Die Informationen Auf Dieser Website Stellen Keine Medizinische Beratung Dar. Wir Verkaufen Nichts. Die Richtigkeit Der Übersetzung Wird Nicht Garantiert. Haftungsausschluss
Antimykotika, topisch
Nizoral
Drogenzusammenfassung
Was ist Nizoral?
Nizoral (Ketoconazol) ist ein Antimykotika -Mittel, das für die Behandlung der folgenden systemischen Pilzinfektionen angegeben ist: Candidiasis chronische mukokutane Candidiasis Oral Thrush Candiduria Blastomykose Coccidioidomykose Histoplasmose Chromomykose und Paracoccidioidomykose.
Was sind Nebenwirkungen von Nizoral?
Zu den häufigen Nebenwirkungen von Nizoral gehören:
- Brechreiz
- Erbrechen
- Magenschmerzen
- Juckreiz oder Hautausschlag
- Kopfschmerzen
- Schwindel
- Brustschwellung
- Impotenz oder
- Interesse an Sex.
Sagen Sie Ihrem Arzt, wenn Sie ernsthafte Nebenwirkungen von Nizoral haben, einschließlich:
- Vision ändert sich oder
- geistige/stimmige Veränderungen (wie Depressionsgedanken an Selbstmord).
Dosierung für Nizoral
Die empfohlene erwachsene Startdosis nizoraler Tabletten ist eine einzige tägliche Verabreichung von 200 mg (eine Tablette).
Welche Drogensubstanzen oder Nahrungsergänzungsmittel interagieren mit Nizoral?
Nizoral kann mit Paracetamol Cyclosporin clopidogrel digoxin tacrolimus loratadin methylprednisolon phenytoin rifampin orales Diabetes Medikamente Sedativen Blutverdünnungskrebs Krebs Medikamente Gebietsumschüsse oder Hormon Ersatztherapie Methotrexat methotrexat interagieren Cholesterin Medikamente oder Medikamente zu behandeln HIV oder AIDS . Tell your doctoder all medications Und supplements you use.
Nizoral während der Schwangerschaft und Stillen
Sagen Sie Ihrem Arzt, wenn Sie schwanger sind oder planen, während der Behandlung mit Nizoral schwanger zu werden. Es ist nicht bekannt, ob es einem Fötus schädigen wird. Nizoral kann in Muttermilch übergehen und einem stillenden Baby schaden. Wenden Sie sich vor dem Stillen an Ihren Arzt.
Weitere Informationen
Unsere Nizoral -Nebenwirkungen Arzneimittelzentrum bietet einen umfassenden Überblick über verfügbare Arzneimittelinformationen über die potenziellen Nebenwirkungen bei der Einnahme dieses Medikaments.
FDA -Drogeninformationen
- Drogenbeschreibung
- Indikationen
- Nebenwirkungen
- Wechselwirkungen mit Arzneimitteln
- Warnungen
- Vorsichtsmaßnahmen
- Überdosis
- Klinische Pharmakologie
- Medikamentenhandbuch
WARNUNG
Nizoral® -Tabletten sollten nur angewendet werden, wenn eine andere wirksame Antimykotika -Therapie nicht verfügbar oder toleriert ist und die potenziellen Vorteile die potenziellen Risiken überwiegen.
Hepatotoxizität
Eine schwerwiegende Hepatotoxizität, einschließlich Fälle mit einem tödlichen Ergebnis oder der erforderlichen Lebertransplantation, ist bei der Verwendung von oralem Ketoconazol aufgetreten. Einige Patienten hatten keine offensichtlichen Risikofaktoren für Lebererkrankungen. Patienten, die dieses Medikament erhalten, sollten vom Arzt über das Risiko informiert und genau überwacht werden. Sehen WARNUNGS Abschnitt.
QT -Verlängerung und Arzneimittelwechselwirkungen, die zur QT -Verlängerung führen
Die gleichzeitige Verabreichung der folgenden Medikamente mit Ketoconazol ist kontraindiziert: Dofetilid-Chinidin-Pimozid-Cisaprid. Ketoconazol kann erhöhte Plasmakonzentrationen dieser Arzneimittel verursachen und die QT-Intervalle verlängern, die manchmal zu lebensbedrohlichen ventrikulären Dysrhythmien wie Torsades de Pointes führen. Sehen Kontraindikationen WARNUNGS Und VORSICHTSMASSNAHMEN : Wechselwirkungen mit Arzneimitteln Abschnitte.
Beschreibung für Nizoral
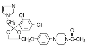
Nizoral® ist ein synthetisches Breitband-Antimykotika-Mittel, das in bewerteten weißen Tabletten erhältlich ist, die jeweils 200 mg Ketoconazol-Basis für die orale Verabreichung enthalten. Inaktive Inhaltsstoffe sind kolloidale Siliziumdioxid -Maisstärke -Laktose -Magnesium -Stearat -mikrokristallines Cellulose und Povidon. Ketoconazol ist cis-1-acetyl-4- [4-[2- (24dichlorphenyl) -2- (1H-Imidazol-1-ylmethyl) -13-dioxolan-4-yl] methoxyl] Phenyl] Piperazin und hat die folgende strukturelle Formel:
|
Ketoconazol ist ein weißes bis leichtes, geruchloser Pulver, der in Säuren mit einem Molekulargewicht von 531,44 löslich ist.
Verwendung für Nizoral
Nizoral® -Tabletten sollten nur angewendet werden, wenn eine andere wirksame Antimykotika -Therapie nicht verfügbar oder toleriert ist und die potenziellen Vorteile die potenziellen Risiken überwiegen.
Nizoral® (Ketoconazol) -Tabletten sind für die Behandlung der folgenden systemischen Pilzinfektionen bei Patienten angezeigt, die versagt haben oder gegenüber anderen Therapien intolerant sind: Blastomykose Coccidioidomykose Histoplasmosechromomykose und parakokzidioidomykose. Nizoral® -Tabletten sollten nicht für Pilzmeningitis verwendet werden, da es schlecht in die Cerebrospinalflüssigkeit eindringt.
Dosierung für Nizoral
Vor Beginn der Ketoconazol -Therapie sollte es Labor- und klinische Infektionsdokumentation geben. Die übliche Therapiedauer für systemische Infektionen beträgt 6 Monate. Die Behandlung sollte fortgesetzt werden, bis eine aktive Pilzinfektion nachgelassen hat.
Erwachsene
Die empfohlene Startdosis von Nizoral® (Ketoconazol) -Tabletten ist eine einzige tägliche Verabreichung von 200 mg (ein Tablet). Wenn die klinische Reaktionsfähigkeit innerhalb der erwarteten Zeit nicht ausreicht, kann die Dosis von Nizoral® -Tabletten einmal täglich auf 400 mg (zwei Tabletten) erhöht werden.
Kinder
Bei geringen Anzahl von Kindern über 2 Jahre wurde eine einzige tägliche Dosis von 3,3 bis 6,6 mg/kg verwendet. Nizoral® -Tablets wurden bei Kindern unter 2 Jahren nicht untersucht.
Wie geliefert
Nizoral® (Ketoconazol) ist als weiß erzielte Tabletten mit 200 mg Ketoconazol -Debossed Janssen und auf der Rückseite von Nizoral aus der Rückseite erhältlich. Sie werden in Flaschen mit 100 Tabletten geliefert ( NDC 50458-220-10).
Lagern Sie bei kontrollierter Raumtemperatur 15 ° -25 ° C (59 ° -77 ° F).
Vor Feuchtigkeit schützen.
Amsterdam 5-Tages-Reiseplan
Außerhalb der Reichweite von Kindern.
Janssen Pharmaceuticals Inc Titusville New Jersey 08560. Überarbeitet: Juli 2013
Nebenwirkungen foder Nizoderal
Da klinische Studien unter stark unterschiedlichen Bedingungen durchgeführt werden, die in den klinischen Studien eines Arzneimittels beobachtet werden, können in den klinischen Studien eines anderen Arzneimittels nicht direkt mit den Raten verglichen werden und spiegeln möglicherweise nicht die in der Praxis beobachteten Raten wider.
In klinischen Studien wurden die folgenden nachteiligen Reaktionen gemeldet:
Störungen des Immunsystems: Anaphylaktoidreaktion
Endokrine Störungen: Gynäkomastie
Stoffwechsel- und Ernährungsstörungen: Alkoholunverträglichkeit Anorexie Hyperlipidämie erhöhte den Appetit
Psychiatrische Störungen: Schlaflosigkeit Nervosität
Störungen des Nervensystems: Kopfschmerzen Schwindel paresthesia somnolence
Augenstörungen: Photophobie
Gefäßstörungen: oderthostatic hypotension
Atemstörungen für Brust- und Mediastinalerkrankungen: Epistaxis
Magen -Darm -Störungen: Erbrechen diarrhea Brechreiz constipation abdominal pain abdominal pain upper dry mouth dysgeusia dyspepsia flatulence tongue discoloderation
Lebererkrankungen: Hepatitis -Gelbsucht hepatische Funktion abnormal
Haut- und subkutane Gewebeerkrankungen: Erythema Multiforme -Ausschlag Dermatitis Erythema Urticaria pruritus alopecia xeroderma
Muskuloskelett- und Bindegewebestörungen: Myalgie
Fortpflanzungssystem und Bruststörungen: Menstruationsstörung
Allgemeine Störungen und Verwaltungsortbedingungen: Asthenie Müdigkeit heiße Flush -Unwohlsein Ödemödeme periphere Pyrexie -Chills -Untersuchungen: Die Thrombozytenzahl nahm ab.
Nachmarkterfahrung
Die folgenden nachteiligen Reaktionen wurden während der Verwendung von Nizoral -Tablets nach der Anbetung identifiziert. Da diese Reaktionen freiwillig aus einer Population unsicherer Größe berichtet werden, ist es nicht immer möglich, ihre Häufigkeit zuverlässig abzuschätzen oder ein kausales Verhältnis zur Arzneimittelexposition herzustellen.
