Die Informationen Auf Dieser Website Stellen Keine Medizinische Beratung Dar. Wir Verkaufen Nichts. Die Richtigkeit Der Übersetzung Wird Nicht Garantiert. Haftungsausschluss
Antazida, Combos
Zeger
Drogenzusammenfassung
Was ist Zegerid?
Zeger (Omeprazol/ Natriumbicarbonat ) ist eine Kombination eines Protonenpumpeninhibitors (PPI) und einem Antazida zur Behandlung von Geschwüren gastroösophagealer Reflux Krankheit (GERD) und andere Erkrankungen mit übermäßiger Magensäureproduktion. Zegierid kann in erhältlich sein in generisches bilden.
Was sind Nebenwirkungen von Zegier?
Zu den häufigen Nebenwirkungen von Zweriden gehören:
- Kopfschmerz Magen oder Bauchschmerzen
- Brechreiz
- Gas oder
- Durchfall.
Sagen Sie Ihrem Arzt, wenn Sie unwahrscheinlich, aber ernsthafte Nebenwirkungen von Zegern haben, einschließlich:
- Schwellung der Hände oder Füße
- Symptome eines Blutspiegels mit niedrigem Magnesium (wie ungewöhnlich schnell/langsam/unregelmäßiger Herzschlag anhaltende Muskelkrämpfe Anfälle) oder) oder
- Plötzliche Gewichtszunahme.
Suchen Sie medizinische Versorgung oder rufen Sie auf einmal 911 an, wenn Sie die folgenden schwerwiegenden Nebenwirkungen haben:
- Schwerwiegende Augensymptome wie plötzlicher Sehverlust verschwommenes Sehen Tunnel Sehschmerzen oder Schwellungen oder Halos in der Umgebung des Lichts;
- Schwerwiegende Herzsymptome wie schnelle unregelmäßige oder pochende Herzschläge; Flattern in deiner Brust; Kurzatmigkeit; und plötzlich Schwindel Benommenheit oder ohnmächtig;
- Starke Kopfschmerzen Verwirrung verwirrt Spracharm oder Bein Schwäche Schwierigkeiten beim Verlust der Koordination unstabil sehr steifes Muskeln hoher Fieber problemlos Schwitzen oder Zittern.
Dieses Dokument enthält nicht alle möglichen Nebenwirkungen und andere können auftreten. Wenden Sie sich an Ihren Arzt nach zusätzlichen Informationen zu Nebenwirkungen.
Dosierung für Zegier
Die Dosis und Dauer der Behandlung mit Zegerniden hängt von der zu behandelnden Erkrankung ab. Für Geschwüre Gerd erosive Ösophagitis und Ausrottung von H. pylori beträgt die übliche empfohlene Dosis für Erwachsene 20-40 mg täglich. Befolgen Sie den Anweisungen von Ihrem Arzt.
Welche Drogensubstanzen oder Nahrungsergänzungsmittel interagieren mit Zegier?
Zegeride kann mit bosentaner Citalopram clopidogrel Cyclosporin interagieren Diazepam oder ähnliche Beruhigungsmittel digoxin digitalis disulfiram Antabuse Methotrexat -Rifabutin -Rifapin -Rifapentin -Natrium -Polystyrolsulfonat St. Johns Würze Tacrolimus -Antibiotika Antimykotika -Blutverdünner Calciumpräparate oder Eisenpräparate (einschließlich Eisenfumarat Eisengluconat Eisen -Sulfonat) Diuretika (Wasserpillen) HIV Medikamente oder Anfallsmedikamente. Sagen Sie Ihrem Arzt alle Medikamente und Nahrungsergänzungsmittel, die Sie verwenden.
Zegerid während der Schwangerschaft und Stillen
Sagen Sie Ihrem Arzt, wenn Sie schwanger sind oder planen, schwanger zu werden, während Sie Zwerid verwenden. Es ist nicht bekannt, ob Zegier einen Fötus schädigen wird. Zegerid kann in Muttermilch übergehen und einem Pflegebaby schädigen. Das Stillen bei der Verwendung von Zegern wird nicht empfohlen.
Weitere Informationen
Unsere Zegern (Omeprazol/Natrium -Bicarbonat) -Seiten -Arzneimittelzentrum (Omeprazol/Natriumbicarbonat) bietet eine umfassende Übersicht über verfügbare Arzneimittelinformationen über die potenziellen Nebenwirkungen bei dieser Medikamente.
FDA -Drogeninformationen
- Drogenbeschreibung
- Indikationen
- Dosierung
- Nebenwirkungen
- Wechselwirkungen mit Arzneimitteln
- Warnungen
- Überdosis
- Klinische Pharmakologie
- Medikamentenhandbuch
Beschreibung für Zegern
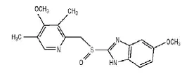
Zegerid® (Omeprazol/ Natriumbicarbonat) ist eine Kombination von Omeprazol, einem Protonenpumpeninhibitor und Natriumbicarbonat A-Antazida. Omeprazol ist ein substituiertes Benzimidazol 5-Methoxy-2-[[(4-Methoxy-35-Dimethyl-2-pyridinyl) methyl] sulfinyl -1h-benzimidazol Eine racemische Mischung von zwei Enantiomeren, die die Magensäuresekretion hemmen. Seine empirische Formel ist c 17 H 19 N 3 O 3 S mit einem Molekulargewicht von 345,42. Die strukturelle Formel lautet:
|
Omeprazol ist ein weißes bis weißes kristallines Pulver, das mit einer Zersetzung bei etwa 155 ° C schmilzt. Es ist eine schwache Basis, die in Ethanol und Methanol frei löslich ist und in Aceton und Isopropanol leicht löslich und in Wasser sehr leicht löslich ist. Die Stabilität von Omeprazol ist eine Funktion des pH -Werts; Es wird in Säuremedien schnell abgebaut, weist jedoch unter alkalischen Bedingungen eine akzeptable Stabilität auf.
