Wechselwirkungen mit Arzneimitteln ].
Transmukosal Sofortige Freisetzung Fentanyl (TIRF) Risikobewertung und Minderungsstrategie (REMS)
Aufgrund des Risikos für versehentliche Expositionsmissbrauchsabhängigkeit und Überdosierung [siehe WARNUNGS AND VORSICHTSMASSNAHMEN Drogenmissbrauch und Abhängigkeit ] Fentora ist nur über ein eingeschränktes Programm namens TIRF REMS erhältlich. Im Rahmen der TIRF REMS Healthcare -Fachkräfte, die ambulante Patienten verschreiben, müssen sich die ambulanten Patienten und Apotheken für das Programm anmelden.
Bemerkenswerte Anforderungen der TIRF REMs sind:
- Verschreiber für die ambulante Verwendung müssen mit dem REMS -Programm durch Anmeldung und Abschluss der Schulungen zertifiziert werden. Die Verschreiber müssen die Opioid -Toleranz bei jedem Fentora -Rezept dokumentieren.
- Ambulante Patienten müssen im REMS-Programm eingeschrieben sein und opioid-tolerant sein, um Fentora zu erhalten [siehe Dosierung und Verwaltung ].
- Ambulante Apotheken müssen mit dem REMS -Programm zertifiziert werden und die Dokumentation der Opioid -Toleranz mit jedem Fentora -Rezept überprüfen.
- Stationäre Apotheken müssen mit dem REMS -Programm zertifiziert werden und Richtlinien und Verfahren entwickeln, um die Opioid -Toleranz bei stationären Patienten zu überprüfen, die Fentora während des Krankenhauss benötigen.
- Großhändler und Distributoren müssen sich für das REMS -Programm anmelden und nur an zertifizierte Apotheken verteilen.
Weitere Informationen, einschließlich einer Liste zertifizierter Apotheken und eingeschriebener Händler, finden Sie unter www.tirfremsaccess.com oder telefonisch unter 1-866-822-1483.
Neugeborenen -Opioid -Entzugssyndrom
Die Verwendung von Fentora über einen längeren Zeitraum während der Schwangerschaft kann zum Entzug des Neugeborenen führen. Das Neugeborenen-Opioid-Entzug-Syndrom im Gegensatz zum Opioid-Entzug-Syndrom bei Erwachsenen kann lebensbedrohlich, wenn nicht anerkannt und behandelt werden und erfordert das Management gemäß Protokollen, die von Experten von Neonatologie entwickelt wurden. Beobachten Sie Neugeborene für Anzeichen eines Neugeborenen -Opioid -Entzugssyndroms und verwalten Sie entsprechend. Beraten Sie schwangere Frauen, die Opioide über einen längeren Zeitraum des Risikos eines Opioidentzugs -Syndroms für Neugeborene verwenden, und stellen Sie sicher, dass eine angemessene Behandlung verfügbar ist [siehe Verwendung in bestimmten Populationen ].
Opioid-induzierte Hyperalgesie und Allodynie
Opioid-induzierte Hyperalgesie (OIH) tritt auf, wenn ein opioid-analgetisches paradoxerweise eine Erhöhung der Schmerzen oder eine Zunahme der Empfindlichkeit gegenüber Schmerz verursacht. Dieser Zustand unterscheidet sich von Toleranz, was die Notwendigkeit einer Erhöhung der Opioidedosen ist, um einen definierten Effekt aufrechtzuerhalten [siehe Abhängigkeit ]. Symptoms of OIH include (but may not be limited to) increased levels of pain upon opioid dosage increase decreased levels of pain upon opioid dosage decrease oder pain from oderdinarily non-painful stimuli (allodynia). These symptoms may suggest OIH only if there is no evidence of underlying disease progression opioid tolerance opioid withdrawal oder addictive behavioder.
Fälle von OIH wurden sowohl mit kurzfristiger als auch mit längerfristiger Verwendung von Opioidanalgetika gemeldet. Obwohl der Mechanismus von OIH nicht vollständig verstanden wird, wurden mehrere biochemische Wege beteiligt. Die medizinische Literatur deutet auf eine starke biologische Plausibilität zwischen Opioidanalgetika und OIH und Allodynie hin. Wenn vermutet wird, dass ein Patient eine angemessene Verringerung der Dosis des aktuellen Opioid -Analgetikums oder der Opioidrotation (sicher schalten Sie den Patienten sicher auf eine andere Opioideinheit) angemessen ab Dosierung und Verwaltung ].
Serotonin -Syndrom mit gleichzeitiger Verwendung von Serotonergen Medikamenten
Fälle des Serotonin-Syndroms Eine potenziell lebensbedrohliche Erkrankung wurde während der gleichzeitigen Verwendung von Fentora mit serotonergen Arzneimitteln berichtet. Serotonerge Arzneimittel umfassen selektive Serotonin-Wiederaufnahmehemmer (SSRIs) Serotonin und Noradrenphrin-Wiederaufnahmehemmer (SNRIS) tricyclische Antidepressiva (TCAS) Triptans 5-HT3-Rezeptor-Antagonisten, die das musklochn-muskodonergische Neurotransmitter-System der Serotonergen-Nervenmittel (ze. (d.h. Wechselwirkungen mit Arzneimitteln ]. This may occur within the recommended dosage range.
Die Symptome des Serotonin -Syndroms können mentale Statusveränderungen (z. B. Agitation Halluzinationen Coma) umfassen, autonomische Instabilität (z. B. Tachykardie labile Blutdruckhyperthermie) neuromuskuläre Aberrationen (z. B. Hyperreflexie -Inkoordinationsteifigkeit) und/oder gastrointestinale Symptome (E.G. -Hyperreflexie -Ersatz -Diagrin. Das Beginn der Symptome tritt im Allgemeinen innerhalb von mehreren Stunden bis zu einigen Tagen nach gleichzeitiger Verwendung auf, kann jedoch später auftreten. Fentora einstellen, wenn das Serotonin -Syndrom vermutet wird.
Lebensbedrohliche Atemdepression In Patienten mit chronischer Lungenerkrankung Or In Ältere kachektische oder geschwächte Patienten
Die Verwendung von Fentora bei Patienten mit akutem oder schwerem Asthma aus Bronchial in einer nicht überwachten Umgebung oder in Abwesenheit von Wiederbelebungsgeräten ist kontraindiziert.
Patienten mit chronischer Lungenerkrankung
Mentor-treated patients with significant chronic obstructive pulmonary disease oder coder pulmonale Und those with a substantially decreased respiratodery reserve hypoxia hypercapnia oder pre-existing respiratodery depression are at increased risk of decreased respiratodery drive including apnea even at recommended dosages of Mentor [see WARNUNGS AND VORSICHTSMASSNAHMEN ].
Ältere kachektische oder geschwächte Patienten
Es ist wahrscheinlicher, dass lebensbedrohliche Atemdepression bei älteren kachektischen oder geschwächten Patienten auftritt WARNUNGS AND VORSICHTSMASSNAHMEN ].
Bewerten Sie regelmäßig Patienten, insbesondere beim Initiieren und Titrieren von Fentora und wenn Fentora gleichzeitig mit anderen Medikamenten verabreicht wird, die die Atmung bedrängen [siehe WARNUNGS AND VORSICHTSMASSNAHMEN Wechselwirkungen mit Arzneimitteln ]. Alternatively consider the use of non-opioid analgesics in these patients.
Nebenniereninsuffizienz
Es wurden Fälle von Nebenniereninsuffizienz bei Opioidkonsum nach mehr als einem Monat der Verwendung berichtet. Presentation of adrenal insufficiency may include non-specific symptoms Und signs including Brechreiz Erbrechen anoderexia fatigue Schwäche Schwindel Und Niedriger Blutdruck . If adrenal insufficiency is suspected confirm the diagnosis with diagnostic testing as soon as possible. If adrenal insufficiency is diagnosed treat with physiologic replacement doses of coderticosteroids. Wean the patient off of the opioid to allow adrenal function to recover Und continue coderticosteroid treatment until adrenal function recovers. Other opioids may be tried as some cases repoderted use of a different opioid without recurrence of adrenal insufficiency. The infodermation available does not identify any particular opioids as being modere likely to be associated with adrenal insufficiency.
Schwere Hypotonie
Mentor may cause severe hypotension including oderthostatic hypotension Und syncope in ambulatodery patients. There is increased risk in patients whose ability to maintain blood pressure has already been compromised by a reduced blood volume oder concurrent administration of certain CNS depressant drugs (e.g. phenothiazines oder general anesthetics) [see Wechselwirkungen mit Arzneimitteln ]. Regularly evaluate these patients foder signs of hypotension after initiating oder titrating the dosage of Mentor. In patients with circulatodery shock Mentor may cause vasodilation that can further reduce cardiac output Und blood pressure. Avoid the use of Mentor in patients with circulatodery shock.
Gebrauchsrisiken bei Patienten mit erhöhtem Intrakranialdruck Hirntumoren Kopfverletzung oder Beeinträchtigung des Bewusstseins
Bei Patienten, die möglicherweise für die intrakraniellen Wirkungen der CO2 -Retention (z. B. mit Anzeichen eines erhöhten intrakraniellen Drucks oder Hirntumoren) anfällig sind, können Fentora respiratorischen Antrieb verringern, und die resultierende CO2 -Retention kann den Intrakranialdruck weiter erhöhen. Überwachen Sie solche Patienten auf Anzeichen von Sedierung und Atemdepression, insbesondere bei der Initiierung der Therapie mit Fentora.
Opioide können den klinischen Verlauf eines Patienten mit Kopfverletzung auch verdecken. Vermeiden Sie die Verwendung von Fentora bei Patienten mit beeinträchtigten Bewusstsein oder Koma.
Gebrauchsrisiken bei Patienten mit Magen -Darm -Erkrankungen
Mentor is contraindicated in patients with known oder suspected gastrointestinal obstruction including paralytic ileus.
Das Fentanyl in Fentora kann den Schließmuskel von Oddi verursachen. Opioide können zu Erhöhungen der Serumamylase führen. Bewerten Sie regelmäßig Patienten mit Gallenstrakterkrankungen, einschließlich einer akuten Pankreatitis bei Verschlechterung von Symptomen.
Erhöhtes Risiko für Anfälle bei Patienten mit Anfallserkrankungen
Das Fentanyl in Fentora kann die Häufigkeit von Anfällen bei Patienten mit Anfallserkrankungen erhöhen und das Risiko von Anfällen erhöhen, die in anderen mit Anfällen verbundenen klinischen Umgebungen auftreten. Bewerten Sie regelmäßig Patienten mit Anfällen von Anfallserkrankungen zur verschlechterten Beschlagnahmungskontrolle während der Fentora -Therapie.
Risiken des Fahr- und Betriebsmaschinens
Mentor may impair the mental oder physical abilities needed to perfoderm potentially hazardous activities such as driving a car oder operating machinery. Warn patients not to drive oder operate dangerous machinery unless they are tolerant to the effects of Mentor Und know how they will react to the medication.