Die folgenden nachteiligen Reaktionen wurden während der Nachmarkterfahrung gemeldet:
Blut- und Lymphsystemstörungen: Thrombozytopenie
Störungen des Immunsystems: Allergische Erkrankungen einschließlich anaphylaktischer Schock -anaphylaktischer Reaktion angioneurotisches Ödem
Endokrine Störungen: Adrenokortikalinsuffizienz
Störungen des Nervensystems: Der reversible intrakranielle Druck nahm zu (z. B. Papilloödem -Fontanelle, die bei Säuglingen wölbte)
Lebererkrankungen: Schwere Hepatotoxizität, einschließlich hepatitis cholestatischer Biopsie-konfitierter Lebernekrose-Zirrhose-Leberversagen, einschließlich Fälle, die zu Transplantationen oder Tod führen
Haut und subkutane Gewebeerkrankungen: Akute verallgemeinerte exanthematische Pustulose -Photosensitivität
Muskuloskelett- und Bindegewebestörungen: Arthralgie
Fortpflanzungssystem und Bruststörungen: erektile Dysfunktion; mit Dosen höher als die empfohlene therapeutische Dosis von 200 oder 400 mg täglicher Azoospermie.
Wechselwirkungen mit Arzneimitteln foder Nizoderal
Arzneimittel, die den Absorptionsverteilungsstoffwechsel und die Ausscheidung von Ketoconazol beeinflussen, können die Plasmakonzentrationen von Ketoconazol verändern. Beispielsweise wurde gezeigt, dass Magensäure-Suppressiva (z. B. Histamin-H2-Blocker-Protonenpumpeninhibitoren von Antazida) die Plasmakonzentrationen von Ketoconazol verringern.
Ketoconazol ist ein Substrat und ein starker Inhibitor von CYP3A4. Daher können die folgenden Arzneimittelwechselwirkungen auftreten, wenn Nizoral® mit anderen Arzneimitteln, die mit CYP3A4 interagieren, gemeinsam verabreicht werden. (In Tabelle 1 und Tabelle 2 finden Sie einen Überblick über diese Arzneimittelinteraktionen; Details finden Sie in dem folgenden Text, der diese Tabellen folgt.)
- Nizoral® kann die durch CYP3A4 metabolisierte Eliminierung von Arzneimitteln verringern, wodurch ihre Plasmakonzentrationen erhöht werden. Eine erhöhte Exposition gegenüber diesen Medikamenten kann zu einer Erhöhung oder Verlängerung ihrer therapeutischen und/oder nachteiligen Wirkungen führen. Die gleichzeitige Verwendung mit Nizoral® -Tabletten ist für Arzneimittel kontraindiziert, von denen bekannt ist WARNUNG BOXED Kontraindikationen Abschnitt und Tabelle 1). Für andere Überwachung der Plasmakonzentrationen wird nach Möglichkeit empfohlen. Klinische Anzeichen und Symptome, die mit diesen Medikamenten verbunden sind, sollten nach Bedarf mit einer Dosierung überwacht werden.
- Induktoren von CYP3A4 können die Plasmakonzentrationen von Ketoconazol verringern (siehe Tabelle 2). Nizoral® ist möglicherweise nicht wirksam bei Patienten, die eines dieser Medikamente einnehmen. Daher wird die Verabreichung dieser Arzneimittel mit Nizoral® nicht empfohlen.
- Andere Inhibitoren von CYP3A4 können die Plasmakonzentrationen von Ketoconazol erhöhen (siehe Tabelle 2). Patienten, die Nizoral® gleichzeitig mit einem dieser Medikamente einnehmen müssen, sollten genau auf Anzeichen oder Symptome einer erhöhten oder verlängerten pharmakologischen Wirkungen von Nizoral® überwacht werden.
Tabelle 1: Ausgewählte Arzneimittel, die nachgewiesen wurden, dass ihre Plasmakonzentrationen durch Nizoral®* verändert sind
| Die systemische Exposition gegenüber diesen Arzneimitteln wird durch Zugabe von Ketoconazol signifikant erhöht: Die gleichzeitige Verwendung mit Ketoconazol ist kontraindiziert. | |
| Alprazolam Midazolam Triazolam | HMG-CoA-Reduktase-Inhibitoren (Lovastatin Simvastatin) |
| Cisapride | Nisoldipin |
| Dofetils | Pimozid |
| EPleerenon | Chinidin |
| Ergot -Alkaloide (Ergotamin Dihydroergotamin) | |
| Die systemische Exposition gegenüber diesen Arzneimitteln wird durch Ketoconazol erhöht: Eine sorgfältige Überwachung mit einer möglichen Anpassung der Dosierung wird empfohlen. | |
| Alfentanil Fentanylsulfentanil | Indinavir Saquinavir |
| Amlodipin -Felodipin -Nifedipin -Nifedipin | Methylprednisolon |
| Bosentan | Rifabutin |
| Buspiron | Sildenafil |
| Geschäft | Sirolimus (gleichzeitige Verabreichung nicht empfohlen) |
| Carbamazepin | Tacrolimus |
| Cilostazol | Telithromycin |
| Cyclosporin | Tolterodin |
| Digoxin | Trimetrexate |
| Docetaxel paclitaxel | Verapamil |
| Orale Antikoagulanzien | Vinca -Alkaloide (Vincristin - Vinblastin Vinorelbine) |
| * Diese Liste ist nicht all-inclusive. |
Tabelle 2: Ausgewählte Medikamente, die gezeigt wurden oder voraussichtlich die Plasmakonzentration von Nizoral® verändern oder verändern
| Die systemische Exposition gegenüber Ketoconazol wird durch diese Medikamente signifikant reduziert: Die gleichzeitige Verwendung mit Ketoconazol wird nicht empfohlen. | |
| Carbamazepin | Phable |
| Magensäureunterdrückung (Antazida-Antimuskarinik-Histamin-H2-Blocker-Protonenpumpen-Inhibitoren Sucralfat) | Rifampin Rifabutin Isoniazid |
| Nevirapin | |
| Die systemische Exposition gegenüber Ketoconazol wird durch dieses Medikament signifikant erhöht: Die Dosisreduktion von Ketoconazol sollte berücksichtigt werden | |
| Ritonavir | |
| * Diese Liste ist nicht all-inclusive. |
Auswirkungen von Ketoconazol auf andere Medikamente
Die systemische Exposition gegenüber folgenden Arzneimitteln wird durch gleichzeitige Verabreichung von Ketoconazol signifikant erhöht. Die gleichzeitige Verwendung dieser Medikamente mit Nizoral® -Tabletten ist kontraindiziert:
Alprazolam Midazolam Triazolam
Die gleichzeitige Verabreichung von Nizoral®-Tabletten mit Alprazolam Midazolam oder Triazolam hat zu erhöhten Plasmakonzentrationen dieser Medikamente geführt. Dies kann hypnotische und beruhigende Effekte potenzieren und verlängern, insbesondere bei wiederholten oder chronischen Verabreichung dieser Wirkstoffe. Die gleichzeitige Verabreichung von Nizoral® -Tabletten mit Alprazolam oralem Midazolam und oralem Triazolam ist kontraindiziert. (Sehen Kontraindikationen Und WARNUNGS Abschnitte.) Special precaution Und patient monitodering are required with concomitant parenteral midazolam because the sedative effect may be prolonged.
Cisapride
Orales Ketoconazol hemmt den Cisaprid-Metabolismus stark, was zu einem durchschnittlichen achtfachen Anstieg der AUC von Cisaprid führt, die zu einer Verlängerung des QT-Intervalls führen kann. Daher ist eine gleichzeitige Verabreichung von Nizoral® -Tabletten mit Cisaprid kontraindiziert. (Sehen WARNUNG BOXED Kontraindikationen Und WARNUNGS Abschnitte.)
Dofetils
The class III antiarrhythmic dofetilide is known to prolong the QT interval. The potential increase in dofetilide plasma concentrations when administered concomitantly with ketoconazole could result in serious cardiovascular events including QTc prolongation and rare occurrences of torsades de pointes. Therefore concomitant administration of NIZORAL® Tablets with dofetilide is contraindicated. (See WARNUNG BOXED Kontraindikationen Und WARNUNGS Abschnitte.)
EPleerenon
Ketoconazol erhöht das EPLERENON AUC um ungefähr das Fünffache, wodurch das Risiko für Hyperkaliämie und Hypotonie erhöht wird. Die gleichzeitige Verabreichung von Nizoral® und EPLERENON ist kontraindiziert. (Sehen Kontraindikationen Abschnitt.)
Ergot -Alkaloide
Erhöhte Konzentrationen von Ergot -Alkaloiden können Ergotismus verursachen, d. H. Ein Risiko für Vasospasmus, die möglicherweise zu einer Gehirnsämie und/oder Ischämie der Extremitäten führen. Die gleichzeitige Verabreichung von Ergot -Alkaloiden wie Dihydroergotamin und Ergotamin mit Nizoral® -Tabletten ist kontraindiziert. (Sehen Kontraindikationen Abschnitt.)
HMG-CoA-Enzym-Inhibitoren (Lovastatin Simvastatin)
Die gleichzeitige Verabreichung von Ketoconazol mit CYP3A4-metabolisierten HMG-CoA-Reduktase-Inhibitoren wie Simvastatin und Lovastatin kann das Risiko einer Skelettmuskeltoxizität einschließlich Rhabdomyolyse erhöhen. Die gleichzeitige Verabreichung von Nizoral®-Tabletten mit diesen HMG-CoA-Reduktase-Inhibitoren ist kontraindiziert. (Sehen Kontraindikationen Und WARNUNGS Abschnitte.)
Nisoldipin
Die Vorbehandlung und eine gleichzeitige Verabreichung von Ketoconazol führte zu einem 24-fachen und einem 11-fachen Anstieg der mittleren AUC und des Cmax von Nisoldipin im Vergleich zur Behandlung mit Nisoldipin nur 5 mg. Die gleichzeitige Verabreichung von Ketoconazol mit Nisoldipin ist kontraindiziert. (Sehen Kontraindikationen Abschnitt.)