Zegeride wird als Kapseln mit sofortiger Freisetzung und Pakete mit Einheitendosis als Pulver für die orale Aufhängung geliefert. Jede Kapsel enthält entweder 40 mg oder 20 mg Omeprazol und 1100 mg Natriumbicarbonat mit den folgenden Hilfsstoffen: Croscarmellose -Natrium- und Natriumstearylfumarat. Pulverpakete für orale Suspension enthalten entweder 40 mg oder 20 mg Omeprazol und 1680 mg Natriumbicarbonat mit den folgenden Hilfsstoffen: Xylit -Saccharose -Sucralose Xanthan -Kaugummi und -geschmack.
Verwendung für Zegern
Zegier für die orale Suspension und Zweridenkapseln sind bei Erwachsenen für das:
- Kurzzeitbehandlung von aktivem Zwölffingerdarmgeschwür. Die meisten Patienten heilen innerhalb von vier Wochen. Einige Patienten benötigen möglicherweise weitere vier Wochen Therapie.
- Kurzzeitbehandlung (4 bis 8 Wochen) von aktivem gutartigen Magengeschwür.
- Behandlung von Sodbrennen und anderen Symptomen im Zusammenhang mit GERD für bis zu 4 Wochen.
- Kurzzeitbehandlung (4 bis 8 Wochen) EE aufgrund von Säure-vermittelter GERD, die von Endoskopie bei Erwachsenen diagnostiziert wurde.
- Die Wirksamkeit von Zegier für länger als 8 Wochen bei Patienten mit EE wurde nicht festgestellt. Wenn ein Patient nicht auf 8 Wochen Behandlung reagiert, können weitere 4 Wochen Behandlung angegeben werden. Wenn es ein Wiederauftreten von EE- oder GERD-Symptomen (z. B. Sodbrennen) gibt, können zusätzliche 4- bis 8-wöchige Zweridenkurse in Betracht gezogen werden.
- Aufrechterhaltung der Heilung von EE aufgrund von Säure-vermittelter GERD. Kontrollierte Studien erstrecken sich nicht über 12 Monate.
Zegier für die orale Suspension ist bei Erwachsenen für das:
- Verringerung des Risikos der Blutung des oberen GI bei kritisch kranken erwachsenen Patienten.
Dosierung für Zegier
Wichtige Verwaltungsanweisungen
- Zegern (Omeprazol und Natriumbicarbonat) ist als Kapsel und als Pulver für die orale Suspension in 20 mg und 40 mg Stärken von Omeprazol für die Verwendung von Erwachsenen erhältlich. Alle empfohlenen Dosen während der Kennzeichnung basieren auf Omeprazol.
- Der Natriumgehalt von Zweridenkapseln und Zegern für die orale Suspendierung sollte bei der Verschreibung dieses Produkts berücksichtigt werden [siehe Warnungen und Vorsichtsmaßnahmen ]:
- Zegernkapsel: Jeweils 20 mg und 40 mg Kapsel enthält 1100 mg Natriumbicarbonat. Der Gesamtgehalt an Natrium in jeder Kapsel beträgt 304 mg.
- Zegier für die orale Suspension: Jeweils 20 mg und 40 mg Paket von 1680 mg (20 MEQ) Natriumbicarbonat. Der Gesamtgehalt von Natrium in jedem Paket beträgt 460 mg.
- Aufgrund des Natriumbicarbonatgehalts von ZegernID:
- Ersetzen Sie nicht zwei Pakete mit 20 mg Zegiern für die orale Suspension durch ein Paket von 40 mg Zweriden zur oralen Suspension.
- Ersetzen Sie keine zwei 20 mg Zegernkapseln durch eine 40 mg Zegernkapsel.
Dosierung Regimen
Das empfohlene Dosierungsschema durch Indikation bei Erwachsenen der Zegier für orale Suspension und Zweridenkapseln ist in Tabelle 1 zusammengefasst. Nur 40 mg Zegier für die orale Suspension sind für die Verringerung des Risikos der oberen GI -Blutung bei kritisch illegalen Patienten angezeigt, und die in Tabelle 2.