Herzerkrankungen
Intravenöses Fentanyl kann Bradykardie produzieren. Verwenden Sie daher Fentora mit Vorsicht bei Patienten mit Bradyarrhythmien.
Reaktionen für Anwendungsstellen
Bei 10% der Patienten in klinischen Studien traten die Reaktionen zur Anwendungsstelle auf und reichten von Parästhesie bis hin zu Geschwüren und Blutungen [siehe Nebenwirkungen ].
Patientenberatungsinformationen
Raten Sie dem Patienten, die von der FDA zugelassene Patientenkennzeichnung (Medikamentenhandbuch) zu lesen.
Lagerung und Entsorgung von nicht verwendeten und gebrauchten Fentora [siehe Medikamentenhandbuch / Instructions Foder Use ].
Aufgrund der Risiken, die mit versehentlicher Einnahme im Zusammenhang mit Missbrauch und Missbrauch verbunden sind, raten Sie den Patienten, Fentora sicher außer Sichtweite und Reichweite von Kindern und an einem Ort aufzubewahren, der von anderen nicht zugänglich ist, einschließlich Besuchern zu Hause. Informieren die Patienten, dass die Versicherung von Fentora ein tödliches Risiko für andere im Haushalt darstellen kann [siehe WARNUNGS AND VORSICHTSMASSNAHMEN Drogenmissbrauch und Abhängigkeit ].
Beraten Sie Patienten und Betreuer, dass Medikamente, die nicht mehr benötigt werden, unverzüglich entsorgt werden sollten. Abgelaufene unerwünschte oder nicht verwendete Fentora sollten entsorgt werden, indem Fentora aus den Blasenkarten entfernt und die nicht verwendeten Medikamente in der Toilette gespült werden (wenn eine Option für die Einnahme von Drogen nicht leicht verfügbar ist). Spülen Sie die Fentora -Blasenpakete oder Kartons nicht die Toilette hinunter. Informieren Sie die Patienten, dass sie www.fda.gov/drugdisposal besuchen können, um eine vollständige Liste von Medikamenten zu erhalten, die durch Spülen sowie zusätzliche Informationen zur Entsorgung ungenutzter Arzneimittel zur Entsorgung empfohlen werden.
Entsorgung ungeöffneter Fentora -Blisterpakete, wenn nicht mehr benötigt wird:
- Detaillierte Anweisungen für die ordnungsgemäße Entsorgung der Speicherverwaltung und wichtige Anweisungen zur Verwaltung einer Überdosis von Fentora finden Sie im Fentora Medication Guide. Weisen Sie die Patienten an, diese Informationen vollständig zu lesen und die Möglichkeit zu geben, ihre Fragen zu beantworten.
- Für den Fall, dass eine Pflegekraft zusätzliche Unterstützung bei der Entsorgung von überschüssigen, unbrauchbaren Tabletten erfordert, die nach Ablauf eines Patienten abgelaufen sind, die gebührenfreie Nummer (1-888-483-8279) angewiesen zu haben, die Teva Pharmaceuticals zu rufen oder Unterstützung bei ihrem örtlichen DEA-Büro zu erhalten.
Suchtmissbrauch und Missbrauch
Informieren Sie die Patienten, dass die Verwendung von Fentora auch bei der Empfehlung zu Missbrauch und Missbrauch von Sucht führen kann, was zu Überdosierung und Tod führen kann [siehe WARNUNGS AND VORSICHTSMASSNAHMEN ]. Instruct patients not to share Mentor with others Und to take steps to protect Mentor from theft oder misuse.
Lebensbedrohliche Atemdepression
Informieren Sie die Patienten über das Risiko einer lebensbedrohlichen Atemdepression, einschließlich Informationen, dass das Risiko am größten beim Starten von Fentora oder wenn die Dosierung erhöht wird und dass es auch bei empfohlenen Dosierungen auftreten kann.
Schulung von Patienten und Betreuern darüber, wie die Atemdepression erfasst und die Bedeutung des Rufens von 911 oder die Erlangung von Notfallhilfe im Falle einer bekannten oder mutmaßlichen Überdosis hervorgehoben werden kann [siehe WARNUNGS AND VORSICHTSMASSNAHMEN ].
Zufällige Einnahme
- Gesundheitsdienstleister und Abgabe von Apothekern müssen Patienten oder Betreuer spezifisch über das Vorhandensein von Kindern im Haushalt (auf Vollzeit- oder Besuchsbasis) befragen und sie über die Gefahren für Kinder vor versehentlichen Exposition beraten [siehe WARNUNGS AND VORSICHTSMASSNAHMEN ].
- Informieren die Patienten, dass eine zufällige Einnahme insbesondere durch Kinder zu einer Atemdepression oder zu Tod führen kann [siehe WARNUNGS AND VORSICHTSMASSNAHMEN ].
- Weisen Sie die Patienten an, Schritte zu unternehmen, um Fentora sicher zu speichern und ungenutzte Fentora zu entsorgen [siehe Dosierung und Verwaltung WARNUNGS AND VORSICHTSMASSNAHMEN ].
- Weisen Sie die Patienten und Pflegekräfte an, sowohl gebrauchte als auch ungenutzte Fentora außerhalb der Reichweite von Kindern zu halten [siehe WARNUNGS AND VORSICHTSMASSNAHMEN ].
Wechselwirkungen mit Benzodiazepinen und anderen ZNS -Depressiva (einschließlich Alkohol)
Informieren Sie die Patienten, dass möglicherweise tödliche additive Effekte auftreten können, wenn Fentora mit Benzodiazepinen oder anderen ZNS -Depressiva einschließlich Alkohol verwendet wird und diese nicht gleichzeitig verwendet werden, es sei denn WARNUNGS AND VORSICHTSMASSNAHMEN Wechselwirkungen mit Arzneimitteln ].
Patientenzugang zu Naloxon für die Notfallbehandlung von Opioidüberdosis
Besprechen Sie mit dem Patienten und der Pflegekraft die Verfügbarkeit von Naloxon für die Notfallbehandlung von Opioidüberdosis sowohl bei der Initiierung als auch bei der Erneuerung der Behandlung mit Fentora. Informieren Sie Patienten und Pflegekräfte über die verschiedenen Möglichkeiten, Naloxon zu erhalten, wie durch einzelne staatliche Naloxonabgabe- und Verschreibungsanforderungen oder -richtlinien (z. B. durch Verschreibung direkt von einem Apotheker oder als Teil eines gemeindenahen Programms) [siehe Dosierung und Verwaltung WARNUNGS AND VORSICHTSMASSNAHMEN ].
Schulung von Patienten und Betreuern darüber, wie man die Anzeichen und Symptome einer Überdosierung erkennt.
Erklären Sie Patienten und Betreuern, dass die Auswirkungen von Naloxon vorübergehend sind und dass sie in allen Fällen von bekannten oder vermuteten Opioidüberdosierungen sofort 911 anrufen oder eine medizinische Notfallhilfe erhalten müssen, selbst wenn Naloxon verabreicht wird [siehe Überdosierung ].
Wenn Naloxon verschrieben wird, rät es auch Patienten und Pflegepersonen:
- Wie man mit Naloxon im Falle einer Opioidüberdosis behandelt
- Familie und Freunde von ihrem Naloxone erzählen und an einem Ort, an dem Familie und Freunde im Notfall zugreifen können
- Lesen der Patienteninformationen (oder anderer Bildungsmaterial), die mit ihrem Naloxon verbunden sind. Betonen Sie, wie wichtig es ist, dies vor einem Opioid -Notfall zu tun, damit der Patient und die Pflegekraft wissen, was zu tun ist.
Transmukosale Sofortige Fentanyl (TIRF) REMs
Mentor is available only through a restricted program called the Transmucosal Immediate Release Fentanyl (TIRF) REMS [see WARNUNGS AND VORSICHTSMASSNAHMEN ]. Infoderm the patient of the following notable requirements:
- Ambulante Patienten müssen im REMS -Programm eingeschrieben sein
- Patienten müssen opioid-tolerant sein, um Fentora zu erhalten
Mentor is available only from certified pharmacies participating in this program. Therefodere provide patients with the telephone number Und website foder infodermation on how to obtain the product.
Apotheken ambulanten Patienten und Angehörigen der Gesundheitsberufe, die ambulante Patienten verschreiben, müssen sich für das Programm anmelden. Stationäre Apotheken müssen Richtlinien und Verfahren entwickeln WARNUNGS AND VORSICHTSMASSNAHMEN ].
Hyperalgesie und Allodynie
Informieren Sie Patienten und Betreuer, um die Opioiddosis nicht zu erhöhen, ohne zuerst einen Kliniker zu konsultieren. Raten Sie den Patienten, medizinische Hilfe zu suchen, wenn sie Symptome einer Hyperalgesie aufweisen, einschließlich einer Verschlechterung der Schmerzen erhöhte Empfindlichkeit für Schmerzen oder neue Schmerzen [siehe WARNUNGS AND VORSICHTSMASSNAHMEN Nebenwirkungen ].
Serotons Syndrom
Informieren Sie die Patienten, dass Opioide einen seltenen, aber potenziell lebensbedrohlichen Zustand verursachen könnten, der als Serotonin-Syndrom bezeichnet wird, der sich aus einer gleichzeitigen Verabreichung von Serotonergen Medikamenten ergibt. Warnen Sie die Patienten vor den Symptomen des Serotonin -Syndroms und um sofort medizinische Hilfe zu suchen, wenn sich die Symptome entwickeln. Weisen Sie die Patienten an, ihre Gesundheitsdienstleister zu informieren, wenn sie serotonerge Medikamente einnehmen oder planen [siehe WARNUNGS AND VORSICHTSMASSNAHMEN Wechselwirkungen mit Arzneimitteln ].
Maoi -Interaktion
Informieren Sie die Patienten, um Fentora zu vermeiden, während Sie Medikamente verwenden, die die Monoaminoxidase hemmen. Patienten sollten bei der Einnahme von Fentora nicht mit Maois beginnen [siehe WARNUNGS AND VORSICHTSMASSNAHMEN Wechselwirkungen mit Arzneimitteln ].
Wichtige Anweisungen der Verwaltung [siehe Dosierung und Verwaltung ]
- Weisen Sie die Patienten an, Fentora nicht für akute Schmerzen postoperative Schmerzen durch Verletzungen Kopfschmerz Migräne oder andere kurzfristige Schmerzen zu nehmen, selbst wenn sie andere Opioidanalgetika für diese Erkrankungen genommen haben.
- Weisen Sie die Patienten über die Bedeutung einer Opioid-Toleranz an und diese Fentora soll nur als ergänzendes Schmerzmittel für Patienten mit Schmerzen verwendet werden, die rund um die Uhr Opioide benötigen, die Toleranz gegenüber dem Opioidmedikament entwickelt haben und die zusätzliche Opioidbehandlung von Durchbruchschmerzen benötigen.