Pimozid
Pimozid is known to prolong the QT interval Und is partially metabolized by CYP3A4. Co-administration of Nizoral® Und pimozide could result in serious cardiovascular events including QTc prolongation Und rare occurrences of todersades de pointes Und is therefodere contraindicated. (See WARNUNG BOXED Kontraindikationen Und WARNUNGS Abschnitte.)
Chinidin
The class IA antiarhythmic quinidine is known to prolong the QT interval. The potential increase in quinidine plasma concentrations when administered concomitantly with ketoconazole could result in serious cardiovascular events including QTc prolongation and rare occurrences of torsades de pointes. Therefore concomitant administration of NIZORAL® Tablets with quinidine is contraindicated. (See WARNUNG BOXED Kontraindikationen Und WARNUNGS Abschnitte.)
Die gleichzeitige Verabreichung von Ketoconazol mit den folgenden Wirkstoffen wurde gezeigt oder wird zu einer erhöhten Exposition gegenüber diesen Medikamenten führen. Daher wird eine sorgfältige Überwachung der Plasmakonzentrationen oder unerwünschten Ereignisse dieser Arzneimittel empfohlen. Eine Anpassung der Dosierung dieser Medikamente kann erforderlich sein.
Alfentanil Sufentanil Fentanyl
In -vitro -Daten legen nahe, dass Alfentanil Sufentanil und Fentanyl durch CYP3A4 metabolisiert werden. Die gleichzeitige Verabreichung von Nizoral® -Tabletten und Alfentanil Sufentanil oder Fentanyl kann die Plasmakonzentrationen der letzteren Medikamente erhöhen.
Amlodipin -Felodipin -Nifedipin -Nifedipin
CYP3A4-Calciumkanalblocker wie Amlodipin-Felodipin-Nicardipin und Nifedipin sollten mit Nizoral®-Tabletten mit Nizoral®-Tabletten verwendet werden, da Ketoconazol die Plasmakonzentrationen dieser Calciumkanalblocker zu mehrfacher FALT-Anstieg verursachen können.
Bosentan
Die gleichzeitige Verabreichung von Ketoconazol erhöhte den Cmax und die AUC von Bosentan 2,1- bzw. 2,3-. Es ist keine Dosierungsanpassung von Bosentan erforderlich, aber eine enge Überwachung auf erhöhte bosentanassoziierte Nebenwirkungen wird empfohlen.
Buspiron
Die gleichzeitige Verabreichung von Buspiron mit Ketoconazol kann zu signifikanten Erhöhungen der Plasmakonzentrationen von Buspiron führen. Bei der Verabreichung mit Nizoral® -Tabletten wird empfohlen, eine niedrige anfängliche Buspirondosis mit anschließender Dosierungsanpassung auf der Grundlage der klinischen Beurteilung zu empfehlen.
Geschäft
Nizoral® -Tabletten können den Clearance verringern und somit die systemische Exposition gegenüber Busulfan erhöhen.
Carbamazepin
Vergeblich Studien haben eine Zunahme der Plasma -Carbamazepin -Konzentrationen bei Probanden gezeigt, die gleichzeitig Ketoconazol erhalten. Eine genaue Überwachung der Plasma -Carbamazepin -Konzentrationen wird empfohlen, wenn Patienten, die bei der Carbamazepin -Therapie stabilisiert sind, Ketoconazol verabreicht wird.
Cilostazol Ketoconazole had been shown to increase both cilostazol AUC Und Cmax by about two-fold when administered concurrently. Co-administration of ketoconazole with cilostazol resulted in increased incidences of adverse effects such as Kopfschmerzen. When Nizoral® Tablets is administered concomitantly with cilostazol the prescriber should consider up to a 50% reduction in cilostazol dosage.
Cyclosporin
Ketoconazol -Tabletten können den Metabolismus von Cyclosporin verändern, wodurch zu erhöhten Cyclosporin -Plasmakonzentrationen führen. Eine Dosierungsanpassung kann erforderlich sein, wenn Cyclosporin oder Tacrolimus gleichzeitig mit Nizoral® -Tabletten verabreicht werden.
Digoxin
Es wurde seltene Fälle von erhöhten Plasmakonzentrationen von Digoxin berichtet. Es ist nicht klar, ob dies auf die Kombination der Therapie zurückzuführen ist. Es ist daher ratsam, die Digoxinkonzentrationen bei Patienten zu überwachen, die Ketoconazol erhalten.
Docetaxel
In Gegenwart von Ketoconazol wurde gezeigt, dass die Clearance von Docetaxel bei Krebspatienten um 50%abnimmt. Wenn Docetaxel und Nizoral® zusammen verabreicht werden, kann eine Dosierungsreduzierung in Docetaxel erforderlich sein, um die Inzidenz von mit Docetaxel verbundenen Toxizitäten zu minimieren.
Indinavir Saquinavir
Die gleichzeitige Verabreichung von Nizoral® und Protease -Inhibitoren, die durch CYP3A4 wie Indinavir und Saquinavir metabolisiert wurden, können die Plasmakonzentrationen dieser Proteaseinhibitoren erhöhen. Die Reduktion von Indinavir wird bei der Verabreichung von Ketoconazol gleichzeitig empfohlen. Es werden keine Dosierungsanpassungen empfohlen, wenn Saquinavir und Ketoconazol für einen kurzen Zeitraum koadministeriert werden.
Methylprednisolon
Nizoral® -Tabletten können den Metabolismus von Methylprednisolon verändern, was zu erhöhten Plasmakonzentrationen von Methylprednisolon führt. Es können Dosisanpassungen erforderlich sein, wenn Methylprednisolon gleichzeitig mit Nizoral® -Tabletten verabreicht wird.
Orale Antikoagulanzien
Orale Imidazolverbindungen wie Ketoconazol können die antikoagulante Wirkung von cumarinähnlichen Arzneimitteln verbessern, weshalb die antikoagulante Wirkung sorgfältig titriert und überwacht werden sollte.
Orale hypoglykämische Wirkstoffe
Weil schwerwiegend Hypoglykämie wurde bei Patienten berichtet, die gleichzeitig orale Miconazol (ein Imidazol) und orale Hypoglykämika erhalten, eine solche potenzielle Wechselwirkung, an der die letzteren Wirkstoffe beteiligt sind, wenn sie gleichzeitig mit Ketoconazol -Tabletten (ein Imidazol) verwendet werden, kann nicht ausgeschlossen werden.
ist Naproxen 500 mg ein Betäubungsmittel
Rifabutin
Es wurde gezeigt, dass Ketoconazol den CYP-vermittelten Metabolismus von Rifabutin in vitro hemmt. Die gleichzeitige Verabreichung mit Nizoral®-Tabletten kann zu erhöhten Plasmakonzentrationen von Rifabutin führen.
Sildenafil
Es wurde gezeigt, dass Ketoconazol die Sildenafil -Plasmakonzentrationen erhöht. Bei gleichzeitig mit Nizoral® -Tabletten verwendet sollte eine 50% ige Verringerung der Sildenafil -Startdosis in Betracht gezogen werden.
Sirolimus
Es wurde gezeigt, dass Multiple-dosierte Ketoconazol Sirolimus cmax und AUC um das 4,3-fache bzw. 10,9-fach erhöhte. Die gleichzeitige Verwendung von Nizoral® -Tablets und Sirolimus wird nicht empfohlen.
Tacrolimus
Es wurde gezeigt, dass Ketoconazol die orale Clearance von Tacrolimus verringert und dadurch zu einer zweifachen Zunahme der oralen Bioverfügbarkeit von Tacrolimus führte. Eine Anpassung der Tacrolimus -Dosierung kann erforderlich sein, wenn Tacrolimus gleichzeitig mit Nizoral® -Tabletten verabreicht wird.
Telithromycin
Ketoconazol erhöhte die AUC von Telithromycin um 1,5 bis 2-fach. Verwalten Sie bei der Verabreichung von Telithromycin gleichzeitig mit Nizoral® -Tablets, da dies zu einem erhöhten Risiko für Telithromycin -assoziierte unerwünschte Ereignisse führen kann.
Tolterodin
In Gegenwart von Ketoconazol nahm die scheinbare orale Clearance von Tolterodin ab, was zu mindestens zweifachem Anstieg des Tolterodins führte. Bei Patienten, die Ketoconazol erhalten, wird empfohlen, eine 50% ige Verringerung der anfänglichen Tolterodin -Dosierung zu reduzieren.
Trimetrexate
In vitro Daten legen nahe, dass Trimetrexat durch CYP3A4 ausführlich metabolisiert wird. In -vitro -Tiermodelle haben gezeigt, dass Ketoconazol den Metabolismus von Trimetrexat wirksam hemmt. Patienten, die gleichzeitig mit Trimetrexat- und Nizoral®-Tabletten behandelt werden, sollten sorgfältig auf Trimetrexat-assoziierte Toxizitäten überwacht werden.
Verapamil
Ergebnisse von in vitro Stoffwechselstudien zeigen, dass Verapamil durch Enzyme einschließlich CYP3A4 metabolisiert wird. Ketoconazol kann die Verapamil -Serumkonzentrationen erhöhen. Bei der gemeinsamen Verabschiedung von Verapamil mit Nizoral®-Tabletten ist Vorsicht genommen.
Vinca -Alkaloide (Vincristin Vinblastin Vinorelbine)
Nizoral® kann den Metabolismus von Vinca -Alkaloiden hemmen, die durch CYP3A4 metabolisiert wurden. Eine enge Überwachung der mit Vincristin-Vinblastin oder Vinorelbine im Zusammenhang mit Vincristin im Zusammenhang mit Nizoral®-Tabletten zusammengeborenen Vinorelbine wird empfohlen.
Auswirkungen anderer Arzneimittel auf Ketoconazol
Medikamente, die die Absorption von Ketoconazol beeinflussen
Magensäureunterdrücker/Neutralisatoren
Studien haben gezeigt, dass die Absorption von Ketoconazol beeinträchtigt ist, wenn die Magensäureproduktion verringert wird. Reduzierte Plasmakonzentrationen von Ketoconazol wurden berichtet, wenn Nizoral®-Tabletten mit Antaci-Antimuskarinik-Histamin-H2-Blockern-Protonenpumpeninhibitoren (Omeprazol Lansoprazol) und Sucralfat verabreicht wurden. (Sehen Wechselwirkungen mit Arzneimitteln (Allgemeiner) Abschnitt.)