Tabelle 1: Empfohlener Dosierungsregime von Zegier für orale Suspension und Zegernkapseln bei Erwachsenen durch Indikation
| Anzeige | Dosierung of Zeger for oral suspension or Zeger capsules | Behandlungsdauer |
| Behandlung von aktiven Zwölffingerdarmgeschwüren | 20 mg einmal täglich | 4 Wochen 12 |
| Behandlung von aktivem gutartigen Magengeschwür | 40 mg einmal täglich | 4 bis 8 Wochen |
| Behandlung von symptomatischem GERD | 20 mg einmal täglich | Bis zu 4 Wochen |
| Behandlung von EE aufgrund säurerheizter GERD | 20 mg einmal täglich | 4 bis 8 Wochen 2 |
| Aufrechterhaltung der Heilung von EE aufgrund von Säure-vermittelter GERD | 20 mg einmal täglich | Kontrollierte Studien erstrecken sich nicht über 12 Monate. |
| 1 Die meisten Patienten heilen innerhalb von 4 Wochen. Einige Patienten benötigen möglicherweise weitere 4 Wochen Therapie [siehe Klinische Studien ]. 2 Die Wirksamkeit von Zegier für länger als 8 Wochen bei Patienten mit EE wurde nicht festgestellt. Wenn ein Patient nicht auf 8 Wochen Behandlung reagiert, können weitere 4 Wochen Behandlung angegeben werden. Wenn es ein Wiederauftreten von EE- oder GERD-Symptomen (z. B. Sodbrennen) gibt, können zusätzliche 4- bis 8-wöchige Zweridenkurse in Betracht gezogen werden. |
Tabelle 2: Empfohlener Dosierungsregime von 40 mg Zegier für die orale Suspendierung bei Erwachsenen durch Indikation
| Anzeige | Dosierung of 40 mg Zeger for oral suspension | Behandlungsdauer |
| Verringerung des Risikos der Blutung des oberen GI bei kritisch kranken Patienten | Anfangs 40 mg; gefolgt von 40 mg 6 bis 8 Stunden später; und 40 mg einmal täglich danach | 14 Tage |
Vorbereitung und Verwaltung
Zegernkapseln
- Kapseln schlucken, die mit Wasser intakt sind. Öffnen Sie die Kapsel nicht und verabreichen Sie sich nicht mit anderen Flüssigkeiten als Wasser.
- Mindestens eine Stunde vor einer Mahlzeit einen leeren Magen aufnehmen [siehe Klinische Pharmakologie ].
Zegerniden für die orale Suspendierung
- Die Zegerniden für die orale Suspension sollen mit Wasser gemischt und oral oder über ein Nasogastric (NG) oder ein Ogastric (OG) -Rohre verabreicht werden.
- Wenn Sie oral verabreicht werden, nehmen Sie mindestens eine Stunde vor einer Mahlzeit einen leeren Magen an.
- Wenn Sie über NG- oder OG -Rohr verabreicht werden, um die enterale Fütterung ungefähr 3 Stunden vor und 1 Stunde nach der Verabreichung von Zweriden zur oralen Suspendierung zu suspendieren.
Mundverwaltung
-
- Leeren Sie den Inhalt eines Pakets in eine kleine Tasse mit 5 bis 10 ml Wasser. Mischen Sie nicht mit anderen Flüssigkeiten oder Lebensmitteln als Wasser.
- Gut umrühren und sofort trinken.
- Tasse mit Wasser nachfüllen und sofort trinken.
Nasaggagagagagagagstric (NG) oder Orogagtric (OO) Rohrverabreichung
-
- Fügen Sie 20 ml Wasser zu einer Spritze mit Katheterspitzen hinzu und fügen Sie dann den Inhalt eines Pakets hinzu. Verwenden Sie eine angemessene Katheter-Spitze-Spritze. Mischen Sie nicht mit anderen Flüssigkeiten oder Lebensmitteln als Wasser.
- Schütteln Sie die Spritze, um das Pulver aufzulösen.
- Durch den NG- oder Orogastr -Röhrchen sofort in den Magen verabreichen.
- Füllen Sie die Spritze mit einer gleichen Menge Wasser nach.
- Schütteln und spülen Sie alle verbleibenden Inhalte aus dem NG -Röhrchen oder des orrogastrischen Rohrs in den Magen.
Wie geliefert
Dosierung Forms And Stärkes
Zeger ist verfügbar als:
Kapseln
- 20 mg : Jede undurchsichtige harte Gelatine weiße Kapsel, die mit dem Santarus -Logo und 20 20 mg Omeprazol und 1100 mg Natriumbicarbonat eingeprägt ist.
- 40 mg : Jede undurchsichtige harte Gelatine -farbige dunkelblau -weiße Kapsel, die mit dem Santarus -Logo und 40 40 mg Omeprazol und 1100 mg Natriumbicarbonat eingeprägt ist.
Für orale Suspendierung
- 20 mg : Pulver mit weißem aromatisiertem, in Einheiten dosierten Paketen verpackt. Jedes Paket enthält 20 mg Omeprazol und 1680 mg Natriumbicarbonat.
- 40 mg : Pulver mit weißem aromatisiertem, in Einheiten dosierten Paketen verpackt. Jedes Paket enthält 40 mg Omeprazol und 1680 mg Natriumbicarbonat.
Lagerung und Handhabung
Zeger wird geliefert als:
| Zegernkapseln | |||
| NDC | Stärke | Menge | Beschreibung |
| 68012-102-30 | 20 mg omeprazole Und 1100 mg Natriumbicarbonat | Flaschen mit 30 Kapseln | Undurchsichtige harte Gelatine weiße Kapsel mit dem Santarus -Logo und 20 geprägt |
| 68012-104-30 | 40 mg omeprazole Und 1100 mg Natriumbicarbonat | Flaschen mit 30 Kapseln | Undurchsichtige harte Gelatine -farbige dunkelblau und weiße Kapsel, die mit dem Santarus -Logo und 40 eingeprägt ist |
| Zeger for Oral Suspension | |||
| NDC | Stärke | Menge | Beschreibung |
| 68012-052-30 | 20 mg omeprazole Und 1680 mg Natriumbicarbonat | Kartons mit 30 Einheiten-Dosis-Paketen | Pulver mit weißem aromatisiertem in Einheiten dosierten Paketen verpackt |
| 68012-054-30 | 40 mg omeprazole Und 1680 mg Natriumbicarbonat | Kartons mit 30 Einheiten-Dosis-Paketen | Pulver mit weißem aromatisiertem in Einheiten dosierten Paketen verpackt. |
Lagerung
Auf 20 ° bis 25 ° C (68 ° bis 77 ° F) speichern; Exkursionen, die auf 15 ° bis 30 ° C (59 ° bis 86 ° F) zulässig sind [siehe USP -kontrollierte Raumtemperatur ].