- Weisen Sie die Patienten an, dass sie Fentora nicht einnehmen sollten, wenn sie keine Opioidmedikamente (rund um die Uhr) einnehmen.
- Weisen Sie die Patienten an, dass die Titrationsphase der einzige Zeitraum ist, in dem sie mehr als ein Tablet einnehmen können, um eine gewünschte Dosis zu erreichen (z. B. zwei 100 MCG -Tabletten für eine 200 mcg -Dosis).
- Weisen Sie die Patienten an, dass die Folge der Durchbruch Schmerz nach 30 Minuten nicht erleichtert wird, wenn sie möglicherweise nur eine zusätzliche Dosis Fentora mit der gleichen Stärke für diese Episode einnehmen. Daher sollten die Patienten maximal zwei Dosen Fentora für jede Durchbruchschmerz -Episode einnehmen.
- Weisen Sie die Patienten an, dass sie mindestens 4 Stunden warten müssen, bevor sie eine weitere Episode von Durchbruchschmerzen mit Fentora behandeln.
- Weisen Sie die Patienten an, Fentora nicht zu teilen, und dass das Teilen von Fentora mit anderen anderen zum Tod des anderen Einzelnen aufgrund einer Überdosis führen kann.
- Machen Sie die Patienten aufmerksam, dass Fentora Fentanyl enthält, das ein starkes Schmerzmittel ist, das dem Hydromorphon -Methadon -Morphin -Oxycodon und Oxymorphone ähnelt.
- Weisen Sie die Patienten an, die Blase erst zu öffnen, bis sie Fentora verwenden und das Tablet nicht in einem temporären Behälter wie einer Pill -Box speichern, sobald es aus dem Blisterpaket entfernt wurde.
- Weisen Sie Patienten an, dass Fentora -Tabletten nicht ganz verschluckt werden dürfen; Dies verringert die Wirksamkeit der Medikamente. Tabletten sind zwischen der Wange und dem Kaugummi über einem Molkopf oder unter der Zunge zu platzieren und sich aufzulösen. Nach 30 Minuten, wenn Überreste der Tablette noch Patienten mit einem Glas Wasser schlucken können.
- Vorsicht von Patienten, mit ihrem Gesundheitsdienstleister zu sprechen, wenn durch Durchgangsschmerzen nach Einnahme von Fentora nicht gelindert oder verschlechtert wird.
- Weisen Sie die Patienten an, Fentora genau zu verwenden, wie sie von ihrem Gesundheitsdienstleister verschrieben wurde, und nicht häufiger als vorgeschriebenes Fentora einnehmen.
- Stellen Sie Patienten und ihre Pflegekräfte jedes Mal, wenn Fentora abgegeben wird, einen Medikamentenführer zur Verfügung, da möglicherweise neue Informationen verfügbar sind.
Fahren oder Betreiben schwerer Maschinen
Informieren Sie die Patienten, dass Fentora die Fähigkeit beeinträchtigen kann, potenziell gefährliche Aktivitäten wie das Fahren eines Autos oder den Betrieb schwerer Maschinen auszuführen. Raten Sie den Patienten, solche Aufgaben erst auszuführen, bis sie wissen, wie sie auf das Medikament reagieren [siehe WARNUNGS AND VORSICHTSMASSNAHMEN ].
Verstopfung
Beraten Sie den Patienten über das Potenzial für schwere Verstopfung, einschließlich Managementanweisungen und wann sie medizinische Hilfe suchen sollen [siehe Nebenwirkungen Klinische Pharmakologie ].
Nebenniereninsuffizienz
Informieren Sie Patienten, dass Opioide eine Nebenniereninsuffizienz zu einem potenziell lebensbedrohlichen Zustand verursachen können. Nebennieren-Insuffizienz kann mit nicht spezifischen Symptomen und Anzeichen wie Übelkeit auftreten, wie beispielsweise die Schwäche der Anorexie-Müdigkeit Schwäche und niedriger Blutdruck. Raten Sie den Patienten, medizinische Hilfe zu suchen, wenn sie eine Konstellation dieser Symptome erleben [siehe WARNUNGS AND VORSICHTSMASSNAHMEN ].
Hypotonie
Informieren Sie Patienten, dass Fentora orthostatische Hypotonie und Synkope verursachen kann. Weisen Sie Patienten an, wie man Symptome eines niedrigen Blutdrucks erkennen und wie das Risiko schwerwiegender Folgen eine Hypotonie verringern sollte (z. B. sitzen oder hinlegen WARNUNGS AND VORSICHTSMASSNAHMEN ].
Anaphylaxie
Informieren Sie die Patienten, dass eine Anaphylaxie mit in Fentora enthaltenen Zutaten berichtet wurde. Beraten Sie den Patienten, wie sie eine solche Reaktion erkennen und wann sie medizinische Hilfe suchen sollen [siehe Kontraindikationen Nebenwirkungen ].
Schwangerschaft
Neugeborenen -Opioid -Entzugssyndrom
Informieren Sie die Patienten, dass die Verwendung von Fentora über einen längeren Zeitraum während der Schwangerschaft zu einem Opioid-Entzug-Syndrom für Neugeborene führen kann, das möglicherweise lebensbedrohlich sein kann, wenn sie nicht erkannt und behandelt werden [siehe WARNUNGS AND VORSICHTSMASSNAHMEN Verwendung in bestimmten Populationen ].
Embryo-Fetal-Toxizität
Informieren Sie weibliche Patienten über das Fortpflanzungspotential, dass Fentora fetale Schäden verursachen und ihren Gesundheitsdienstleister über eine bekannte oder vermutete Schwangerschaft informieren kann [siehe Verwendung in bestimmten Populationen Nichtklinische Toxikologie ].
Stillzeit
Raten Sie stillenden Müttern, Säuglinge sorgfältig auf erhöhte Schläfrigkeit (mehr als gewöhnlich) Atembeschwerden oder Hinweise zu beobachten. Weisen Sie die stillenden Mütter an, eine sofortige medizinische Versorgung zu suchen, wenn sie diese Zeichen bemerken [siehe Verwendung in bestimmten Populationen ].
Unfruchtbarkeit
Informieren Sie die Patienten, dass die Verwendung von Opioiden über einen längeren Zeitraum eine verringerte Fruchtbarkeit verursachen kann. Es ist nicht bekannt, ob diese Auswirkungen auf die Fruchtbarkeit reversibel sind [siehe Verwendung in bestimmten Populationen ].
Aufgeben auf den Medikamentenhandbuch zur Verfügung unter: www.tevausa.com/medguides
Nichtklinische Toxikologie
Karzinogenese -Mutagenese -Beeinträchtigung der Fruchtbarkeit
Karzinogenese
Fentanyl wurde in einer 104-wöchigen Rattenstudie und in einer 6-monatigen TG.AC-transgenen Mausstudie auf karzinogenes Potential bewertet. Bei Ratten wurden Dosen von bis zu 50 mcg/kg bei Männern und 100 mcg/kg bei Frauen subkutan verabreicht, und es wurden keine behandlungsbedingten Neoplasmen beobachtet (Dosen entsprechen 2,3- und 3,4-mal, die Exposition einer einzelnen menschlichen Dosis von 800 mcg pro Schmerz-Episode bzw. auf einem AUC-Vergleich). In einem 26-wöchigen transgenen Mäusemodell (TG.AC) in topischen Dosen von bis zu 50 mcg/Dosis/Tag wurde kein Anstieg des Auftretens behandlungsbedingter Neoplasmen beobachtet.
Mutagenese
Fentanylcitrat war im AMES -Reverse -Mutation -Assay in nicht mutagener S. Typhimurium oder E. coli oder the mouse lymphoma mutagenesis assay. Fentanyl citrate was not clastogenic in the in vivo mouse micronucleus assay.
Beeinträchtigung der Fruchtbarkeit
In einer Fertilitätsstudie wurde weiblichen Ratten 14 Tage lang subkutan Fentanyl verabreicht, vor der Paarung mit unbehandelten Männern bei Dosen von bis zu 300 mcg/kg und es wurden keine Auswirkungen auf die weibliche Fruchtbarkeit beobachtet. Die systemische Exposition in der Dosis von 300 mcg/kg betrug ungefähr das 8,6 -fache der Exposition einer einzelnen menschlichen Dosis von 800 mcg pro Schmerz -Episode, die auf einem AUC -Vergleich basiert.
Es wurde gezeigt, dass Fentanyl die Fruchtbarkeit bei Ratten in Dosen von 30 mcg/kg IV und 160 mcg/kg subkutan beeinträchtigt. Die Umwandlung in die menschlichen äquivalenten Dosen zeigt, dass dies im Bereich der von Menschen empfohlenen Dosierung für Fentora liegt.
Verwendung in bestimmten Populationen
Schwangerschaft
Risikozusammenfassung
Die Verwendung von Opioidanalgetika über einen längeren Zeitraum während der Schwangerschaft kann zu einem Neugeborenen -Opioid -Entzugssyndrom führen [siehe WARNUNGS AND VORSICHTSMASSNAHMEN ]. Available data with Mentor in pregnant women are insufficient to infoderm a drug-associated risk foder majoder birth defects Und miscarriage. There are risks to the mother Und infant associated with use of Mentor foder an extended period of time during pregnancy (see Klinische Überlegungen ).
In tierischen Fortpflanzungsstudien war die Verabreichung von Fentanyl an schwangere Ratten während der Organogenese in Dosen im Bereich der von Menschen empfohlenen Dosierung embryozidal. Bei der Verabreichung während der Schwangerschaft durch Laktation führte Fentanylverabreichung an schwangere Ratten zu einem verringerten Überleben der Puppen in Dosen innerhalb des Bereichs des Menschen empfohlenen Dosierung. In den bisher abgeschlossenen Tierstudien wurden keine Hinweise auf Missbildungen festgestellt [siehe Daten ].
Das Hintergrundrisiko von schweren Geburtsfehlern und Fehlgeburten für die angegebene Bevölkerung ist unbekannt. Alle Schwangerschaften haben ein Hintergrundrisiko für einen Verlust von Geburtsfehlern oder andere nachteilige Ergebnisse. In der US -allgemeinen Bevölkerung beträgt das geschätzte Hintergrundrisiko für größere Geburtsfehler und eine Fehlgeburt bei klinisch anerkannten Schwangerschaften 2 bis 4% bzw. 15 bis 20%.
Klinische Überlegungen
Nebenwirkungen von fetalen/Neugeborenen
Die Verwendung von Opioidanalgetika über einen längeren Zeitraum während der Schwangerschaft für medizinische oder nichtmedizinische Zwecke kann kurz nach der Geburt zu einer physischen Abhängigkeit des Neugeborenen- und Neugeborenen -Opioid -Entzugssyndroms führen.