Medikamente, die gezeigt oder erwartet werden, dass die systemische Exposition gegenüber Ketoconazol signifikant verringert wird
Die gleichzeitige Verabreichung von Ketoconazol mit potenten CYP3A4-Enzym-Induktoren wird nicht empfohlen.
Carbamazepin
Die gleichzeitige Verabreichung von Ketoconazol -Tabletten mit Carbamazepin kann den Stoffwechsel eines oder beiden Medikamente verändern. Eine enge Überwachung beider Plasmakonzentrationen von Carbamazepin und eine verringerte Wirksamkeit der Ketoconazol wird empfohlen.
Nevirapin
Ketoconazol AUC und CMAX nahmen bei HIV-infizierten Patienten, denen zwei Wochen lang eine Täglich von Ketoconazol 400 mg mit 400 mg 400 mg von Ketoconazol verabreicht wurde, um einen Median von 63% bzw. 40% ab. Die gleichzeitige Verabreichung von Nizoral® -Tabletten und Nevirapin wird nicht empfohlen.
Phable
Eine gleichzeitige Verabreichung von Ketoconazol mit Phenytoin kann den Metabolismus eines oder beiden Medikamente verändern. Eine enge Überwachung sowohl der Plasmakonzentrationen von Phenytoin als auch der verringerten Wirksamkeit von Nizoral® -Tabletten wird empfohlen.
Rifampin Rifabutin Isoniazid
Die gleichzeitige Verabreichung von Rifampin und Rifabutin mit Ketoconazol -Tabletten verringert die Blutkonzentrationen des letzteren. Es wurde auch berichtet, dass INH (Isoniazid) die Ketoconazolkonzentrationen nachteilig beeinflusst. Diese antituberkulären Medikamente sollten nicht gleichzeitig mit Nizoral® -Tabletten verabreicht werden.
Medikamente, die die systemische Exposition gegenüber Ketoconazol erheblich erhöhen
Ritonavir
Es wurde gezeigt, dass die gleichzeitige Verabreichung von Ritonavir mit Ketoconazol -Tabletten erhöht, die orale Bioverfügbarkeit von Ketoconazol erhöht. Daher dürfen keine höheren Dosen (> 200 mg/Tag) von Nizoral® -Tabletten verwendet werden, wenn Ritonavir gleichzeitig höhere Dosen (> 200 mg/Tag) verabreicht werden.
Andere Wechselwirkungen mit Arzneimitteln
Alkohol
Es wurde seltene Fälle einer disulfiramähnlichen Reaktion auf Alkohol berichtet. Diese Erfahrungen wurden durch spügende Haut Übelkeit und Kopfschmerzen in der Peripherieödeme und durch Kopfschmerzen gekennzeichnet. Die Symptome wurden innerhalb weniger Stunden aufgelöst.
Loratadin
Nach der gleichzeitigen Verabreichung von 200 mg oralem Ketoconazol zweimal täglich und eine 20 mg Dosis Loratadin an 11 Probanden betrugen die AUC und Cmax von Loratadin durchschnittlich 302% (± 142 S.D.) bzw. 251% (± 68 S.D.) der nach Cotreatments mit Place mit Place mit Placeboard erhaltenen. Die AUC und Cmax von Descarboethoxyloratadin und aktiven Metaboliten betrug durchschnittlich 155% (± 27 S.D.) bzw. 141% (± 35 S.D.). In der QTC auf EKG wurden jedoch keine verwandten Änderungen festgestellt, die nach der gemeinsamen Verabreichung von 2 6 und 24 Stunden eingenommen wurden. Es gab auch keine klinisch signifikanten Unterschiede in unerwünschten Ereignissen, wenn Loratadin mit oder ohne Ketoconazol verabreicht wurde.
Warnungen foder Nizoderal
Nizoral® -Tabletten sollten nur angewendet werden, wenn eine andere wirksame Antimykotika -Therapie nicht verfügbar oder toleriert ist und die potenziellen Vorteile die potenziellen Risiken überwiegen.
Hepatotoxizität
Eine schwerwiegende Hepatotoxizität, einschließlich Fälle mit einem tödlichen Ergebnis oder der erforderlichen Lebertransplantation, ist bei der Verwendung von oralem Ketoconazol aufgetreten. Einige Patienten hatten keine offensichtlichen Risikofaktoren für Lebererkrankungen. Eine schwerwiegende Hepatotoxizität wurde sowohl von Patienten berichtet, die hohe Dosen für kurze Behandlungsdauern erhielten, als auch von Patienten, die für lange Dauern niedrige Dosen erhielten.
Die Leberverletzung war bei Abbruch der Behandlung mit Nizoral® -Tabletten normalerweise aber nicht immer reversibel. Es wurden Fälle von Hepatitis bei Kindern gemeldet.
Zu Studienbeginn erhalten Sie Labortests (z. Patienten sollten während der Behandlung gegen den Alkoholkonsum geraten werden. Wenn möglich, sollten andere potenziell hepatotoxische Medikamente bei Patienten, die Nizoral® -Tabletten erhalten, vermieden werden.
Eine sofortige Erkennung einer Leberverletzung ist unerlässlich. Im Verlauf der Behandlung sollte Serum -Alt wöchentlich auf die Dauer der Behandlung überwacht werden. Wenn die Altwerte auf ein Niveau über der Obergrenze von Normal oder 30 Prozent über der Basislinie steigen oder wenn der Patient Symptome entwickelt, sollte die Behandlung mit Ketoconazol unterbrochen und ein vollständiger Satz von Lebertests erhalten werden. Lebertests sollten wiederholt werden, um die Normalisierung der Werte sicherzustellen. Hepatotoxizität wurde mit dem Neustarten oraler Ketoconazol (Wiederaufladung) berichtet. Wenn beschlossen wird, orale Ketoconazol neu zu starten, überwachen Sie den Patienten häufig, um eine wiederkehrende Leberverletzung aus dem Arzneimittel zu erkennen.
QT -Verlängerung und Arzneimittelwechselwirkungen, die zur QT -Verlängerung führen
Ketoconazol kann das QT -Intervall verlängern. Die gleichzeitige Verabreichung der folgenden Medikamente mit Ketoconazol ist kontraindiziert: Dofetilid-Chinidin-Pimozid und Cisaprid. Ketoconazol kann erhöhte Plasmakonzentrationen dieser Arzneimittel verursachen, die das QT-Intervall verlängern können, was manchmal zu lebensbedrohlichen ventrikulären Dysrhythmien wie Torsades de Pointes führt.
Nebenniereninsuffizienz
Nizoral® -Tabletten verringern die Nebennieren -Kortikosteroidsekretion bei Dosen von 400 mg und höher. Dieser Effekt wird nicht mit anderen Azolen geteilt. Die empfohlene Dosis von 200 mg - 400 mg täglich sollte nicht überschritten werden.
Die Nebennierenfunktion sollte bei Patienten mit Nebenniereninsuffizienz oder mit grenzüberschreitender Nebennierenfunktion und bei Patienten unter längerer Stresszeiträume (große Operationsintensivversorgung usw.) überwacht werden.
Nebenwirkungen im Zusammenhang mit nicht genehmigten Verwendungen
Ketoconazol wurde in hohen Dosen zur Behandlung von fortgeschrittenem Prostatakrebs und für das Cushing -Syndrom eingesetzt, wenn andere Behandlungsoptionen fehlgeschlagen sind. Die Sicherheit und Wirksamkeit von Ketoconazol wurde in diesen Umgebungen nicht festgelegt, und die Verwendung von Ketoconazol für diese Indikationen ist von der FDA nicht genehmigt.
In einer klinischen Studie mit 350 Patienten mit metastasierten Prostatkrebs wurden elf Todesfälle innerhalb von zwei Wochen nach der Behandlung mit hohen Dosen von Ketoconazol -Tabletten (1200 mg/Tag) berichtet. Es ist nicht möglich, aus den verfügbaren Informationen festzustellen, ob der Tod mit der Ketoconazol -Therapie oder der Nebenniereninsuffizienz bei diesen Patienten mit schwerer zugrunde liegender Erkrankung zusammenhängt.
Überempfindlichkeit
Die Anaphylaxie wurde nach der ersten Dosis gemeldet. Es wurden auch über mehrere Fälle von Überempfindlichkeitsreaktionen einschließlich Urtikaria berichtet.
Verbesserte Sedierung
Die gleichzeitige Verabreichung von Nizoral®-Tabletten mit oralem Midazolam oralem Triazolam oder Alprazolam hat zu erhöhten Plasmakonzentrationen dieser Arzneimittel geführt. Dies kann hypnotische und beruhigende Effekte potenzieren und verlängern, insbesondere mit wiederholten Dosierung oder chronischen Verabreichung dieser Wirkstoffe. Die gleichzeitige Verabreichung von Nizoral® -Tabletten mit oralem Triazolam oralem Midazolam oder Alprazolam ist kontraindiziert. (Sehen Kontraindikationen Und VORSICHTSMASSNAHMEN : Wechselwirkungen mit Arzneimitteln Abschnitte.)
Myopathie
Die gleichzeitige Verabreichung von CYP3A4-HMG-CoA-Reduktase-Inhibitoren wie Simvastatin und Lovastatin ist mit Nizoral®-Tabletten kontraindiziert. (Sehen Kontraindikationen Und VORSICHTSMASSNAHMEN : Wechselwirkungen mit Arzneimitteln Abschnitte.)
Vorsichtsmaßnahmen foder Nizoderal
Allgemein
Nizoral® -Tabletten wurde nachgewiesen, um das Serum -Testosteron niedriger zu machen. Sobald die Therapie mit Nizoral® -Tabletten abgesetzt wurde, kehren die Serum -Testosteronspiegel auf die Basiswerte zurück. Die Testosteronspiegel sind mit Dosen von 800 mg pro Tag beeinträchtigt und um 1600 mg pro Tag abgeschafft. Klinische Manifestationen verringerter Testosteronkonzentrationen können Gynäkomastie umfassen Impotenz Und oligospermia.