Halten Sie den Behälter fest geschlossen. Vor Licht und Feuchtigkeit schützen.
Verteilt von: Salix Pharmaceuticals Eine Abteilung von Bausch Health US llcbridgewater NJ 08807 USA. Überarbeitet: Juli 2023
Nebenwirkungen for Zegerid
Die folgenden schwerwiegenden Nebenwirkungen werden nachstehend und anderswo bei der Kennzeichnung beschrieben:
- Akute Tubulointerstitial -Nephritis [siehe Warnungen und Vorsichtsmaßnahmen ]
- Clostridium difficile -Anterendurchfall [siehe Warnungen und Vorsichtsmaßnahmen ]
- Knochenbruch [siehe Warnungen und Vorsichtsmaßnahmen ]
- Schwere kutane Nebenwirkungen [siehe Warnungen und Vorsichtsmaßnahmen ]
- Haut- und systemischer Lupus erythematodes [siehe Warnungen und Vorsichtsmaßnahmen ]
- Cyanocobalamin (Vitamin B-12) -Mangel [siehe Warnungen und Vorsichtsmaßnahmen ]
- Hypomagnesiämie und Mineralstoffwechsel [siehe Warnungen und Vorsichtsmaßnahmen ]
- Polypen der Fundierungspolypen [siehe Warnungen und Vorsichtsmaßnahmen ]
Klinische Studien Erfahrung
Da klinische Studien unter sehr unterschiedlichen Bedingungen durchgeführt werden, die in den klinischen Studien eines Arzneimittels beobachtet werden, können in den klinischen Studien eines anderen Arzneimittels nicht direkt mit den Raten verglichen werden und spiegeln möglicherweise nicht die in der Praxis beobachteten Raten wider.
Die Sicherheit von Zegern wurde teilweise auf der Grundlage oraler Studien eines oralen Produkts mit verzögerter Freisetzung von Omeprazol-Produkten festgelegt.
Klinische Studien mit Omeprazol
In der US -amerikanischen klinischen Studienpopulation von 465 erwachsenen Patienten wurde berichtet, dass bei 1% oder mehr Patienten mit Omeprazol die in Tabelle 3 zusammengefassten unerwünschten Reaktionen auftreten.
Tabelle 3: Nebenwirkungen, die bei 1% oder mehr erwachsener Patienten in klinischen Studien der Omeprazol -Therapie auftreten
| Omeprazol % (n = 465) | Placebo % (n = 64) | Ranitidin % (n = 195) | |
| Kopfschmerzen | 7 | 6 | 8 |
| Durchfall | 3 | 3 | 2 |
| Bauchschmerzen | 2 | 3 | 3 |
| Brechreiz | 2 | 3 | 4 |
| Infektion der oberen Atemwege (URI) | 2 | 2 | 3 |
| Schwindel | 2 | 0 | 3 |
| Erbrechen | 2 | 5 | 2 |
| Ausschlag | 2 | 0 | 0 |
| Verstopfung | 1 | 0 | 0 |
| Husten | 1 | 0 | 2 |
| Asthenie | 1 | 2 | 2 |
| Rückenschmerzen | 1 | 0 | 1 |
Tabelle 4 fasst die nachteiligen Reaktionen zusammen, die bei 1% oder mehr von mit Omeprazol behandelten Patienten aus internationalen doppelblinden und offenen klinischen Studien aufgetreten sind, bei denen 2631 Patienten und Probanden Omeprazol erhielten.
Tabelle 4: Nebenwirkungen, die bei 1% oder mehr erwachsenen Patienten in internationalen klinischen Studien zur Omeprazol -Therapie auftreten
| Omeprazol % (N = 2631) | Placebo % (N = 120) | |
| Bauchschmerzen | 5.2 | 3.3 |
| Brechreiz | 4.0 | 6.7 |
| Durchfall | 3.7 | 2.5 |
| Erbrechen | 3.2 | 10.0 |
| Kopfschmerzen | 2.9 | 2.5 |
| Blähung | 2.7 | 5.8 |
| Säure -Auffall | 1.9 | 3.3 |
| Verstopfung | 1.5 | 0.8 |
| Asthenie | 1.3 | 0.8 |
Klinische Studie mit 40 mg Zegier für die orale Suspendierung
In einer klinischen Studie mit 40 mg Zweriden für die orale Suspension im Vergleich zu intravenöser Cimetidin für bis zu 14 Tage sind in einer klinischen Studie mit 40 mg Zegeriden über 40 mg Zweriden unterliegender Reaktionen angegeben.