Das Neugeborenen -Opioid -Entzug -Syndrom ist als Reizbarkeit Hyperaktivität und abnormales Schlafmuster hoher Pitched -Crem -Tremor -Erbrechen durch Durchfall und Versagen, Gewicht zu nutzen. Der Beginn von Neugeborenenentzugssymptomen tritt normalerweise in den ersten Tagen nach der Geburt auf. Die Dauer und Schwere des Opioid -Entzug -Syndroms für Neugeborene kann variieren. Beobachten Sie Neugeborene nach Symptomen des Neugeborenen -Opioid -Entzugssyndroms und verwalten Sie entsprechend [siehe WARNUNGS AND VORSICHTSMASSNAHMEN ].
Arbeit oder Lieferung
Opioide überschreiten die Plazenta und können bei Neugeborenen eine Atemdepression und psycho-physiologische Wirkungen hervorrufen. Ein Opioidantagonist wie Naloxon muss für die Umkehrung der Opioid-induzierten Atemdepression im Neugeborenen verfügbar sein. Fentora wird nicht für den Einsatz bei schwangeren Frauen während oder unmittelbar vor der Arbeit empfohlen, wenn andere analgetische Techniken angemessener sind. Opioidanalgetika einschließlich Fentora können Arbeit durch Maßnahmen verlängern, die die Festigkeitsdauer und Häufigkeit von Uteruskontraktionen vorübergehend verringern. Dieser Effekt ist jedoch nicht konsistent und kann durch eine erhöhte Halsrate ausgeglichen werden, die dazu neigt, die Arbeit zu verkürzen. Überwachen Sie Neugeborene, die Opioidanalgetika während der Wehen auf Anzeichen einer überschüssigen Sedierung und der Atemdepression ausgesetzt sind.
Daten
Menschliche Daten
Bei Frauen, die akut mit intravenösem oder epiduralem Fentanyl während der Arbeitssymptome einer neonatalen Atemweg oder der neurologischen Depression behandelt wurden, waren nicht häufiger als bei Säuglingen unbehandelter Mütter erwartet.
Bei Säuglingen, deren Mütter mit intravenösem Fentanyl behandelt wurden, wurde eine vorübergehende Neugeborenen -Muskelsteifigkeit beobachtet.
Tierdaten
Fentanyl (25 50 oder 100 mcg/kg) wurde während des Organogenesezeitraums subkutan an schwangere Ratten verabreicht (Schwangerschaftstag GD 6-17). Die mütterliche Toxizität und eine Abnahme der fetalen Gewichte wurden bei 100 mcg/kg beobachtet, es wurde jedoch in der Studie keine Teratogenität beobachtet (100 mcg/kg-Dosis entspricht einer 1,4-fachen der Exposition einer einzelnen menschlichen Dosis von 800 mcg pro Schmerz-Episode, die auf einem AUC-Vergleich basiert). Fentanyl (50 100 oder 250 mcg/kg) wurde während des Zeitraums der Organogenese auch subkutan an schwangere Kaninchen verabreicht (GD 6-18). Die mütterliche Toxizität wurde in Dosen> 100 mcg/kg festgestellt. In der Studie wurde keine Teratogenität beobachtet (250 mcg/kg-Dosis entsprechen 7,5-mal der Exposition einer einzelnen menschlichen Dosis von 800 mcg pro Schmerz-Episode, die auf einem AUC-Vergleich basiert).
Es wurde gezeigt, dass Fentanyl bei schwangeren Ratten bei Dosen von 30 mcg/kg intravenös (NULL,4 -fach die 800 -MCG -Dosis Fentora auf mg/m²) von GD 6 bis 18 und 160 mcg/kg subkutan (2 -fache der 800 mcg -Dose von Fentora basierend auf einem MG/m²). Es wurden keine Hinweise auf Teratogenität gemeldet.
In einer veröffentlichten Studie wurde keine Hinweise auf Missbildungen oder Nebenwirkungen auf den Fötus berichtet, in dem schwangere Ratten durch subkutan implantierte osmotische Minipumpeln bei Dosen von 10 100 oder 500 mcg/kg/Tag vor der Zucht und der gesamten Schwangerschaft kontinuierlich Fentanyl verabreicht wurden. Die hohe Dosis betrug ungefähr das 6-fache der menschlichen Dosis von 800 mcg Fentora pro Schmerz-Episode auf mg/m²-Basis und erzeugte mittlere Plasmaspiegel im stationären Zustand, die ungefähr 5-mal höher sind als die mittlere CMAX, die nach der Verabreichung von 800 mcg-Dosis Fentora beim Menschen beobachtet wurde.
In einer postnatalen Entwicklungsstudie wurden schwangere Ratten von GD 6 bis Lactation Day (LD) 20 mit subkutanen Fentanyldosen (25 50 100 und 400 mcg/kg) behandelt. Die mütterliche Toxizität wurde in Dosen> 100 mcg/kg festgestellt. Eine Verringerung des Puppenwachstums und eine verzögerte Erlangung von Entwicklungsindizes wurde bei> 100 mcg/kg beobachtet. Bei der Geburt wurde bei der Geburt kein Unterschied in der Anzahl lebender Welpen/Wurf beobachtet. Das Überleben von Puppen bei LD 4 wurde jedoch bei 400 mcg/kg auf 48% reduziert, und das Überleben von LD 21 Puppen wurde bei 100 bzw. 400 mcg/kg auf 30% und 26% reduziert. Während der Laktation wurden in den F1-Welpen in der 400 mcg/kg-Gruppe fentanylbezogene klinische Anzeichen (verringerte Aktivitätskalte kalt und moribund) festgestellt. Die Welpen dieser Gruppe hatten während der gesamten Laktationsperiode auch das Körpergewicht signifikant verringert. Die an Ratten verabreichte Dosis von Fentanyl, bei denen keine Entwicklungstoxizität in der F1 -Generation beobachtet wurde, betrug 50 mcg/kg, was ungefähr der Exposition einer einzelnen menschlichen Dosis von 800 mcg pro Schmerz -Episode entspricht, die auf einem AUC -Vergleich basiert.
Stillzeit
Risikozusammenfassung
Fentanyl ist in der Muttermilch vorhanden. Eine veröffentlichte Laktationsstudie berichtet über eine relative Säuglingsdosis von Fentanyl von 0,024%. Es gibt jedoch nicht genügend Informationen, um die Auswirkungen von Fentanyl auf das gestillte Kind und die Auswirkungen von Fentanyl auf die Milchproduktion zu bestimmen.
Aufgrund des Potenzials für schwerwiegende unerwünschte Reaktionen, einschließlich überschüssiger Sedierung und Atemdepression bei einem gestillten Kind, werden Patienten während der Behandlung mit Fentora nicht empfohlen.
Klinische Überlegungen
Überwachen Sie Säuglinge, die Fentora durch Muttermilch ausgesetzt sind, um überschüssige Sedierung und Atemdepression zu sein. Entzugssymptome können bei gestillten Säuglingen auftreten, wenn die mütterliche Verabreichung eines Opioidanalgetikums gestoppt wird oder beim Stillen gestoppt wird.
Frauen und Männer des Fortpflanzungspotentials
Unfruchtbarkeit
Die Verwendung von Opioiden über einen längeren Zeitraum kann eine verringerte Fruchtbarkeit bei Frauen und Männern des Fortpflanzungspotentials verursachen. Es ist nicht bekannt, ob diese Auswirkungen auf die Fruchtbarkeit reversibel sind [siehe Nebenwirkungen Klinische Pharmakologie Nichtklinische Toxikologie ].
Pädiatrische Verwendung
Die Sicherheit und Wirksamkeit von Fentora wurde bei pädiatrischen Patienten unter 18 Jahren nicht eingerichtet.
Geriatrische Verwendung
Von den 304 Krebspatienten in klinischen Studien von Fentora 69 (23%) waren 65 Jahre alt und älter. Patienten über 65 Jahre tendierten tendenziell auf etwas niedrigere Dosen als jüngere Patienten. Patienten über 65 Jahre berichteten über eine etwas höhere Häufigkeit bei einigen unerwünschten Ereignissen, insbesondere für Verstopfung und Bauchschmerzen. Daher sollte Vorsicht bei der individuellen Titrierung von Fentora bei älteren Patienten geworfen werden, um eine angemessene Wirksamkeit zu erzielen und gleichzeitig das Risiko zu minimieren.
Atemdepression ist das Hauptrisiko für ältere Patienten, die mit Opioiden behandelt wurden und nach großen anfänglichen Dosen an Patienten aufgetreten sind, die nicht opioid-tolerant waren oder wenn Opioide mit anderen Wirkstoffen, die die Atmung depressieren, gemeinsam verabreicht wurden. Titrieren Sie die Dosierung von Fentora bei geriatrischen Patienten langsam und bewerten Sie den Patienten häufig nach Anzeichen eines Zentralnervensystems und der Atemdepression [siehe WARNUNGS AND VORSICHTSMASSNAHMEN ].
Es ist bekannt, dass Fentanyl von der Niere wesentlich ausgeschieden wird, und das Risiko von Nebenwirkungen auf dieses Arzneimittel kann bei Patienten mit beeinträchtigter Nierenfunktion höher sein. Da ältere Patienten mit größerer Wahrscheinlichkeit eine verminderte Nierenfunktionspflege haben, sollten die Selektion der Dosis durchgeführt werden, und es kann möglicherweise nützlich sein, die Nierenfunktion regelmäßig zu bewerten.
Patienten mit Nieren- oder Leberbeeinträchtigung
Es gibt unzureichende Informationen, um Empfehlungen zur Verwendung von Fentora bei Patienten mit beeinträchtigter Nieren- oder Leberfunktion abzugeben. Fentanyl wird hauptsächlich über humanes Cytochrom p450 3A4 -Isoenzymsystem metabolisiert und hauptsächlich im Urin eliminiert. Wenn das Medikament bei diesen Patienten angewendet wird, sollte es aufgrund des Leberstoffwechsels und der Nierenausscheidung von Fentanyl mit Vorsicht verwendet werden.
Sex
Sowohl männliche als auch weibliche Opioid-tolerante Krebspatienten wurden zur Behandlung von Durchbruchschmerzen untersucht. Es wurden weder in der Dosierungsbedarf noch in beobachteten Nebenwirkungen festgestellt.
Wettrennen
Die pharmakokinetischen Effekte der Rasse unter Verwendung von Fentora wurden nicht systematisch bewertet. In Studien, die bei gesunden japanischen Probanden durchgeführt wurden, war die systemische Exposition im Allgemeinen höher als bei US -Probanden.
Überdosierungsinformationen für Fentora
Klinische Präsentation
Eine akute Überdosierung mit Fentanyl kann durch die Damnolenz der Atemdepression manifestiert werden, die zu Stupor- oder Coma -Skelettmuskulatur -Schlaffungsgefällen und kalt und klammiger Haut verengt wird, und in einigen Fällen Lungenödeme -Ödeme Bradykardie -Hypotonie -Hypotonie -Hypotonie -Hypotonie -Hypotonie partielle oder vollständige Atomwaffenobstruktion beim Snoring und Tod. Eine ausgeprägte Mydriasis anstelle von Miose kann bei Hypoxie in Überdosierungssituationen beobachtet werden [siehe Klinische Pharmakologie ].