Informationen für Patienten
Patienten sollten angewiesen werden, alle Anzeichen und Symptome zu melden, die möglicherweise auf Leberfunktionsstörungen hinweisen, sodass angemessene biochemische Tests durchgeführt werden können. Solche Anzeichen und Symptome können ungewöhnliche Müdigkeits -Magersucht Übelkeit und/oder Erbrechensschmerzen umfassen Gelbsucht dunkler Urin oder blasse Stühle (siehe WARNUNGS Abschnitt).
Karzinogenese -Mutagenese -Beeinträchtigung der Fruchtbarkeit
Ketoconazol zeigte keine Anzeichen eines mutagenen Potentials, wenn sie mit dem bewertet wurden dominant Lethaler Mutationstest oder der Ames Salmonella mikrosomaler Aktivator -Assay. Ketoconazol war in einer 18-monatigen oralen Studie an Schweizer Albino-Mäusen oder einer 24-monatigen oralen Karzinogenitätsstudie an Wistar-Ratten bei Dosis von 5 20 und 80 mg/kg/Tag nicht krebserregend. Die hohe Dosis in diesen Studien betrug ungefähr 1x (Maus) oder 2x (Ratte) die klinische Dosis beim Menschen basierend auf einem mg/m² -Vergleich.
Schwangerschaft
Teratogene Wirkungen
Schwangerschaft Categodery C : Es wurde gezeigt, dass Ketoconazol in der Ratte teratogen ist (Sydactylia und Oligodactylia), wenn sie in der Ernährung bei 80 mg/kg/Tag angegeben ist (2 -mal so empfohlene maximale menschliche Dosis basierend auf Vergleiche der Körperoberfläche). Diese Effekte können jedoch mit dem Nachweis der Muttertoxizität der Mutter zusammenhängen, von denen auch bei diesem und höheren Dosisniveaus Beweise beobachtet wurden.
Es gibt keine angemessenen und gut kontrollierten Studien bei schwangeren Frauen. Nizoral® -Tabletten sollten während der Schwangerschaft nur dann verwendet werden, wenn der potenzielle Nutzen das potenzielle Risiko für den Fötus rechtfertigt.
Nichtteratogene Wirkungen
Es wurde auch festgestellt, dass Ketoconazol während des ersten Schwangerschaftstationstromesters in der Ernährung in Dosen von mehr als 80 mg/kg Embryotoxika in der Ratte angegeben ist.
Zusätzlich wurde bei Ratten, die während des dritten Schwangerschaftstrimesters orale Ketoconazol verabreicht wurden, eine Dystokie (schwierige Arbeitskräfte) festgestellt. Dies geschah, wenn Ketoconazol in Dosen von mehr als 10 mg/kg verabreicht wurde (etwa ein viertes die maximale menschliche Dosis basierend auf dem Vergleich der Körperoberfläche).
Wofür werden Baclofen -Medikamente verwendet?
Pflegemütter
Es wurde gezeigt, dass Ketoconazol in die Milch ausgeschieden wird. Mütter, die mit Nizoral® -Tabletten behandelt werden, sollten nicht stillen.
Pädiatrische Verwendung
Nizoral® -Tablets wurden bei Kindern jeden Alters nicht systematisch untersucht, und im Wesentlichen sind keine Informationen über Kinder unter 2 Jahren verfügbar. Nizoral® -Tabletten dürfen bei pädiatrischen Patienten nicht verwendet werden, es sei denn, der potenzielle Nutzen überwiegt die Risiken.
Überdosierungsinformationen für Nizoral
Bei akuter versehentlicher Überdosierung besteht die Behandlung aus unterstützenden und symptomatischen Maßnahmen. Innerhalb der ersten Stunde nach der Einnahme kann aktiviertes Holzkohle verabreicht werden.
Kontraindikationen für Nizoral
Wechselwirkungen mit Arzneimitteln
Die gleichzeitige Verabreichung einer Reihe von CYP3A4 -Substraten ist mit Nizoral® -Tabletten kontraindiziert. Die gleichzeitige Verabreichung mit Ketoconazol kann erhöhte Plasmakonzentrationen dieser Arzneimittel verursachen und sowohl therapeutische als auch nachteilige Wirkungen erhöhen oder verlängern. Beispielsweise können erhöhte Plasmakonzentrationen einiger dieser Medikamente zu einer QT -Verlängerung und zu ventrikulären Tachyarrhythmien führen, einschließlich des Auftretens von Torsades de weist eine potenziell tödliche Arrhythmie an. Sehen WARNUNGS Abschnitt und VORSICHTSMASSNAHMEN : Wechselwirkungen mit Arzneimitteln Abschnitt für spezifische Beispiele.
Lebererkrankung
Die Verwendung von Nizoral® -Tabletten ist bei Patienten mit akuter oder chronischer Lebererkrankung kontraindiziert.
Überempfindlichkeit
Nizoral® ist bei Patienten, die Überempfindlichkeit gegenüber dem Arzneimittel gezeigt haben, kontraindiziert.
Nebenwirkungen foder Nizoderal
Da klinische Studien unter stark unterschiedlichen Bedingungen durchgeführt werden, die in den klinischen Studien eines Arzneimittels beobachtet werden, können in den klinischen Studien eines anderen Arzneimittels nicht direkt mit den Raten verglichen werden und spiegeln möglicherweise nicht die in der Praxis beobachteten Raten wider.
In klinischen Studien wurden die folgenden nachteiligen Reaktionen gemeldet:
Störungen des Immunsystems: Anaphylaktoidreaktion
Endokrine Störungen: Gynäkomastie
Stoffwechsel- und Ernährungsstörungen: Alkoholunverträglichkeit Anorexie Hyperlipidämie erhöhte den Appetit
Psychiatrische Störungen: Schlaflosigkeit Nervosität
Störungen des Nervensystems: Kopfschmerzen Schwindel paresthesia somnolence
Augenstörungen: Photophobie
Gefäßstörungen: oderthostatic hypotension
Atemstörungen für Brust- und Mediastinalerkrankungen: Epistaxis
Magen -Darm -Störungen: Erbrechen diarrhea Brechreiz constipation abdominal pain abdominal pain upper dry mouth dysgeusia dyspepsia flatulence tongue discoloderation
Lebererkrankungen: Hepatitis -Gelbsucht hepatische Funktion abnormal
Haut- und subkutane Gewebeerkrankungen: Erythema Multiforme -Ausschlag Dermatitis Erythema Urticaria pruritus alopecia xeroderma
Muskuloskelett- und Bindegewebestörungen: Myalgie
Fortpflanzungssystem und Bruststörungen: Menstruationsstörung
Wofür wird Neomycinsulfat verwendet?
Allgemeine Störungen und Verwaltungsortbedingungen: Asthenie Müdigkeit heiße Flush -Unwohlsein Ödemödeme periphere Pyrexie -Chills -Untersuchungen: Die Thrombozytenzahl nahm ab.
Nachmarkterfahrung
Die folgenden nachteiligen Reaktionen wurden während der Verwendung von Nizoral -Tablets nach der Anbetung identifiziert. Da diese Reaktionen freiwillig aus einer Population unsicherer Größe berichtet werden, ist es nicht immer möglich, ihre Häufigkeit zuverlässig abzuschätzen oder ein kausales Verhältnis zur Arzneimittelexposition herzustellen.
Die folgenden nachteiligen Reaktionen wurden während der Nachmarkterfahrung gemeldet:
Blut- und Lymphsystemstörungen: Thrombozytopenie
Störungen des Immunsystems: Allergische Erkrankungen einschließlich anaphylaktischer Schock -anaphylaktischer Reaktion angioneurotisches Ödem
Endokrine Störungen: Adrenokortikalinsuffizienz
Störungen des Nervensystems: Der reversible intrakranielle Druck nahm zu (z. B. Papilloödem -Fontanelle, die bei Säuglingen wölbte)
Lebererkrankungen: Schwere Hepatotoxizität, einschließlich hepatitis cholestatischer Biopsie-konfitierter Lebernekrose-Zirrhose-Leberversagen, einschließlich Fälle, die zu Transplantationen oder Tod führen
Haut und subkutane Gewebeerkrankungen: Akute verallgemeinerte exanthematische Pustulose -Photosensitivität
Muskuloskelett- und Bindegewebestörungen: Arthralgie
Fortpflanzungssystem und Bruststörungen: erektile Dysfunktion; mit Dosen höher als die empfohlene therapeutische Dosis von 200 oder 400 mg täglicher Azoospermie.
Wechselwirkungen mit Arzneimitteln foder Nizoderal
Arzneimittel, die den Absorptionsverteilungsstoffwechsel und die Ausscheidung von Ketoconazol beeinflussen, können die Plasmakonzentrationen von Ketoconazol verändern. Beispielsweise wurde gezeigt, dass Magensäure-Suppressiva (z. B. Histamin-H2-Blocker-Protonenpumpeninhibitoren von Antazida) die Plasmakonzentrationen von Ketoconazol verringern.
Ketoconazol ist ein Substrat und ein starker Inhibitor von CYP3A4. Daher können die folgenden Arzneimittelwechselwirkungen auftreten, wenn Nizoral® mit anderen Arzneimitteln, die mit CYP3A4 interagieren, gemeinsam verabreicht werden. (In Tabelle 1 und Tabelle 2 finden Sie einen Überblick über diese Arzneimittelinteraktionen; Details finden Sie in dem folgenden Text, der diese Tabellen folgt.)
- Nizoral® kann die durch CYP3A4 metabolisierte Eliminierung von Arzneimitteln verringern, wodurch ihre Plasmakonzentrationen erhöht werden. Eine erhöhte Exposition gegenüber diesen Medikamenten kann zu einer Erhöhung oder Verlängerung ihrer therapeutischen und/oder nachteiligen Wirkungen führen. Die gleichzeitige Verwendung mit Nizoral® -Tabletten ist für Arzneimittel kontraindiziert, von denen bekannt ist WARNUNG BOXED Kontraindikationen Abschnitt und Tabelle 1). Für andere Überwachung der Plasmakonzentrationen wird nach Möglichkeit empfohlen. Klinische Anzeichen und Symptome, die mit diesen Medikamenten verbunden sind, sollten nach Bedarf mit einer Dosierung überwacht werden.