Tabelle 5: Häufige Nebenwirkungen 1 nach Körpersystem und bevorzugter Begriff in einer randomisierten kontrollierten Studie mit kritisch kranken erwachsenen Patienten, die bis zu 14 Tage behandelt wurden
Nebenwirkungen von Nizoral Anti -Dandruff -Shampoo
| Körpersystem Bevorzugter Begriff | Zeger 40 mg for oral suspension once daily % (N = 178) | Intravenöses Cimetidin 1200 mg pro Tag % (N = 181) |
| Blut- und Lymphsystemstörungen | ||
| Anämie Nr | 7.9 | 7.7 |
| Anämie Nr Aggravated | 2.2 | 3.9 |
| Thrombozytopenie | 10.1 | 6.1 |
| Herzerkrankungen | ||
| Vorhofflimmern | 6.2 | 3.9 |
| Bradykardia nos | 3.9 | 2.8 |
| Supaventrikuläre Tachykardie | 3.4 | 1.1 |
| Tachykardie Nr | 3.4 | 3.3 |
| Ventrikuläre Tachykardie | 4.5 | 3.3 |
| Magen -Darm -Störungen 2 | ||
| Verstopfung | 4.5 | 4.4 |
| Durchfall NOS | 3.9 | 8.3 |
| Magenhypomotilität | 1.7 | 3.3 |
| Allgemeine Erkrankungen und Verwaltungsortbedingungen | ||
| Hyperpyrexie | 4.5 | 1.7 |
| Ödem in | 2.8 | 6.1 |
| Pyrexie | 20.2 | 16.0 |
| Infektionen und Befall | ||
| Kandidateninfektion in | 1.7 | 3.9 |
| Orale Candidiasis | 3.9 | 0.6 |
| Sepsis wir | 5.1 | 5.0 |
| Harnwegsinfektion | 2.2 | 3.3 |
| Untersuchungen | ||
| Leberfunktionstests NOS abnormal | 1.7 | 3.3 |
| Stoffwechsel- und Ernährungsstörungen | ||
| Flüssigkeitsüberlastung | 5.1 | 7.7 |
| Hyperglykämie Nr | 10.7 | 11.6 |
| Hyperkaliämie | 2.2 | 3.3 |
| Hypernatriämie | 1.7 | 5.0 |
| Hypokalzämie | 6.2 | 5.5 |
| Hypoglykämie Nr | 3.4 | 4.4 |
| Hypokaliämie | 12.4 | 13.3 |
| Hypomagnesiämie | 10.1 | 9.9 |
| Hyponatriämie | 3.9 | 2.8 |
| Hypophosphichämie | 6.2 | 3.9 |
| Psychiatrische Störungen | ||
| Agitation | 3.4 | 8.8 |
| Atemstillstand und Mediastinalstörungen | ||
| Akutes Lungenversagen | 3.4 | 3.9 |
| Nosokomiale Lungenentzündung | 11.2 | 9.4 |
| Pneumothorax Nr | 0.6 | 4.4 |
| Atemversagen | 1.7 | 3.3 |
| Haut- und subkutane Gewebeerkrankungen | ||
| Dekubitusgeschwür | 3.4 | 2.8 |
| Ausschlag NOS | 5.6 | 6.1 |
| Gefäßstörungen | ||
| Hypertonie Nr | 7.9 | 3.3 |
| Hypotonie NOS | 9.6 | 6.6 |
| Nos = nicht sonst angegeben 1 berichtet bei mindestens 3% der Patienten in beiden Behandlungsgruppen. 2 In dieser Studie wurde klinisch signifikante obere Magen -Darm -Blutungen als schwerwiegende Nebenwirkungen angesehen, sie ist jedoch nicht in dieser Tabelle enthalten. |
Nachmarkterfahrung
Die folgenden nachteiligen Reaktionen wurden während der Verwendung von Omeprazol- und Natriumbicarbonat nach der Anbietung identifiziert. Da diese Reaktionen freiwillig aus einer Population unsicherer Größe berichtet werden, ist es nicht immer möglich, ihre Häufigkeit zuverlässig abzuschätzen oder ein kausales Verhältnis zur Arzneimittelexposition herzustellen.
Omeprazol
Körper als Ganzes: Überempfindlichkeitsreaktionen einschließlich Anaphylaxie anaphylaktischer Schock Angioödem Bronchospasmus Urticaria (siehe Auch Haut unten ) Fieberschmerzen Müdigkeit Unwohlsein und systemischer Lupus erythematodes.
Herz -Kreislauf: Brustschmerzen oder Angina -Tachykardie Bradykardie Palpitation Erhöhter Blutdruck und peripheres Ödem.
Magen -Darm: Pankreatitis (einige tödlich) Anorexie Reizkolonflatulenz Fäkalverfärbungen der Speiseröhre Candidiasis Schleimhautatrophie der Zungen -Mund -Stomatitis -Bauchschwellung und Fundaldrüsenpolypen. Gastroduodenale Karzinoide wurden bei Patienten mit dem Zollinger-Ellison-Syndrom bei der Langzeitbehandlung mit Omeprazol berichtet. Es wird angenommen, dass dieser Befund eine Manifestation der zugrunde liegenden Erkrankung ist, von der bekannt ist, dass sie mit solchen Tumoren verbunden ist.
Leber: leichte und selten ausgeprägte Erhöhungen der Leberfunktionstests [ALT (SGPT) AST (SGOT) γ-Glutamyltranspeptidase alkalische Phosphatase und Bilirubin (Jungerwesen)]. In seltenen Fällen ist offene Lebererkrankungen aufgetreten, einschließlich hepatozellulärer cholestatischer oder gemischter Hepatitis -Lebernekrose (ein tödliches) Leberversagen (einige tödlich) und Leberdephalopathie.