Behandlung von Überdosis
Bei Überdosierung sind Prioritäten die Wiederherstellung eines Patent- und geschützten Atemwegs und einer Einrichtung von unterstützten oder kontrollierten Belüftungen bei Bedarf. Verwenden Sie andere unterstützende Maßnahmen (einschließlich Sauerstoff und Vasopressoren) bei der Behandlung von Kreislaufschock und Lungenödemen wie angegeben. Herzstillstand oder Arrhythmien erfordern fortgeschrittene Lebensunterhaltungsmaßnahmen.
Opioidantagonisten wie Naloxon sind spezifische Gegenmittel gegen Atemdepression, die sich aus einer Opioidüberdosis ergeben. Für klinisch signifikante respiratorische oder zirkulatorische Depressionen infolge der Fentanylüberdosierung einen Opioidantagonisten verabreichen.
Da die Dauer der Opioid -Umkehrung voraussichtlich geringer ist als die Wirkungsdauer von Fentanyl in Fentora, überwacht den Patienten sorgfältig, bis die spontane Atmung zuverlässig wiederhergestellt wird. Wenn die Reaktion auf einen Opioidantagonisten suboptimal ist oder nur kurz in der Natur einen zusätzlichen Antagonisten verabreicht, das von den Verschreibungsinformationen des Produkts angeführt wird.
In einer individuellen physikalisch abhängigen Opioiden wird die verabreichte Verabreichung der empfohlenen üblichen Dosierung des Antagonisten ein akutes Entzugssyndrom auslösen. Die Schwere der auf erlebten Entzugssymptome hängt vom Grad der körperlichen Abhängigkeit und der Dosis des verabreichten Antagonisten ab. Wenn eine Entscheidung getroffen wird, um schwerwiegende Atemdepressionen in der körperlich abhängigen Patientenverabreichung des Antagonisten mit der Pflege und einer Titration mit kleineren Dosen des Antagonisten zu behandeln.
Kontraindikationen für Mentoring
Mentor is contraindicated in:
- Nicht-tolerante Opioid-Patienten: lebensbedrohliche Atemdepression und Tod können bei jeder Dosis bei nicht-toleranten Opioid-Patienten auftreten [siehe Indikationen und Nutzung WARNUNGS AND VORSICHTSMASSNAHMEN ].
- Signifikante Atemdepression [siehe WARNUNGS AND VORSICHTSMASSNAHMEN ].
- Akute oder postoperative Schmerzen einschließlich Kopfschmerzen/Migräne und Zahnschmerzen oder akute Schmerzen in der Notaufnahme [siehe Indikationen und Nutzung ].
- Akutes oder schweres bronchiale Asthma in einer nicht überwachten Umgebung oder in Abwesenheit von wiederbelebten Geräten [siehe WARNUNGS AND VORSICHTSMASSNAHMEN ].
- Bekannte oder vermutete gastrointestinale Obstruktion einschließlich lähmter Ileus [siehe WARNUNGS AND VORSICHTSMASSNAHMEN ].
- Bekannte Überempfindlichkeit gegenüber Fentanyl oder Komponenten von Fentora (z. B. Überempfindlichkeit der Anaphylaxie) [siehe Nebenwirkungen ].
Klinische Pharmakologie foder Fentodera
Wirkungsmechanismus
Fentanyl ist ein Opioidagonist, dessen Haupttherapie -Wirkung Analgesie ist.
Pharmakodynamik
Auswirkungen auf das Zentralnervensystem
Der genaue Mechanismus der analgetischen Wirkung ist unbekannt, obwohl Fentanyl ein MU -Opioidrezeptor -Agonist bekannt ist. Spezifische ZNS-Opioidrezeptoren für endogene Verbindungen mit opioidähnlicher Aktivität wurden im gesamten Gehirn und im Rückenmark identifiziert und spielen eine Rolle bei den analgetischen Wirkungen dieses Arzneimittels. Fentanyl erzeugt Atemdepression durch direkte Wirkung auf Hirnstamm -Atmungszentren. Die Atemdepression beinhaltet eine Verringerung der Reaktionsfähigkeit des Hirnstamms auf sowohl Kohlendioxid als auch auf elektrische Stimulation.
Fentanyl verursacht Miose auch bei totaler Dunkelheit. Pinpoint -Pupillen sind ein Vorzeichen einer Opioidüberdosierung, sind jedoch nicht pathognomonisch (z. B. können pontinische Läsionen hämorrhagischer oder ischämischer Herkunft ähnliche Befunde erzeugen). Eine ausgeprägte Mydriasis und nicht Miose kann aufgrund von Hypoxie in Überdosierungssituationen beobachtet werden.
Auswirkungen auf den Magen -Darm -Trakt und andere glatte Muskeln
Fentanyl führt zu einer Verringerung der Motilität im Zusammenhang mit einer Zunahme des glatten Muskeltonus im Antrum des Magens und im Zwölffingerdarm. Die Verdauung von Nahrungsmitteln im Dünndarm wird verzögert und die treibenden Kontraktionen werden verringert. Die treibenden peristaltischen Wellen im Dickdarm werden verringert, während der Ton auf den Punkt des Krampfes erhöht werden kann, was zu Verstopfung führt. Andere opioidinduzierte Effekte können eine Verringerung des Spasmas der Gallen- und Pankreassekrete des Schließmuskels von Oddi und transienten Erhöhungen in der Serumamylase umfassen.
Auswirkungen auf das kardiovaskuläre System
Fentanyl erzeugt eine periphere Vasodilatation, die zu orthostatischer Hypotonie oder Synkope führen kann. Manifestationen der Histaminfreisetzung und/oder der peripheren Vasodilatation können Pruritus -Spülung roter Augen und Schwitzen und/oder orthostatische Hypotonie umfassen.
Auswirkungen auf das endokrine System
Es wurde gezeigt, dass Opioidagonisten eine Vielzahl von Auswirkungen auf die Sekretion von Hormonen haben. Opioide hemmen die Sekretion von adrenocortikotropen Hormon (ACTH) Cortisol und luteinisierendem Hormon (LH) beim Menschen. Sie stimulieren auch Prolaktin -Wachstumshormon (GH) Sekretion und Pankreassekretion von Insulin und Glucagon [siehe Nebenwirkungen ]. Thyroid stimulating hodermone (TSH) has been shown to be both inhibited Und stimulated by opioids.
Die Verwendung von Opioiden für einen längeren Zeitraum kann die hypothalamisch-hypophysen-gonadale Achse beeinflussen, was zu einem Androgenmangel führt, der sich als niedrige Libido-Impotenz erektile Dysfunktion Amenorrhoe oder Unfruchtbarkeit manifestieren kann. Die kausale Rolle von Opioiden im klinischen Syndrom des Hypogonadismus ist unbekannt, da die verschiedenen medizinischen körperlichen Lebensstil und psychischen Stressoren, die die Gonadenhormonspiegel beeinflussen können, in bisher durchgeführten Studien nicht angemessen kontrolliert wurden [siehe Nebenwirkungen ].
Auswirkungen auf das Immunsystem
Es wurde gezeigt, dass Opioide eine Vielzahl von Effekten auf Komponenten des Immunsystems in In -vitro- und Tiermodellen haben. Die klinische Bedeutung dieser Ergebnisse ist unbekannt. Insgesamt scheinen die Auswirkungen von Opioiden geringfügig immunsuppressiv zu sein.
Konzentrationswirksamkeitsbeziehungen
Die analgetischen Wirkungen von Fentanyl hängen mit dem Blutspiegel des Arzneimittels zusammen, wenn die Verzögerung in das ZNS eine ordnungsgemäße Zulage erfolgt (ein Prozess mit einer Halbwertszeit von 3 bis 5 Minuten).
Im Allgemeinen steigt die wirksame Konzentration und die Konzentration, bei der die Toxizität auftritt, mit zunehmender Toleranz bei allen Opioiden. Die Entwicklungsrate der Toleranz variiert bei Individuen stark [siehe Dosierung und Verwaltung ].
Die minimal wirksame analgetische Fentanylkonzentration für einen einzelnen Patienten kann im Laufe der Zeit aufgrund eines Anstiegs der Schmerzen die Entwicklung eines neuen Schmerzsyndroms und/oder der Entwicklung einer analgetischen Toleranz erhöhen [siehe Dosierung und Verwaltung ].
Konzentrationsadverse-Reaktionsbeziehungen
Es besteht eine Beziehung zwischen einer zunehmenden Fentanylplasmakonzentration und einer zunehmenden Häufigkeit von dosisbedingten Opioid-Nebenwirkungen wie Übelkeit erbrechen ZNS-Effekte und Atemdepression. Bei opioid-toleranten Patienten kann die Situation durch die Entwicklung der Toleranz gegenüber opioidbedingten Nebenwirkungen verändert werden [siehe Dosierung und Verwaltung ].
Atmungssystem
Alle Opioid-MU-Rezeptor-Agonisten, einschließlich Fentanyl, produzieren dosisabhängige Atemdepression. Das Risiko einer Atemdepression ist bei Patienten, die eine chronische Opioid -Therapie erhalten, geringer, die Toleranz gegenüber Atemdepressionen und anderen Opioidffekten entwickeln. Depressive Spitzenwirkungen können bereits 15 bis 30 Minuten nach Beginn der oralen transmukosalen Fentanylcitrat -Produktverabreichung beobachtet werden und können mehrere Stunden lang bestehen bleiben.
Eine schwerwiegende oder tödliche Atemdepression kann auch bei empfohlenen Dosen auftreten. Obwohl nicht mit oralen transmukosalen Fentanylprodukten in klinischen Studien Fentanyl beobachtet, die durch intravenöse Injektion in großen Dosen schnell verabreicht werden, kann die Atmung beeinträchtigt WARNUNGS AND VORSICHTSMASSNAHMEN Überdosierung ].
Pharmakokinetik
Fentanyl zeigt eine lineare Pharmakokinetik. Die systemische Exposition gegenüber Fentanyl nach Verabreichung von Fentora steigt in einer ungefähren dosis-proportionalen Weise linear über den Dosisbereich von 100 bis 800 mcg an.
Absorption
Nach der bukkalen Verabreichung von Fentora Fentanyl wird leicht mit einer absoluten Bioverfügbarkeit von 65%absorbiert. Das Absorptionsprofil von Fentora ist größtenteils das Ergebnis einer anfänglichen Absorption der bukkalen Schleimhaut mit Spitzenplasmakonzentrationen nach venöser Probenahme, die im Allgemeinen innerhalb einer Stunde nach der bukkalen Verabreichung erreicht wurden. Ungefähr 50% der verabreichten Gesamtdosis werden transmukosal absorbiert und systemisch verfügbar. Die verbleibende Hälfte der Gesamtdosis wird verschluckt und erfährt eine längere Absorption vom Magen -Darm -Trakt.