- Induktoren von CYP3A4 können die Plasmakonzentrationen von Ketoconazol verringern (siehe Tabelle 2). Nizoral® ist möglicherweise nicht wirksam bei Patienten, die eines dieser Medikamente einnehmen. Daher wird die Verabreichung dieser Arzneimittel mit Nizoral® nicht empfohlen.
- Andere Inhibitoren von CYP3A4 können die Plasmakonzentrationen von Ketoconazol erhöhen (siehe Tabelle 2). Patienten, die Nizoral® gleichzeitig mit einem dieser Medikamente einnehmen müssen, sollten genau auf Anzeichen oder Symptome einer erhöhten oder verlängerten pharmakologischen Wirkungen von Nizoral® überwacht werden.
Tabelle 1: Ausgewählte Arzneimittel, die nachgewiesen wurden, dass ihre Plasmakonzentrationen durch Nizoral®* verändert sind
| Die systemische Exposition gegenüber diesen Arzneimitteln wird durch Zugabe von Ketoconazol signifikant erhöht: Die gleichzeitige Verwendung mit Ketoconazol ist kontraindiziert. | |
| Alprazolam Midazolam Triazolam | HMG-CoA-Reduktase-Inhibitoren (Lovastatin Simvastatin) |
| Cisapride | Nisoldipin |
| Dofetils | Pimozid |
| EPleerenon | Chinidin |
| Ergot -Alkaloide (Ergotamin Dihydroergotamin) | |
| Die systemische Exposition gegenüber diesen Arzneimitteln wird durch Ketoconazol erhöht: Eine sorgfältige Überwachung mit einer möglichen Anpassung der Dosierung wird empfohlen. | |
| Alfentanil Fentanylsulfentanil | Indinavir Saquinavir |
| Amlodipin -Felodipin -Nifedipin -Nifedipin | Methylprednisolon |
| Bosentan | Rifabutin |
| Buspiron | Sildenafil |
| Geschäft | Sirolimus (gleichzeitige Verabreichung nicht empfohlen) |
| Carbamazepin | Tacrolimus |
| Cilostazol | Telithromycin |
| Cyclosporin | Tolterodin |
| Digoxin | Trimetrexate |
| Docetaxel paclitaxel | Verapamil |
| Orale Antikoagulanzien | Vinca -Alkaloide (Vincristin - Vinblastin Vinorelbine) |
| * Diese Liste ist nicht all-inclusive. |
Tabelle 2: Ausgewählte Medikamente, die gezeigt wurden oder voraussichtlich die Plasmakonzentration von Nizoral® verändern oder verändern
| Die systemische Exposition gegenüber Ketoconazol wird durch diese Medikamente signifikant reduziert: Die gleichzeitige Verwendung mit Ketoconazol wird nicht empfohlen. | |
| Carbamazepin | Phable |
| Magensäureunterdrückung (Antazida-Antimuskarinik-Histamin-H2-Blocker-Protonenpumpen-Inhibitoren Sucralfat) | Rifampin Rifabutin Isoniazid |
| Nevirapin | |
| Die systemische Exposition gegenüber Ketoconazol wird durch dieses Medikament signifikant erhöht: Die Dosisreduktion von Ketoconazol sollte berücksichtigt werden | |
| Ritonavir | |
| * Diese Liste ist nicht all-inclusive. |
Auswirkungen von Ketoconazol auf andere Medikamente
Die systemische Exposition gegenüber folgenden Arzneimitteln wird durch gleichzeitige Verabreichung von Ketoconazol signifikant erhöht. Die gleichzeitige Verwendung dieser Medikamente mit Nizoral® -Tabletten ist kontraindiziert:
Alprazolam Midazolam Triazolam
Die gleichzeitige Verabreichung von Nizoral®-Tabletten mit Alprazolam Midazolam oder Triazolam hat zu erhöhten Plasmakonzentrationen dieser Medikamente geführt. Dies kann hypnotische und beruhigende Effekte potenzieren und verlängern, insbesondere bei wiederholten oder chronischen Verabreichung dieser Wirkstoffe. Die gleichzeitige Verabreichung von Nizoral® -Tabletten mit Alprazolam oralem Midazolam und oralem Triazolam ist kontraindiziert. (Sehen Kontraindikationen Und WARNUNGS Abschnitte.) Special precaution Und patient monitodering are required with concomitant parenteral midazolam because the sedative effect may be prolonged.
Cisapride
Orales Ketoconazol hemmt den Cisaprid-Metabolismus stark, was zu einem durchschnittlichen achtfachen Anstieg der AUC von Cisaprid führt, die zu einer Verlängerung des QT-Intervalls führen kann. Daher ist eine gleichzeitige Verabreichung von Nizoral® -Tabletten mit Cisaprid kontraindiziert. (Sehen WARNUNG BOXED Kontraindikationen Und WARNUNGS Abschnitte.)
Dofetils
The class III antiarrhythmic dofetilide is known to prolong the QT interval. The potential increase in dofetilide plasma concentrations when administered concomitantly with ketoconazole could result in serious cardiovascular events including QTc prolongation and rare occurrences of torsades de pointes. Therefore concomitant administration of NIZORAL® Tablets with dofetilide is contraindicated. (See WARNUNG BOXED Kontraindikationen Und WARNUNGS Abschnitte.)
EPleerenon
Ketoconazol erhöht das EPLERENON AUC um ungefähr das Fünffache, wodurch das Risiko für Hyperkaliämie und Hypotonie erhöht wird. Die gleichzeitige Verabreichung von Nizoral® und EPLERENON ist kontraindiziert. (Sehen Kontraindikationen Abschnitt.)
Ergot -Alkaloide
Erhöhte Konzentrationen von Ergot -Alkaloiden können Ergotismus verursachen, d. H. Ein Risiko für Vasospasmus, die möglicherweise zu einer Gehirnsämie und/oder Ischämie der Extremitäten führen. Die gleichzeitige Verabreichung von Ergot -Alkaloiden wie Dihydroergotamin und Ergotamin mit Nizoral® -Tabletten ist kontraindiziert. (Sehen Kontraindikationen Abschnitt.)
HMG-CoA-Enzym-Inhibitoren (Lovastatin Simvastatin)
Die gleichzeitige Verabreichung von Ketoconazol mit CYP3A4-metabolisierten HMG-CoA-Reduktase-Inhibitoren wie Simvastatin und Lovastatin kann das Risiko einer Skelettmuskeltoxizität einschließlich Rhabdomyolyse erhöhen. Die gleichzeitige Verabreichung von Nizoral®-Tabletten mit diesen HMG-CoA-Reduktase-Inhibitoren ist kontraindiziert. (Sehen Kontraindikationen Und WARNUNGS Abschnitte.)
Nisoldipin
Die Vorbehandlung und eine gleichzeitige Verabreichung von Ketoconazol führte zu einem 24-fachen und einem 11-fachen Anstieg der mittleren AUC und des Cmax von Nisoldipin im Vergleich zur Behandlung mit Nisoldipin nur 5 mg. Die gleichzeitige Verabreichung von Ketoconazol mit Nisoldipin ist kontraindiziert. (Sehen Kontraindikationen Abschnitt.)
Pimozid
Pimozid is known to prolong the QT interval Und is partially metabolized by CYP3A4. Co-administration of Nizoral® Und pimozide could result in serious cardiovascular events including QTc prolongation Und rare occurrences of todersades de pointes Und is therefodere contraindicated. (See WARNUNG BOXED Kontraindikationen Und WARNUNGS Abschnitte.)
Chinidin
The class IA antiarhythmic quinidine is known to prolong the QT interval. The potential increase in quinidine plasma concentrations when administered concomitantly with ketoconazole could result in serious cardiovascular events including QTc prolongation and rare occurrences of torsades de pointes. Therefore concomitant administration of NIZORAL® Tablets with quinidine is contraindicated. (See WARNUNG BOXED Kontraindikationen Und WARNUNGS Abschnitte.)
Die gleichzeitige Verabreichung von Ketoconazol mit den folgenden Wirkstoffen wurde gezeigt oder wird zu einer erhöhten Exposition gegenüber diesen Medikamenten führen. Daher wird eine sorgfältige Überwachung der Plasmakonzentrationen oder unerwünschten Ereignisse dieser Arzneimittel empfohlen. Eine Anpassung der Dosierung dieser Medikamente kann erforderlich sein.
Alfentanil Sufentanil Fentanyl
In -vitro -Daten legen nahe, dass Alfentanil Sufentanil und Fentanyl durch CYP3A4 metabolisiert werden. Die gleichzeitige Verabreichung von Nizoral® -Tabletten und Alfentanil Sufentanil oder Fentanyl kann die Plasmakonzentrationen der letzteren Medikamente erhöhen.
Amlodipin -Felodipin -Nifedipin -Nifedipin
CYP3A4-Calciumkanalblocker wie Amlodipin-Felodipin-Nicardipin und Nifedipin sollten mit Nizoral®-Tabletten mit Nizoral®-Tabletten verwendet werden, da Ketoconazol die Plasmakonzentrationen dieser Calciumkanalblocker zu mehrfacher FALT-Anstieg verursachen können.
Bosentan
Die gleichzeitige Verabreichung von Ketoconazol erhöhte den Cmax und die AUC von Bosentan 2,1- bzw. 2,3-. Es ist keine Dosierungsanpassung von Bosentan erforderlich, aber eine enge Überwachung auf erhöhte bosentanassoziierte Nebenwirkungen wird empfohlen.
Buspiron
Die gleichzeitige Verabreichung von Buspiron mit Ketoconazol kann zu signifikanten Erhöhungen der Plasmakonzentrationen von Buspiron führen. Bei der Verabreichung mit Nizoral® -Tabletten wird empfohlen, eine niedrige anfängliche Buspirondosis mit anschließender Dosierungsanpassung auf der Grundlage der klinischen Beurteilung zu empfehlen.