Infektionen und Befall: Clostridium difficile -Soziiertes Durchfall.
Stoffwechsel und Ernährungsstörungen: Hypomagnesiämie hypocalcemia hypokalemia [sehen Warnungen und Vorsichtsmaßnahmen ] Hyponatriämie Hypoglykämie und Gewichtszunahme.
Muskuloskelett: Muskelkrämpfe Myalgie Muskelschwäche Gelenkschmerzen Knochenbruch und Beinschmerzen.
Nervensystem/psychiatrisch: Psychische Störungen einschließlich Depression Agitation Aggression Halluzinationen Verwirrung Schlaflosigkeit Nervosität Zittern Apathie Schläfrigkeit Angst Traum Anomalien; Schwindel; Parästhesie; und Hemifaziale Dysästhesie.
Atemweg: Epistaxis Pharyngeal Pain.
Haut: Schwere verallgemeinerte Hautreaktionen, einschließlich zehn (einige tödliche) SJs Kleides Alter, Hautlupus erythematosus und erythem multiforme (einige schwere); Purpura und/oder Petechiae (einige mit Wiederbelebung); Hautentzündung Urtikaria Angioödem Pruritus Photoempfindlichkeit Alopezie Trockene Haut und Hyperhidrose.
Besondere Sinne: Tinnitus schmeckt Perversion.
Okular: BluRred Vision Ocular Reizung Trockener Augen -Syndrom -Optikatrophie anterior ischämische Optikusneuropathie Optische Neuritis und doppeltes Sehvermögen.
Urogenital: Tubulointerstitielle Nephritis Harnwegsinfektion Mikroskopische Pyurie Harnfrequenz erhöhte Serumkreatinin -Proteinurie Hämaturie Glykosurie Hodenschmerzen Gynäkomastie und erektile Dysfunktion
Hämatologisch: Es wurde seltene Fälle von Panzytopenie -Agranulozytose (einige tödlich) Thrombozytopenie -Neutropenie -Leukopenie -Anämie -Leukozytose und hämolytische Anämie berichtet.
Natriumbicarbonat
Anfälle von Stoffwechselalkalose und Tetanie.
Wechselwirkungen mit Arzneimitteln for Zegerid
Die Tabellen 6 und 7 umfassen Arzneimittel mit klinisch wichtigen Arzneimittelwechselwirkungen und Interaktion mit Diagnostik, wenn sie gleichzeitig mit Omeprazol und Anweisungen zur Verhinderung oder Verwaltung von Omeprazol verabreicht werden.
Konsultieren Sie die Kennzeichnung von gleichzeitig verwendeten Arzneimitteln, um weitere Informationen über Wechselwirkungen mit PPIs zu erhalten.
Tabelle 6: Klinisch relevante Wechselwirkungen, die Arzneimittel beeinflussen, die mit Omeprazol und Interaktion mit der Diagnostik zusammengefasst sind
| Antiretroviral | |
| Klinische Wirkung: | Die Wirkung von PPIs auf antiretrovirale Arzneimittel ist variabel. Die klinische Bedeutung und die Mechanismen hinter diesen Wechselwirkungen sind nicht immer bekannt.
|
| Intervention: | Rilpivirine-haltige Produkte: Die gleichzeitige Verwendung mit Zegierid ist kontraindiziert [siehe Kontraindikationen ]. Atazanavir: Vermeiden Sie die gleichzeitige Verwendung mit Zegern. Die Verschreibungsinformationen für Atazanavir finden Sie in der Dosierungsinformationen. NetFavir: Vermeiden Sie die gleichzeitige Verwendung mit Zegern. Siehe Verschreibungsinformationen für Nelfinavir. Saquinavir: Siehe die Verschreibungsinformationen für Saquinavir zur Überwachung potenzieller Saquinavir-verwandter Toxizitäten. Andere Antiretrovirale: Siehe Verschreibungsinformationen für spezifische antiretrovirale Arzneimittel. |
| Warfarin | |
| Klinische Wirkung: | Erhöhte INR- und Prothrombinzeit bei Patienten, die PPIs wie Omeprazol und Warfarin erhalten, gleichzeitig. Zunahme der INR- und Prothrombinzeit kann zu abnormalen Blutungen und sogar zu Tod führen. |
| Intervention: | Überwachen Sie die Zeit der INR und Prothrombin und passen Sie die Dosis von Warfarin bei Bedarf an, um die INR -Reichweite des Ziels aufrechtzuerhalten. |
| Methotrexat | |
| Klinische Wirkung: | Die gleichzeitige Verwendung von Omeprazol mit Methotrexat (hauptsächlich bei hoher Dosis) kann die Serumkonzentrationen von Methotrexat und/oder deren Metabolithydroxymethotrexat möglicherweise erhöhen und verlängern, die möglicherweise zu Methotrexat -Toxizitäten führen. Es wurden keine formalen Arzneimittelwechselwirkungsstudien mit hochdosiertem Methotrexat mit PPI durchgeführt [siehe Warnungen und Vorsichtsmaßnahmen ]. |
| Intervention: | Bei einigen Patienten, die ein hochdosiertes Methotrexat erhalten, kann ein vorübergehender Rückzug von Zegern in Betracht gezogen werden. |
| CYP2C19 -Substrate (z. B. Clopidogrel Citalopram Cilostazol Phenytoin Diazepam) | |
| Clopidogrel | |