In einer Studie, in der die absolute und relative Bioverfügbarkeit von Fentora und ACTIQ (orale transmukosale Fentanylcitrat) verglichen wurde, waren die Rate und das Ausmaß der Fentanylabsorption erheblich unterschiedlich (ungefähr 30% größere Exposition mit Fentora) (Tabelle 5).
Apotheken, die Oxycodon 30 mg tragen
Tabelle 5: Pharmakokinetische Parameter* bei erwachsenen Probanden, die Fentora oder Actiq erhalten
| Pharmakokinetischer Parameter (Mittelwert) | Mentor 400 mcg | Actiq 400 MCG (angepasste Dosis) *** |
| Absolute Bioverfügbarkeit | 65% ± 20% | 47% ± 10,5% |
| Die Fraktion transmukosal absorbiert | 48% ± 31,8% | 22% ± 17,3% |
| Tmax (Minute) ** | 46,8 (20-240) | 90,8 (35-240) |
| Cmax (ng/ml) | 1,02 ± 0,42 | 0,63 ± 0,21 |
| AUC0-TMAX (ng • HR/ml) | 0,40 ± 0,18 | 0,14 ± 0,05 |
| AUC0-Inf (ng • HR/ml) | 6,48 ± 2,98 | 4,79 ± 1,96 |
| * Basierend auf venösen Blutproben. ** Daten für Tmax als Median (Bereich) dargestellt. *** ACTIQ -Daten wurden dosis angepasst (800 mcg bis 400 mcg). |
In einer anderen Bioverfügbarkeitsstudie -Exposition nach Verabreichung von Fentora war ebenfalls höher (ungefähr 50%) als ACTIQ.
Aufgrund von Unterschieden in den Expositionsmessungen der Arzneimittelabgabe (CMAX AUC0-TMAX AUC0-INF) waren mit einer gegebenen Dosis von Fentanyl im Vergleich zu ACTIQ wesentlich höher (siehe Abbildung 1). Daher muss beim Wechsel von Patienten von einem Produkt auf ein anderes Vorsicht geboten werden [siehe Dosierung und Verwaltung WARNUNGS AND VORSICHTSMASSNAHMEN ]. Abbildung 1 includes an inset which shows the mean plasma concentration versus time profile to 6 hours. The vertical line denotes the median Tmax foder Mentor.
Abbildung 1: mittlere Plasmakonzentration gegenüber Zeitprofilen nach einzelnen Dosen von Fentora und ACTIQ bei gesunden Probanden
ACTIQ -Daten wurden dosis angepasst (800 MCG bis 400 MCG).
Die mittleren pharmakokinetischen Parameter sind in Tabelle 6 dargestellt. Die mittlere Plasmakonzentration gegenüber Zeitprofilen sind in Abbildung 2 dargestellt.
Tabelle 6: Pharmakokinetische Parameter* Nach einzelnen 100 200 400 und 800 mcg -Dosen Fentora bei gesunden Probanden
| Pharmakokinetischer Parameter (Mittelwert ± SD) | 100 mcg | 200 mcg | 400 mcg | 800 mcg |
| Cmax (ng/ml) | 0,25 ± 0,14 | 0,40 ± 0,18 | 0,97 ± 0,53 | 1,59 ± 0,90 |
| Tmax Minute ** (Bereich) | 45,0 (25.0 - 181,0) | 40,0 (20.0 - 180,0) | 35,0 (20.0 - 180,0) | 40,0 (25.0 - 180,0) |
| AUC0-Inf (ng • HR/ml) | 0,98 ± 0,37 | 2,11 ± 1,13 | 4,72 ± 1,95 | 9,05 ± 3,72 |
| AUC0-TMAX (ng • HR/ml) | 0,09 ± 0,06 | 0,13 ± 0,09 | 0,34 ± 0,23 | 0,52 ± 0,38 |
| T½ HR ** | 2,63 (NULL,47 - 13,57) | 4,43 (NULL,85 - 20,76) | 11.09 (4.63 - 20.59) | 11.70 (NULL,63 - 28.63) |
| * Basierend auf einer venösen Stichprobe. ** Daten für Tmax als Median (Bereich) dargestellt. |
Abbildung 2: mittlere Plasmakonzentration gegenüber Zeitprofilen nach einzelnen 100 200 400 und 800 mcg -Fentora -Dosen bei gesunden Probanden
Verweilzeit (definiert als die Zeitdauer, die das Tablet nach der bukkalen Verabreichung vollständig auflöst) scheint die frühe systemische Exposition gegenüber Fentanyl nicht zu beeinflussen.
Die Wirkung von Mukositis (Grad 1) auf das pharmakokinetische Profil von Fentora wurde in einer Gruppe von Patienten mit (n = 8) und ohne Mukositis (n = 8) untersucht, die ansonsten abgestimmt wurden. Ein einzelnes 200 MCG -Tablet wurde in geeigneten Intervallen verabreicht. Durchschnittliche Zusammenfassungsstatistik (Standardabweichung in Klammern erwartete TMAX, wo der Bereich verwendet wurde) sind in Tabelle 7 dargestellt.
Tabelle 7: pharmakokinetische Parameter bei Patienten mit Mukositis
| Patientenstatus | Cmax (ng/ml) | tmax (min) | AUC0-TMAX (ng • HR/ml) | AUC0-8 (ng • HR/ml) |
| Mukositis | 1,25 ± 0,78 | 25,0 (15 - 45) | 0,21 ± 0,16 | 2,33 ± 0,93 |
| Keine Mukositis | 1,24 ± 0,77 | 22,5 (10 - 121) | 0,25 ± 0,24 | 1,86 ± 0,86 |
Nach der Platzierung der sublingualen Tablette (gemessen durch AUC und Cmax) von Fentanyl entspricht die systemische Exposition nach bukkaler Tablettenplatzierung.
Verteilung
Fentanyl ist hoch lipophil. Die Plasmaproteinbindung von Fentanyl beträgt 80-85%. Das Hauptbindungsprotein ist Alpha-1-Säure-Glykoprotein, aber sowohl Albumin als auch Lipoproteine tragen in gewissem Maße bei. Das mittlere orale Verteilungsvolumen im stationären Zustand (VSS/F) betrug 25,4 l/kg.
Beseitigung
Stoffwechsel
Die Stoffwechselwege nach bukkaler Verabreichung von Fentora wurden in klinischen Studien nicht charakterisiert. Der fortschreitende Rückgang der Fentanylplasmakonzentrationen resultiert aus der Aufnahme von Fentanyl in den Geweben und der Biotransformation in der Leber. Fentanyl wird in der Leber und in der Darmschleimhaut nach Norfentanyl durch Cytochrom p450 3A4 -Isoform metabolisiert. In den Tierstudien wurde nicht festgestellt, dass Norfentanyl pharmakologisch aktiv ist [siehe Wechselwirkungen mit Arzneimitteln ].
Ausscheidung
Die Disposition von Fentanyl nach bukkaler Verabreichung von Fentora wurde in einer Massenausgleichsstudie nicht charakterisiert. Fentanyl wird hauptsächlich (mehr als 90%) durch Biotransformation zu n-dealkyliertem und hydroxyliertem inaktiven Metaboliten beseitigt. Weniger als 7% der verabreichten Dosis werden im Urin unverändert und nur etwa 1% in den Kot unverändert ausgeschieden. Die Metaboliten sind hauptsächlich im Urin ausgeschieden, während eine fäkale Ausscheidung weniger wichtig ist.
Die Gesamtplasmabahl von Fentanyl nach intravenöser Verabreichung beträgt ungefähr 42 l/h.
Sex
Die systemische Exposition war bei Frauen höher als bei Männern (mittlere Cmax- und AUC -Werte waren ungefähr 28% bzw. 22% höher). Die beobachteten Unterschiede zwischen Männern und Frauen waren größtenteils auf die Gewichtsunterschiede zurückzuführen.
Wettrennen
In Studien, die bei gesunden japanischen Probanden durchgeführt wurden, war die systemische Exposition im Allgemeinen höher als bei US -Probanden (mittlere CMAX- und AUC -Werte waren ungefähr 50% bzw. 20% höher). Die beobachteten Unterschiede wurden weitgehend auf das niedrigere mittlere Gewicht der japanischen Probanden im Vergleich zu US -Probanden (NULL,4 kg gegenüber 73 kg) zurückgeführt.
Klinische Studien
Die Wirksamkeit von Fentora wurde in einer doppelblinden placebokontrollierten Cross-Over-Studie an opioid-toleranten Patienten mit Krebs und Durchbruchschmerzen nachgewiesen. Patienten, die als Opioid -tolerant angesehen wurden, waren diejenigen, die täglich mindestens 60 mg orales Morphin mindestens 25 mcg/Stunde transdermaler Fentanyl mindestens 30 mg orales Oxycodon täglich mindestens 8 mg orales Hydromorphone täglich oder eine gleichwöchige Opioid -Dosis täglich oder länger ein weiteres Opioid -Dosis einnahmen.
In dieser Studie wurden die Patienten offen auf eine erfolgreiche Dosis Fentora titriert. Eine erfolgreiche Dosis wurde als die Dosis definiert, in der ein Patient eine angemessene Analgesie mit tolerierbaren Nebenwirkungen erhielt. Patienten, die eine erfolgreiche Dosis identifizierten, wurden randomisiert auf eine Sequenz von 10 Behandlungen, wobei 7 die erfolgreiche Dosis von Fentora und 3 Placebo waren. Patienten verwendeten eine Tablette mit Studienmedikamenten (entweder Fentora oder Placebo) pro Durchbruchschmerz -Episode.
Die Patienten untersuchten die Schmerzintensität auf einer Skala, die die Schmerzen als 0 = keine bis 10 = schlimmste mögliche Schmerzen bewertete. Bei jeder Episode von Durchbruchschmerzintensität wurde zuerst bewertet und dann die Behandlung verabreicht. Die Schmerzintensität (0-10) wurde dann mit 15 30 45 und 60 Minuten nach Verabreichung gemessen. Die Summe der Unterschiede in der Schmerzintensitätswerte nach 15 und 30 Minuten von Baseline (SPID30) war die primäre Wirksamkeitsmaßnahme.
65 Prozent (65%) der Patienten, die in die Studie eintraten, erreichten während der Titrationsphase eine erfolgreiche Dosis. Die Verteilung erfolgreicher Dosen ist in Tabelle 8 gezeigt. Die mittlere Dosis betrug 400 mcg.
Tabelle 8: erfolgreiche Dosis Fentora nach der ersten Titration
| Mentor Dose | N (%) (N = 80) |
| 100 mcg | 13 (16) |
| 200 mcg | 11 (14) |
| 400 mcg | 21 (26) |
| 600 mcg | 10 (13) |
| 800 mcg | 25 (31) |
Der LS-Mittelwert (SE) SPID30 für mit Fentora behandelte Episoden betrug 3,0 (NULL,12), während es für mit Placebo behandelte Episoden 1,8 (NULL,18) betrug.