Geschäft
Nizoral® -Tabletten können den Clearance verringern und somit die systemische Exposition gegenüber Busulfan erhöhen.
Carbamazepin
Vergeblich Studien haben eine Zunahme der Plasma -Carbamazepin -Konzentrationen bei Probanden gezeigt, die gleichzeitig Ketoconazol erhalten. Eine genaue Überwachung der Plasma -Carbamazepin -Konzentrationen wird empfohlen, wenn Patienten, die bei der Carbamazepin -Therapie stabilisiert sind, Ketoconazol verabreicht wird.
Cilostazol Ketoconazole had been shown to increase both cilostazol AUC Und Cmax by about two-fold when administered concurrently. Co-administration of ketoconazole with cilostazol resulted in increased incidences of adverse effects such as Kopfschmerzen. When Nizoral® Tablets is administered concomitantly with cilostazol the prescriber should consider up to a 50% reduction in cilostazol dosage.
Cyclosporin
Ketoconazol -Tabletten können den Metabolismus von Cyclosporin verändern, wodurch zu erhöhten Cyclosporin -Plasmakonzentrationen führen. Eine Dosierungsanpassung kann erforderlich sein, wenn Cyclosporin oder Tacrolimus gleichzeitig mit Nizoral® -Tabletten verabreicht werden.
Digoxin
Es wurde seltene Fälle von erhöhten Plasmakonzentrationen von Digoxin berichtet. Es ist nicht klar, ob dies auf die Kombination der Therapie zurückzuführen ist. Es ist daher ratsam, die Digoxinkonzentrationen bei Patienten zu überwachen, die Ketoconazol erhalten.
Docetaxel
In Gegenwart von Ketoconazol wurde gezeigt, dass die Clearance von Docetaxel bei Krebspatienten um 50%abnimmt. Wenn Docetaxel und Nizoral® zusammen verabreicht werden, kann eine Dosierungsreduzierung in Docetaxel erforderlich sein, um die Inzidenz von mit Docetaxel verbundenen Toxizitäten zu minimieren.
Indinavir Saquinavir
Die gleichzeitige Verabreichung von Nizoral® und Protease -Inhibitoren, die durch CYP3A4 wie Indinavir und Saquinavir metabolisiert wurden, können die Plasmakonzentrationen dieser Proteaseinhibitoren erhöhen. Die Reduktion von Indinavir wird bei der Verabreichung von Ketoconazol gleichzeitig empfohlen. Es werden keine Dosierungsanpassungen empfohlen, wenn Saquinavir und Ketoconazol für einen kurzen Zeitraum koadministeriert werden.
Methylprednisolon
Nizoral® -Tabletten können den Metabolismus von Methylprednisolon verändern, was zu erhöhten Plasmakonzentrationen von Methylprednisolon führt. Es können Dosisanpassungen erforderlich sein, wenn Methylprednisolon gleichzeitig mit Nizoral® -Tabletten verabreicht wird.
Orale Antikoagulanzien
Orale Imidazolverbindungen wie Ketoconazol können die antikoagulante Wirkung von cumarinähnlichen Arzneimitteln verbessern, weshalb die antikoagulante Wirkung sorgfältig titriert und überwacht werden sollte.
Orale hypoglykämische Wirkstoffe
Weil schwerwiegend Hypoglykämie wurde bei Patienten berichtet, die gleichzeitig orale Miconazol (ein Imidazol) und orale Hypoglykämika erhalten, eine solche potenzielle Wechselwirkung, an der die letzteren Wirkstoffe beteiligt sind, wenn sie gleichzeitig mit Ketoconazol -Tabletten (ein Imidazol) verwendet werden, kann nicht ausgeschlossen werden.
Rifabutin
Es wurde gezeigt, dass Ketoconazol den CYP-vermittelten Metabolismus von Rifabutin in vitro hemmt. Die gleichzeitige Verabreichung mit Nizoral®-Tabletten kann zu erhöhten Plasmakonzentrationen von Rifabutin führen.
Sildenafil
Es wurde gezeigt, dass Ketoconazol die Sildenafil -Plasmakonzentrationen erhöht. Bei gleichzeitig mit Nizoral® -Tabletten verwendet sollte eine 50% ige Verringerung der Sildenafil -Startdosis in Betracht gezogen werden.
Sirolimus
Es wurde gezeigt, dass Multiple-dosierte Ketoconazol Sirolimus cmax und AUC um das 4,3-fache bzw. 10,9-fach erhöhte. Die gleichzeitige Verwendung von Nizoral® -Tablets und Sirolimus wird nicht empfohlen.
Tacrolimus
Es wurde gezeigt, dass Ketoconazol die orale Clearance von Tacrolimus verringert und dadurch zu einer zweifachen Zunahme der oralen Bioverfügbarkeit von Tacrolimus führte. Eine Anpassung der Tacrolimus -Dosierung kann erforderlich sein, wenn Tacrolimus gleichzeitig mit Nizoral® -Tabletten verabreicht wird.
Telithromycin
Ketoconazol erhöhte die AUC von Telithromycin um 1,5 bis 2-fach. Verwalten Sie bei der Verabreichung von Telithromycin gleichzeitig mit Nizoral® -Tablets, da dies zu einem erhöhten Risiko für Telithromycin -assoziierte unerwünschte Ereignisse führen kann.
Tolterodin
In Gegenwart von Ketoconazol nahm die scheinbare orale Clearance von Tolterodin ab, was zu mindestens zweifachem Anstieg des Tolterodins führte. Bei Patienten, die Ketoconazol erhalten, wird empfohlen, eine 50% ige Verringerung der anfänglichen Tolterodin -Dosierung zu reduzieren.
Trimetrexate
In vitro Daten legen nahe, dass Trimetrexat durch CYP3A4 ausführlich metabolisiert wird. In -vitro -Tiermodelle haben gezeigt, dass Ketoconazol den Metabolismus von Trimetrexat wirksam hemmt. Patienten, die gleichzeitig mit Trimetrexat- und Nizoral®-Tabletten behandelt werden, sollten sorgfältig auf Trimetrexat-assoziierte Toxizitäten überwacht werden.
Verapamil
Ergebnisse von in vitro Stoffwechselstudien zeigen, dass Verapamil durch Enzyme einschließlich CYP3A4 metabolisiert wird. Ketoconazol kann die Verapamil -Serumkonzentrationen erhöhen. Bei der gemeinsamen Verabschiedung von Verapamil mit Nizoral®-Tabletten ist Vorsicht genommen.
Vinca -Alkaloide (Vincristin Vinblastin Vinorelbine)
Nizoral® kann den Metabolismus von Vinca -Alkaloiden hemmen, die durch CYP3A4 metabolisiert wurden. Eine enge Überwachung der mit Vincristin-Vinblastin oder Vinorelbine im Zusammenhang mit Vincristin im Zusammenhang mit Nizoral®-Tabletten zusammengeborenen Vinorelbine wird empfohlen.
Auswirkungen anderer Arzneimittel auf Ketoconazol
Medikamente, die die Absorption von Ketoconazol beeinflussen
Magensäureunterdrücker/Neutralisatoren
Studien haben gezeigt, dass die Absorption von Ketoconazol beeinträchtigt ist, wenn die Magensäureproduktion verringert wird. Reduzierte Plasmakonzentrationen von Ketoconazol wurden berichtet, wenn Nizoral®-Tabletten mit Antaci-Antimuskarinik-Histamin-H2-Blockern-Protonenpumpeninhibitoren (Omeprazol Lansoprazol) und Sucralfat verabreicht wurden. (Sehen Wechselwirkungen mit Arzneimitteln (Allgemeiner) Abschnitt.)
Medikamente, die gezeigt oder erwartet werden, dass die systemische Exposition gegenüber Ketoconazol signifikant verringert wird
Die gleichzeitige Verabreichung von Ketoconazol mit potenten CYP3A4-Enzym-Induktoren wird nicht empfohlen.
Carbamazepin
Die gleichzeitige Verabreichung von Ketoconazol -Tabletten mit Carbamazepin kann den Stoffwechsel eines oder beiden Medikamente verändern. Eine enge Überwachung beider Plasmakonzentrationen von Carbamazepin und eine verringerte Wirksamkeit der Ketoconazol wird empfohlen.
Nevirapin
Ketoconazol AUC und CMAX nahmen bei HIV-infizierten Patienten, denen zwei Wochen lang eine Täglich von Ketoconazol 400 mg mit 400 mg 400 mg von Ketoconazol verabreicht wurde, um einen Median von 63% bzw. 40% ab. Die gleichzeitige Verabreichung von Nizoral® -Tabletten und Nevirapin wird nicht empfohlen.
Phable
Eine gleichzeitige Verabreichung von Ketoconazol mit Phenytoin kann den Metabolismus eines oder beiden Medikamente verändern. Eine enge Überwachung sowohl der Plasmakonzentrationen von Phenytoin als auch der verringerten Wirksamkeit von Nizoral® -Tabletten wird empfohlen.
Rifampin Rifabutin Isoniazid
Die gleichzeitige Verabreichung von Rifampin und Rifabutin mit Ketoconazol -Tabletten verringert die Blutkonzentrationen des letzteren. Es wurde auch berichtet, dass INH (Isoniazid) die Ketoconazolkonzentrationen nachteilig beeinflusst. Diese antituberkulären Medikamente sollten nicht gleichzeitig mit Nizoral® -Tabletten verabreicht werden.
Medikamente, die die systemische Exposition gegenüber Ketoconazol erheblich erhöhen
Ritonavir
Es wurde gezeigt, dass die gleichzeitige Verabreichung von Ritonavir mit Ketoconazol -Tabletten erhöht, die orale Bioverfügbarkeit von Ketoconazol erhöht. Daher dürfen keine höheren Dosen (> 200 mg/Tag) von Nizoral® -Tabletten verwendet werden, wenn Ritonavir gleichzeitig höhere Dosen (> 200 mg/Tag) verabreicht werden.