| Klinische Wirkung: | Die gleichzeitige Verwendung von Omeprazol 80 mg führt zu verringerten Plasmakonzentrationen des aktiven Metaboliten von Clopidogrel und zu einer Verringerung der Thrombozytenhemmung [siehe Klinische Pharmakologie ]. Es gibt keine angemessenen Kombinationsstudien einer niedrigeren Dosis Omeprazol oder einer höheren Clopidogrel -Dosis im Vergleich zur zugelassenen Dosis von Clopidogrel. |
| Intervention: | Vermeiden Sie die gleichzeitige Verwendung mit Zegern. Erwägen Sie die Verwendung einer alternativen Thrombozytenaggregationär Therapie [siehe Warnungen und Vorsichtsmaßnahmen ]. |
| Citalopram | |
| Klinische Wirkung: | Erhöhte Exposition von Citalopram, was zu einem erhöhten Risiko für eine QT -Verlängerung führt [siehe Klinische Pharmakologie ]. |
| Intervention: | Beschränken Sie die Dosis von Citalopram auf maximal 20 mg pro Tag. Siehe Verschreibungsinformationen für Citalopram. |
| Cilostazol | |
| Klinische Wirkung: | Erhöhte Exposition eines der aktiven Metaboliten von Cilostazol (34-Dihydro-Cilostazol) [siehe Klinische Pharmakologie ]. |
| Intervention: | Reduzieren Sie die Dosis von Cilostazol zweimal täglich auf 50 mg. Siehe Verschreibungsinformationen für Cilostazol. |
| Phable | |
| Klinische Wirkung: | Potenzial für eine erhöhte Exposition von Phenytoin. |
| Intervention: | Überwachen Sie die Phenytoin -Serumkonzentrationen. Eine Dosisanpassung kann erforderlich sein, um die therapeutischen Arzneimittelkonzentrationen aufrechtzuerhalten. Siehe Verschreibungsinformationen für Phenytoin. |
| Diazepam | |
| Klinische Wirkung: | Erhöhte Exposition von Diazepam [siehe Klinische Pharmakologie ]. |
| Intervention: | Überwachen Sie die Patienten auf eine erhöhte Sedierung und verringern Sie die Dosis von Diazepam nach Bedarf. |
| Digoxin | |
| Klinische Wirkung: | Potenzial für eine erhöhte Exposition von Digoxin [siehe Klinische Pharmakologie ]. |
| Intervention: | Monitor Digoxin -Konzentrationen. Eine Dosisanpassung kann erforderlich sein, um die therapeutischen Arzneimittelkonzentrationen aufrechtzuerhalten. Siehe Informationen zur Verschreibung von Digoxin. |
| Medikamente, die vom Magen -pH für die Absorption abhängig sind (z. B. Eisensalze Erlotinib Dasatinib Nilotinib Mycophenolat Mofetil Ketoconazol/Itraconazol) | |
| Klinische Wirkung: | Omeprazol can reduce the absorption of other drugs due to its effect on reducing intraGastric acidity. |
| Intervention: | Es wurde berichtet, dass Mycophenolat-Mofetil (MMF): Ko-Verabreichung von Omeprazol bei gesunden Probanden und bei Transplantationspatienten, die MMF erhielten, die Exposition gegenüber der aktiven Metaboliten-Mycophenolsäure (MPA) möglicherweise aufgrund einer Verringerung der MMF-Solubilitalität bei einem erhöhten pH-Wert von Magensäure (MPA) verringert. Die klinische Relevanz einer verringerten MPA -Exposition gegenüber Organabstoßung wurde bei Transplantationspatienten, die Zweriden und MMF erhielten, nicht festgestellt. Verwenden Sie Zegernid mit Vorsicht bei Transplantationspatienten, die MMF erhalten [siehe Klinische Pharmakologie ]. Siehe die Verschreibungsinformationen für andere Arzneimittel, die von der Absorption von Magen -pH -Wert abhängig sind. |
| Tacrolimus | |
| Klinische Wirkung: | Potenzial für eine erhöhte Exposition von Tacrolimus, insbesondere bei Transplantationspatienten, die mittlere oder schlechte Metabolisierer von CYP2C19 sind. |
| Intervention: | Überwachen Sie Tacrolimus Vollblutkonzentrationen. Eine Dosisanpassung kann erforderlich sein, um die therapeutischen Arzneimittelkonzentrationen aufrechtzuerhalten. Siehe Verschreibungsinformationen für Tacrolimus. |
| Wechselwirkungen mit Untersuchungen von neuroendokrinen Tumoren | |
| Klinische Wirkung: | Die Serumchromogranin-A-Spiegel (CGA) steigen sekundär bis ppi-induzierter Abnahmen der Magensäure. Der erhöhte CGA -Spiegel kann zu falschen positiven Ergebnissen bei diagnostischen Untersuchungen für neuroendokrine Tumoren führen [siehe Warnungen und Vorsichtsmaßnahmen Und Klinische Pharmakologie ]. |
| Intervention: | Beenden Sie vorübergehend mindestens 14 Tage vor der Beurteilung der CGA -Spiegel die Prilosec -Behandlung und erwägen Sie, den Test zu wiederholen, wenn die anfänglichen CGA -Spiegel hoch sind. Wenn serielle Tests durchgeführt werden (z. B. zur Überwachung), sollte das gleiche kommerzielle Labor für die Tests verwendet werden, da die Referenzbereiche zwischen den Tests variieren können. |