Abbildung 3: Differenzen der mittleren Schmerzintensität (PID) zu jedem Zeitpunkt während der doppelblinden Behandlungsperiode
Patienteninformationen für Fentora
Mentor®
(fen-tor-a)
(Fentanyl) Buccal Tablet
WICHTIG:
Verwenden Sie Fentora nicht, es sei denn, Sie verwenden mindestens eine Woche oder länger für Ihre Krebsschmerzen, und Ihr Körper wird an diese Medikamente gewöhnt (dies bedeutet, dass Sie opioid tolerant sind). Sie können Ihren Gesundheitsdienstleister fragen, ob Sie opioid tolerant sind.
Halten Sie Fentora an einem sicheren Ort außerhalb der Kinder.
Holen Sie sich sofort eine medizinische Nothilfe, wenn:
- Ein Kind nimmt Fentora. Fentora kann bei jedem Kind, das sie nimmt, eine Überdosis und einen Tod verursachen.
- Ein Erwachsener, dem Fentora nicht verschrieben wurde, verwendet es.
- Ein Erwachsener, der nicht bereits Opioide rund um die Uhr einnimmt, verwendet Fentora.
Dies sind medizinische Notfälle, die zum Tod führen können. Versuchen Sie, Fentora aus dem Mund zu entfernen.
Mentor is:
- Ein starkes verschreibungspflichtiges Schmerzmittel, das ein Opioid (Narkotikum) enthält, mit dem durch Durchbruchschmerzen bei Erwachsenen mit Krebs, die bereits routinemäßig andere Opioidschmerzmedikamente rund um die Uhr einnehmen Fentora wird erst begonnen, nachdem Sie andere Opioid -Schmerzmittel eingenommen haben und Ihr Körper an sie gewöhnt ist (Sie sind opioid tolerant). Verwenden Sie Fentora nicht, wenn Sie nicht opioid tolerant sind.
- Eine Opioidschmerzmedizin, mit der Sie eine Überdosierung und den Tod gefährden können. Auch wenn Sie Ihre Dosis wie vorgeschrieben richtig einnehmen, besteht ein Risiko für Missbrauch und Missbrauch von Opioidabhängigkeit, die zum Tod führen können.
Wichtige Informationen über Fentora:
- Holen Sie sich eine Nothilfe oder rufen Sie sofort 911 an, wenn Sie zu viel Fentora (Überdosis) nehmen. Wenn Sie Fentora zum ersten Mal einnehmen, wenn Ihre Dosis geändert wird, oder wenn Sie zu viel (Überdosis) ernsthafte oder lebensbedrohliche Atemprobleme nehmen, die zum Tod führen können, kann dies auftreten. Sprechen Sie mit Ihrem Gesundheitsdienstleister über Naloxon, ein Medikament für die Notfallbehandlung einer Opioidüberdosis.
- Die Einnahme von Fentora mit anderen Medikamenten, die Sie schläfrig machen können, wie andere Schmerzmittel Antidepressiva Schlaftabletten Anti-Angst-Medikamente Antihistaminika oder Beruhigungsmittel oder mit Alkohol- oder Straßenmedikamenten können schwerwiegende Probleme mit der Verwirrung von Schläfrigkeit verursachen.
- Geben Sie niemals jemandem Ihre Fentora. Sie könnten daran sterben. Der Verkauf oder Verschenken von Fentora ist gegen das Gesetz.
- Laden Sie Fentora sicher außer Sicht und Reichweite von Kindern und an einem Ort, an dem andere, einschließlich Besucher des Hauses, nicht zugänglich sind.
- Wenn Sie aufhören, Ihre Opioid-Schmerzmedizin rund um die Uhr für Ihre Krebsschmerzen zu nehmen, müssen Sie die Verwendung von Fentora aufhören. Sie sind möglicherweise nicht mehr opioid tolerant. Sprechen Sie mit Ihrem Gesundheitsdienstleister darüber, wie Sie Ihre Schmerzen behandeln können.
- Mentor is available only through a program called the Transmucosal Immediate Release Fentanyl (TIRF) Risk Evaluation Und Mitigation Strategy (REMS). To receive Mentor you must:
- Sprechen Sie mit Ihrem Gesundheitsdienstleister
- Verstehen Sie die Vorteile und Risiken von Fentora
- Stimmen Sie allen Anweisungen zu
- Unterschreiben Sie das Formular für die Registrierung des Patienten
- Mentor is only available at pharmacies that are part of the TIRF REMS. Your healthcare provider can help you locate a pharmacy closest to your home where you can have your Mentor prescription filled.
- Kennen Sie die Medikamente, die Sie einnehmen. Halten Sie eine Liste von ihnen, um Ihren Gesundheitsdienstleister und Apotheker zu zeigen, wenn Sie ein neues Medikament erhalten.
Nehmen Sie Fentora nicht, wenn:
- Sie sind nicht opioid tolerant. Opioid-tolerant bedeutet, dass Sie bereits mindestens eine Woche oder länger für Ihre Krebsschmerzen rund um die Uhr andere Opioidschmerzmedikamente einnehmen, und Ihr Körper wird an diese Medikamente gewöhnt.
- Sie haben schwerwiegende Asthma -Schwierigkeiten bei der Atmung oder anderen Lungenproblemen.
- Sie haben eine Darmblockade oder eine Verengung des Magens oder des Darms.
- Sie sind allergisch gegen die Zutaten in Fentora. Eine vollständige Liste von Zutaten in Fentora finden Sie im Ende dieses Medikamentenleitfadens.
- Sie haben kurzfristige Schmerzen, die Sie in ein paar Tagen erwarten würden, wie:
- Schmerzen nach der Operation
- Kopfschmerzen oder migraine
- Zahnschmerzen
Bevor Sie Fentora nehmen, teilen Sie Ihrem Gesundheitsdienstleister mit, ob Sie eine Geschichte haben:
- Probleme beim Atmen oder Lungenproblemen wie Asthmakeuchen oder Atemnot
- Anfälle von Kopfverletzungen
- langsame Herzfrequenz oder andere Herzprobleme
- Niedriger Blutdruck
- psychische Probleme [einschließlich der Schizophrenie oder Halluzinationen der Hauptdepression (Sehen oder Hören von Dingen, die nicht da sind)]]]]]
- Probleme urinieren
- Leber Nieren -Schilddrüsenprobleme
- Pankreas oder Gallenblasenprobleme
- Missbrauch von Straßen- oder verschreibungspflichtigen Medikamenten Alkoholabhängigkeit Opioid Überdosierung oder psychische Gesundheitsprobleme
Sagen Sie Ihrem Gesundheitsdienstleister, wenn Sie:
- Bemerken Sie sich, dass sich Ihre Schmerzen verschlechtern. Wenn sich Ihr Schmerz verschlechtert, nachdem Sie Fentora eingenommen haben, nehmen Sie nicht mehr Fentora, ohne zuerst mit Ihrem Gesundheitsdienstleister zu sprechen. Sprechen Sie mit Ihrem Gesundheitsdienstleister, wenn die Schmerzen, die Sie haben, zunimmt, wenn Sie sich empfindlicher auf Schmerzensfall fühlen oder wenn Sie nach der Einnahme von Fentora neue Schmerzen haben.
- schwanger oder planen, schwanger zu werden. Die Verwendung von Fentora über einen längeren Zeitraum während der Schwangerschaft kann bei Ihrem neugeborenen Baby Entzugssymptome verursachen, die lebensbedrohlich sein könnten, wenn sie nicht erkannt und behandelt werden.
- Stillen. Mentor passes into breast milk Und may harm your baby. Carefully observe infants foder increased sleepiness (modere than usual) breathing difficulties oder limpness. Seek immediate medical care if you notice these signs.
- Leben in einem Haushalt, in dem kleine Kinder oder jemanden, der Straße oder verschreibungspflichtige Drogen missbraucht hat, oder in verschreibungspflichtigen Medikamenten.
- Einnahme von verschreibungspflichtigen rezeptfreien Medikamenten Vitaminen oder Kräuterpräparate. Die Einnahme von Fentora mit bestimmten anderen Medikamenten kann schwerwiegende Nebenwirkungen verursachen, die zum Tod führen können.
Bei der Einnahme von Fentora:
- Ändern Sie Ihre Dosis nicht. Nehmen Sie Fentora genau wie von Ihrem Gesundheitsdienstleister vorgeschrieben.
- Ihr Gesundheitsdienstleister wird die Dosis ändern, bis Sie und Ihr Gesundheitsdienstleister die richtige Dosis für Sie finden.
- In den detaillierten Anweisungen am Ende dieses Medikamentenhandbuchs finden Sie Informationen zur Verwendung von Fentora.
- Verwenden Sie Ganze Fentora -Tabletten.
- Zerquetschen Sie keine Split -Saugen oder kauen Sie Fentora -Tabletten oder schlucken Sie die Tabletten ganz ab. Sie erhalten weniger Erleichterung für Ihre Durchbruchsschmerzen.
- Warten Sie 30 Minuten nach der Verwendung von Fentora. Wenn sich eine Fentora -Tablette in Ihrem Mund befindet, trinken Sie möglicherweise ein Glas Wasser, damit Sie die übrig gebliebene Medizin schlucken können.
- Sie dürfen nicht mehr als 2 Dosen Fentora für jede Episode von Durchbruchkrebsschmerzen verwenden.
- Verwenden Sie 1 Dosis Fentora für eine Episode von Durchbruchkrebsschmerzen.
- Wenn Ihre Durchbruchkrebsschmerzen nach der ersten Dosis Fentora 30 Minuten nicht besser werden, können Sie nur noch eine Dosis Fentora verwenden, wie von Ihrem Gesundheitsdienstleister angewiesen.
- Wenn Ihr Durchbruchschmerz nach der zweiten Dosis Fentora nicht besser wird, rufen Sie Ihren Gesundheitsdienstleister für Anweisungen an. Verwenden Sie zu diesem Zeitpunkt keine weitere Dosis Fentora.
- Warten Sie mindestens 4 Stunden, bevor Sie eine neue Episode von Durchbruchkrebsschmerzen mit Fentora behandeln.
- Wenn Sie nur 1 Dosis Fentora für eine Folge von Durchbruchschmerzen einnehmen müssen, müssen Sie 4 Stunden ab der Zeit der Dosis warten, um eine Dosis Fentora auf eine neue Episode von Breakthrough Pain zu nehmen.
- Wenn Sie 2 Dosen Fentora für eine Episode von Durchbruchschmerzen verwenden müssen, müssen Sie 4 Stunden nach der zweiten Dosis warten, um eine Dosis Fentora für eine neue Folge von Breakthrough Pain zu nehmen.
- Es ist wichtig, dass Sie weiterhin die Opioidschmerzmedizin mit Fentora rund um die Uhr einnehmen.
- Sprechen Sie mit Ihrem Gesundheitsdienstleister, wenn Ihre Dosis Fentora Ihre Durchbruchschmerzen nicht lindert. Ihr Gesundheitsdienstleister entscheidet, ob Ihre Dosis Fentora geändert werden muss.