Andere Wechselwirkungen mit Arzneimitteln
Alkohol
Es wurde seltene Fälle einer disulfiramähnlichen Reaktion auf Alkohol berichtet. Diese Erfahrungen wurden durch spügende Haut Übelkeit und Kopfschmerzen in der Peripherieödeme und durch Kopfschmerzen gekennzeichnet. Die Symptome wurden innerhalb weniger Stunden aufgelöst.
Loratadin
Nach der gleichzeitigen Verabreichung von 200 mg oralem Ketoconazol zweimal täglich und eine 20 mg Dosis Loratadin an 11 Probanden betrugen die AUC und Cmax von Loratadin durchschnittlich 302% (± 142 S.D.) bzw. 251% (± 68 S.D.) der nach Cotreatments mit Place mit Place mit Placeboard erhaltenen. Die AUC und Cmax von Descarboethoxyloratadin und aktiven Metaboliten betrug durchschnittlich 155% (± 27 S.D.) bzw. 141% (± 35 S.D.). In der QTC auf EKG wurden jedoch keine verwandten Änderungen festgestellt, die nach der gemeinsamen Verabreichung von 2 6 und 24 Stunden eingenommen wurden. Es gab auch keine klinisch signifikanten Unterschiede in unerwünschten Ereignissen, wenn Loratadin mit oder ohne Ketoconazol verabreicht wurde.
Patienteninformationen für Nizoral
Nizoral®
(Ketoconazol) Tabletten
Was sind die wichtigsten Informationen, die ich über Nizoral® -Tablets wissen sollte?
Nizoral® Tablets is not the only medicine available to treat fungal infections Und should only be used when other medicines are not right foder you. Talk to your healthcare provider to find out if Nizoral® Tablets are right foder you.
Nizoral® Tablets can cause serious side effects including:
- Leberprobleme (Hepatotoxizität). Einige Menschen, die mit Ketoconazol behandelt wurden, hatten die Wirkstoff in Nizoral® -Tabletten schwerwiegende Leberprobleme, die zum Tod oder zur Notwendigkeit einer Lebertransplantation führten. Rufen Sie Ihren Gesundheitsdienstleister sofort an, wenn Sie eines der folgenden Symptome haben:
- Appetitverlust oder Gewichtsverlust (Anorexie)
- Brechreiz oder Erbrechen
- fühle mich müde
- Magenschmerzen oder tenderness
- dunkler Urin oder helle Stühle
- vergilbt Ihrer Haut oder der Weißen Ihrer Augen
- Fieber oder Hautausschlag
- Veränderungen in der elektrischen Aktivität Ihres Herzens bezeichneten QT -Verlängerung. QT -Verlängerung kann unregelmäßige Herzschläge verursachen, die lebensbedrohlich sein können. Dies kann passieren, wenn Nizoral® -Tabletten mit bestimmten Medikamenten wie Dofetilid -Quinidin -Pimozid und Cisaprid eingenommen werden. Sprechen Sie mit Ihrem Gesundheitsdienstleister über andere Medikamente, die Sie einnehmen, bevor Sie mit der Einnahme von Nizoral® -Tablets beginnen. Sagen Sie Ihrem Gesundheitsdienstleister sofort, wenn Sie sich schwach verdorben fühlen oder Ihr Herz unregelmäßig oder schnell schlägt. Dies können Symptome im Zusammenhang mit der QT -Verlängerung sein.
Was sind Nizoral® -Tablets?
- Nizoral® Tablets are prescription medicine used to treat serious fungal infections including: blastomycosis coccidioidomycosis histoplasmosis chromomycosis Und paracoccidioidomycosis.
- Nizoral® Tablets are not foder people with fungal nail infections.
- Nizoral® Tablets have not been approved foder the treatment of advanced prostate cancer oder Cushing's syndrome. The safety Und efficacy have not been established.
- Nizoral® Tablets should only be used in children if prescribed by the healthcare provider who has determined that the benefits outweigh the risks.
Wer sollte keine Nizoral® -Tablets einnehmen?
-
- Leberprobleme haben
- Nehmen Sie Simvastatin und Lovastatin. Nizoral® -Tabletten, wenn Sie mit diesen Medikamenten eingenommen werden, können Muskelnprobleme verursachen.
- Nehmen Sie EPLERENON Dihydroergotamin Ergotamin und Nisoldipin.
- Nehmen Sie Triazolam Midazolam oder Alprazolam. Die Einnahme von Nizoral® -Tabletten mit diesen Medikamenten kann Sie sehr schläfrig machen und Ihre Schläfrigkeit länger hält.
- sind allergisch gegen Ketoconazol oder einen der Zutaten in Nizoral® -Tabletten. Eine vollständige Liste von Zutaten in Nizoral® -Tabletten finden Sie im Ende dieses Medikamentenhandbuchs.
Bevor Sie Nizoral® -Tablets einnehmen, teilen Sie Ihrem Gesundheitsdienstleister mit, wenn Sie:
- Habe eine abnormale Herz -Rhythmus -Verfolgung (EKG) oder irgendjemand in deiner Familie ein Herzproblem, das als angeborenes Long QT -Syndrom bezeichnet wurde.
- Nebenniereninsuffizienz haben.
- sind schwanger oder planen, schwanger zu werden. Es ist nicht bekannt, ob Nizoral® -Tablets Ihrem ungeborenen Baby schädigen.
- stillen oder planen zu stillen. Nizoral® -Tabletten können in Ihre Muttermilch gelangen. Sie und Ihr Gesundheitsdienstleister sollten entscheiden, ob Sie Nizoral® einnehmen werden
Tabletten oder Stillen. Sie sollten nicht beides tun.
Teilen Sie Ihrem Gesundheitsdienstleister von allen Medikamenten mit, die Sie einnehmen, einschließlich verschreibungspflichtiger und rezeptfreier Arzneimittel-Vitamine und Kräuterpräparate.
Die Verwendung von Nizoral® -Tabletten mit bestimmten anderen Medikamenten kann sich gegenseitig beeinflussen. Die Verwendung von Nizoral® -Tabletten mit anderen Medikamenten kann schwerwiegende Nebenwirkungen verursachen.
Wie soll ich Nizoral® -Tablets einnehmen?
- Nehmen Sie Nizoral® 1 Mal täglich.
- Hören Sie nicht auf, Nizoral® -Tablets einzunehmen, ohne zuerst mit Ihrem Gesundheitsdienstleister zu sprechen.
Was soll ich bei der Einnahme von Nizoral® -Tablets vermeiden?
Aktivitäten in Helsinki, Finnland
- Trinken Sie keinen Alkohol, während Sie Nizoral® -Tabletten einnehmen.
Was sind die möglichen Nebenwirkungen von Nizoral® -Tablets?
Nizoral® Tablets may cause serious side effects including:
- Sehen Sie, was die wichtigsten Informationen über Nizoral® -Tablets wissen sollte?
- Nebenniereninsuffizienz. Nebenniereninsuffizienz ist ein Zustand, bei dem die Nebennieren nicht genügend Steroidhormone herstellen. Nizoral® -Tabletten können bei einer hohen Dosis eine Nebenniereninsuffizienz verursachen. Ihr Gesundheitsdienstleister folgt Ihnen genau, wenn Sie Nebenniereninsuffizienz haben oder wenn Sie über einen längeren Zeitraum Prednison oder andere ähnliche Medikamente einnehmen. Rufen Sie Ihren Gesundheitsdienstleister sofort an, wenn Sie Symptome einer Nebenniereninsuffizienz wie Müdigkeit Schwäche Schwindel -Übelkeit und Erbrechen haben.
- schwerwiegende allergische Reaktionen. Einige Menschen können eine ernsthafte allergische Reaktion auf Nizoral® -Tabletten haben. Hören Sie auf, Nizoral® -Tabletten einzunehmen, und gehen Sie sofort in die nächstgelegene Notaufnahme des Krankenhauses, wenn Sie eine vorschnelle Juckreizfieberschwellung der Lippen oder die Schmerzen in der Zunge oder die Atmung haben. Dies könnten Anzeichen einer schwerwiegenden allergischen Reaktion sein.
- Muskelprobleme. Die Einnahme bestimmter Medikamente mit Nizoral® -Tabletten kann zu Muskelproblemen führen. Sehen Wer sollte keine Nizoral® -Tablets einnehmen?
Die häufigsten Nebenwirkungen von Nizoral® -Tabletten sind Übelkeit Kopfschmerzdurchfall Magenschmerzen und abnormale Leberfunktionstests.
Dies sind nicht alle möglichen Nebenwirkungen von Nizoral® -Tablets. Weitere Informationen finden Sie in Ihrem Gesundheitsdienstleister oder Apotheker.
Rufen Sie Ihren Arzt an, um medizinische Beratung zu Nebenwirkungen zu erhalten. Sie können die FDA bei 1-800-FDA-1088 Nebenwirkungen melden.
Wie soll ich Nizoral® -Tablets speichern?
- Speichern Sie Nizoral® -Tabletten bei Raumtemperatur zwischen 59 ° F und 77 ° C (15 ° C bis 25 ° C).
- Halten Sie Nizoral® -Tabletten trocken.
Allgemein infodermation about the safe Und effective use of Nizoral® Tablets.
Medikamente werden manchmal für andere Zwecke als die in einem Medikamentenhandbuch aufgeführten Zwecke verschrieben. Verwenden Sie keine Nizoral® -Tablets für einen Zustand, für den sie nicht verschrieben wurden. Geben Sie anderen Personen keine Nizoral® -Tabletten an, auch wenn sie die gleichen Symptome haben, die Sie haben. Es kann ihnen schaden.
Dieser Medikamentenhandbuch fasst die wichtigsten Informationen zu Nizoral® -Tablets zusammen.
Wenn Sie weitere Informationen wünschen, sprechen Sie mit Ihrem Gesundheitsdienstleister. Sie können Ihren Apotheker oder Gesundheitsdienstleister um Informationen zu Nizoral® -Tablets bitten, die für Angehörige der Gesundheitsberufe geschrieben wurden.
Was sind die Zutaten in Nizoral® -Tabletten?
Wirkstoff: Ketoconazol.
Inaktive Zutaten: kolloidales Siliziumdioxid Maisstärke Lactose Magnesium Stearat mikrokristallines Cellulose und Povidon.