- Sprechen Sie mit Ihrem Gesundheitsdienstleister, wenn Sie mehr als 4 Folgen von Durchbruchkrebsschmerzen pro Tag haben. Die Dosis Ihrer Opioidschmerzmedizin rund um die Uhr muss möglicherweise angepasst werden.
- Wenn Sie anfangen, sich schwindelig an Ihrem Bauch oder sehr schläfrig zu fühlen, bevor die Tablette vollständig aufgelöst wird, spülen Sie Ihren Mund mit Wasser aus und spucken Sie die restlichen Teile der Tablette sofort in eine Spüle oder eine Toilette aus. Spülen Sie das Waschbecken aus oder spülen Sie die Toilette, um verbleibende Tablettenstücke zu entsorgen.
- Hören Sie nicht auf, Fentora zu nehmen, ohne mit Ihrem Gesundheitsdienstleister zu sprechen. Sie könnten mit unangenehmen Entzugssymptomen krank werden, da sich Ihr Körper an diese Medikamente gewöhnt hat. Die physische Abhängigkeit ist nicht dasselbe wie bei der Drogenabhängigkeit.
- Nachdem Sie aufhören zu nehmen oder wenn Fentora nicht mehr benötigt wird Wie sollte ich ungenutzte Fentora -Tablets entsorgen, wenn sie nicht mehr benötigt werden? für die ordnungsgemäße Entsorgung von Fentora.
- Entsorgen Sie abgelaufene unerwünschte oder nicht verwendete Fentora, indem Sie das Produkt aus den Blasenkarten entfernen und die Toilette umgehend hinunterspülen (wenn eine Option für Drogenübernahme nicht ohne weiteres verfügbar ist). Besuchen Sie www.fda.gov/drugdisposal, um zusätzliche Informationen zur Entsorgung von nicht verwendeten Medikamenten zu erhalten.
- NICHT Fahren oder betreiben Sie schwere Maschinen, bis Sie wissen, wie sich Fentora auf Sie auswirkt. Fentora kann dich schläfrig schwindelig oder benachteilig machen.
- NICHT Trinken Sie Alkohol oder verwenden Sie verschreibungspflichtige oder rezeptfreie Medikamente, die Alkohol enthalten. Die Verwendung von Produkten, die während der Behandlung mit Fentora Alkohol enthalten, kann dazu führen, dass Sie überdosieren und sterben.
- NICHT Switch from Mentor to other medicines that contain fentanyl without talking to your healthcare provider. Die Menge an Fentanyl in einer Dosis Fentora entspricht nicht der Menge an Fentanyl in anderen Medikamenten, die Fentanyl enthalten. Ihr Gesundheitsdienstleister wird eine Startdosis Fentora verschreiben, die sich möglicherweise von anderen Fentanyl -enthalten, die Medikamente enthalten, die Sie möglicherweise eingenommen haben.
Die möglichen Nebenwirkungen von Fentora:
- Verstopfung Brechreiz sleepiness Erbrechen tiredness Kopfschmerzen Schwindel abdominal pain low red blood cell count swelling of the arms hUnds legs Und feet. Call your healthcare provider if you have any of these symptoms Und they are severe.
- Verminderter Blutdruck. Auf diese Weise fühlen Sie sich schwindelig oder benommen, wenn Sie zu schnell aufstehen, wenn Sie sitzen oder sich hinlegen.
- Schmerzreizung oder Wunden an der Anwendungsstelle (auf Ihrem Kaugummi auf der Innenseite Ihrer Wange oder unter Ihrer Zunge). Sagen Sie Ihrem Gesundheitsdienstleister, ob dies ein Problem für Sie ist.
Holen Sie sich die medizinische Notfallhilfe oder rufen Sie sofort 911 an, wenn Sie:
- Schwierigkeiten Atemzuhärke schneller Herzschlag Brustschmerzen Schwellungen Ihrer Gesichtszunge oder Hals extreme Schläfrigkeit Benommenheit, wenn sich die Positionen ändern, die schwache, hohe Körpertemperatur Schwierigkeiten zu stillen, steife Muskeln oder mentale Veränderungen wie Verwirrung.
- Diese Symptome können ein Zeichen dafür sein, dass Sie zu viel Fentora genommen haben oder die Dosis für Sie zu hoch ist. Diese Symptome können zu schwerwiegenden Problemen oder zum Tod führen, wenn sie nicht sofort behandelt werden. Wenn Sie eines dieser Symptome haben, nehmen Sie Fentora erst mehr ein, wenn Sie mit Ihrem Gesundheitsdienstleister gesprochen haben.
Dies sind nicht alle möglichen Nebenwirkungen von Fentora. Rufen Sie Ihren Arzt an, um medizinische Beratung zu Nebenwirkungen zu erhalten. Sie können die FDA bei 1-800-FDA-1088 Nebenwirkungen melden. Weitere Informationen finden Sie unter dailymed.nlm.nih.gov
Wie soll ich Fentora aufbewahren?
- Halten Sie Fentora immer an einem sicheren Ort von Kindern und jedem, für den es nicht verschrieben wurde. Schützen Sie Fentora vor Diebstahl.
- Lagern Sie Fentora bei Raumtemperatur 59 von 15 ° C bis 30 ° C, bis sie verwendet werden können. Frieren Sie Fentora nicht ein.
- Halten Sie Fentora in der ursprünglichen Blaseneinheit. Entfernen Sie Fentora nicht aus seiner Blasenverpackung zur Lagerung in einem temporären Behälter wie einer Pillenbox.
- Mentoring weiter.
Wie sollte ich ungenutzte Fentora -Tablets entsorgen, wenn sie nicht mehr benötigt werden?
- Entsorgen Sie ungenutzte Fentora -Tabletten, die aus einem Rezept verbleiben, sobald sie nicht mehr benötigt werden.
- Entfernen Sie die Tabletten aus Blisterpaketen und spülen Sie sie die Toilette hinunter.
- Spülen Sie die Fentora -Verpackung (Kartenblaseneinheiten oder Kartons) nicht in die Toilette.
- Wenn Sie Hilfe bei der Entsorgung von Fentora benötigen, rufen Sie Teva Pharmaceuticals unter 1-888-483-8279 an oder rufen Sie Ihr örtliches Büro der Drug Enforcement Agency (DEA) an.
Allgemeine Informationen über Fentora
Medikamente werden manchmal für andere Zwecke als die in einem Medikamentenhandbuch aufgeführten Zwecke verschrieben. Verwenden Sie Fentora nur für den Zweck, für den es vorgeschrieben wurde. Geben Sie anderen Menschen Fentora nicht, auch wenn sie die gleichen Symptome haben, die Sie haben. Fentora kann anderen Menschen schaden und sogar zum Tod führen. Das Teilen von Fentora ist gegen das Gesetz.
Dieser Medikamentenhandbuch fasst die wichtigsten Informationen über Fentora zusammen. Wenn Sie weitere Informationen wünschen, sprechen Sie mit Ihrem Gesundheitsdienstleister oder Apotheker. Sie können Ihren Apotheker oder Gesundheitsdienstleister um Informationen über Fentora bitten, die für Angehörige der Gesundheitsberufe geschrieben wurden.
Weitere Informationen zum TIRF REMS Access-Programm finden Sie unter www.tirfremsaccess.com oder telefonisch unter 1-866-822-1483.
Was sind die Zutaten in Fentora?
Wirkstoff: Fentanylcitrat
Inaktive Zutaten: MANNITOL -Natriumstärkeglykolat -Natriumbicarbonat -Natriumcarbonat -Zitronensäure und Magnesiumstearat.
Patientenanweisungen zur Verwendung
Bevor Sie Fentora verwenden, ist es wichtig, dass Sie den Medikamentenhandbuch und diese Anweisungen zur Verwendung lesen. Stellen Sie sicher, dass Sie verstehen und befolgen Sie diese Anweisungen für die Verwendung, damit Sie Fentora richtig verwenden. Fragen Sie Ihren Gesundheitsdienstleister oder Apotheker, wenn Sie Fragen zur richtigen Möglichkeit haben, Fentora zu verwenden.
Wenn Sie eine Episode von Durchbruchkrebsschmerzen erhalten, verwenden Sie die Dosis Fentora, die Ihr Gesundheitsdienstleister wie folgt verschrieben hat:
- Mentor comes packaged as a blister card containing 4 blister units. Each blister unit contains 1 Mentor tablet. Do not open a blister until ready to use.
- Trennen Sie eine der Blaseneinheiten von der Blisterkarte, indem Sie bei den Perforationen auseinander reißen. Biegen Sie die Blaseneinheit entlang der angezeigten Linie. Die Produktstärke Ihrer Fentora -Tablets wird in dem als (siehe Abbildung 1) gezeigten Boxbereich gedruckt.
Abbildung 1
- Schälen Sie die Folie der Blaseneinheit zurück, um Tablette freizulegen (siehe Abbildung 2).
Abbildung 2
- Schieben Sie die Tablette nicht durch die Folie auf der Blaseneinheit, da dies das Tablet beschädigen kann.
- Wenn Sie aus dem Fentora -Tablet aus der Blaseneinheit entfernt werden, müssen Sie sofort verwendet werden.
- Verwenden Sie Ganze Fentora -Tabletten.
- Zerquetschen Sie keine Split -Saugen oder kauen Sie Fentora -Tabletten oder schlucken Sie die Tabletten ganz ab. Sie erhalten weniger Erleichterung für Ihre Durchbruchsschmerzen.
- Sie können ein Fentora -Tablet platzieren:
- In Ihrem Mund über einem hinteren Molarenzahn zwischen der oberen Wange und dem Zahnfleisch (siehe Abbildung 3). Schalten Sie für jede Dosis (alternativ) die Seiten Ihres Mundes.
Abbildung 3
ODER
-
- Auf dem Boden Ihres Mundes unter Ihrer Zunge (siehe Abbildungen 4a 4b 4c 4d).
- Wenn Sie die Tablette unter Ihre Zunge legen, heben Sie zuerst Ihre Zunge (4B) an, dann legen Sie die Tablette unter Ihre Zunge (4C) und senken Sie Ihre Zunge über das Tablet (4D).
Abbildung 4A Abbildung 4B 4C und Abbildung 4D
- Lassen Sie die Tablette an Ort und Stelle, bis es sich auflöst. Eine Fentora -Tablette dauert in der Regel zwischen 14 und 25 Minuten.
- Nach 30 Minuten, wenn Fentora in Ihrem Mund übrig ist, trinken Sie möglicherweise ein Glas Wasser, damit Sie die übrig gebliebene Medizin schlucken können.
- Wenn Sie Fentora nicht auf diese Weise verwenden können, teilen Sie Ihrem Gesundheitsdienstleister nicht ein. Ihr Gesundheitsdienstleister wird Ihnen sagen, was zu tun ist.
Dieser Medikamentenführer wurde von der US -amerikanischen Food and Drug Administration zugelassen.