| Wechselwirkung mit Secretin -Stimulationstest | |
| Klinische Wirkung: | Hyperantwort in der Gastrinsekretion als Reaktion auf Sekretinstimulationstest, die fälschlicherweise auf Gastrinom hinweisen. |
| Intervention: | Beenden Sie die Zegieridenbehandlung vorübergehend mindestens 14 Tage vor der Beurteilung, damit die Gastrinspiegel zur Ausgangswert zurückkehren können [siehe Klinische Pharmakologie ]. |
| Falsche positive Urintests für THC | |
| Klinische Wirkung: | Es gab Berichte über falsch positive Urin -Screening -Tests für Tetrahydrocannabinol (THC) bei Patienten, die PPI erhalten. |
| Intervention: | Eine alternative Bestätigungsmethode sollte berücksichtigt werden, um positive Ergebnisse zu überprüfen. |
| Andere | |
| Klinische Wirkung: | Es gab klinische Berichte über Wechselwirkungen mit anderen Arzneimitteln, die über das Cytochrom P450 -System (z. B. Cyclosporin -Disulfiram) metabolisiert wurden. |
| Intervention: | Überwachen Sie die Patienten, um festzustellen, ob es notwendig ist, die Dosierung dieser anderen Medikamente anzupassen, wenn sie gleichzeitig mit Zweriden eingenommen werden. |
Tabelle 7: Klinisch relevante Wechselwirkungen, die Omeprazol beeinflussen, wenn sie mit anderen Arzneimitteln gemeinsam verabreicht werden
| CYP2C19- oder CYP3A4 -Induktoren | |
| Klinische Wirkung: | Verringerte Exposition von Omeprazol, wenn sie gleichzeitig mit starken Induktoren verwendet wird [siehe Klinische Pharmakologie ]. |
| Intervention: | St. John's Wort Rifampin: Vermeiden Sie die gleichzeitige Verwendung mit Zegern [siehe Warnungen und Vorsichtsmaßnahmen ]. Ritonavir-containing products: Sehen prescribing information for specific drugs. |
| CYP2C19- oder CYP3A4 -Inhibitoren | |
| Klinische Wirkung: | Erhöhte Exposition von Omeprazol [siehe Klinische Pharmakologie ]. |
| Intervention: | Voriconazol: Eine Dosierungsanpassung von Zegier ist nicht erforderlich. |
Warnungen für Zegier
Eingeschlossen als Teil der VORSICHTSMASSNAHMEN Abschnitt.
Vorsichtsmaßnahmen für Zegier
Vorhandensein von Malignität des Magens
Bei Erwachsenen schließt eine symptomatische Reaktion auf die Therapie mit Zegerniden das Vorhandensein einer Magen -Malignität nicht aus. Betrachten Sie zusätzliche Follow-up- und diagnostische Tests bei erwachsenen Patienten, die nach Abschluss der Behandlung mit einem Protonenpumpeninhibitor (PPI) eine suboptimale Reaktion oder einen frühen symptomatischen Rückfall haben. Bei älteren Patienten berücksichtigen auch eine Endoskopie.
Akute Tubulointerstitielle Nephritis
Bei Patienten, die PPIs einnehmen, wurde akute Tubulointerstitial -Nephritis (Zinn) beobachtet und kann an jedem Punkt während der PPI -Therapie auftreten. Die Patienten können unterschiedliche Anzeichen und Symptome von symptomatischen Überempfindlichkeitsreaktionen bis hin zu unspezifischen Symptomen einer verminderten Nierenfunktion (z. B. Übelkeit und Anorexie) aufweisen. In den gemeldeten Fallreihen wurden einige Patienten in der Biopsie und in Abwesenheit extra-renaler Manifestationen (z. B. Fieberausschlag oder Arthralgie) diagnostiziert.
Zwerid einstellen und Patienten mit Verdacht auf akuter Dose bewerten [siehe Kontraindikationen ].
Natriumbicarbonat Buffer Content
Jede 20 mg und 40 mg Zegernkapsel enthält 1100 mg (13 mEQ) Natriumbicarbonat. Der Gesamtgehalt an Natrium in jeder Kapsel beträgt 304 mg.
Jedes 20 mg und 40 mg Zegeridenpaket für die orale Suspension enthält 1680 mg (20 MEQ) Natriumbicarbonat. Der Gesamtgehalt von Natrium in jedem Paket beträgt 460 mg.
Die chronische Verabreichung von Bicarbonat mit Kalzium oder Milch kann das Milch-Alkali-Syndrom verursachen. Die chronische Verwendung von Natriumbicarbonat kann zu systemischer Alkalose führen und eine erhöhte Natriumaufnahme kann Ödeme und Gewichtszunahme hervorrufen.
Der Natriumgehalt von Zweridenprodukten sollte bei der Verabreichung von Patienten wegen einer Natriumrötung oder Patienten, die für die Entwicklungsrisiko ausgesetzt sind, berücksichtigt werden Herzinsuffizienz .
Vermeiden Sie Zegern bei Patienten mit Bartters Hypokalzämie-Syndrom-Syndrom-Hypokaliämie und Problemen mit Säure-Base-Gleichgewicht.
Clostridium difficile-assoziiertes Durchfall
Veröffentlichte Beobachtungsstudien legen nahe, dass eine PPI -Therapie wie Zegierid mit einem erhöhten Risiko von verbunden sein kann Clostridium difficile -assoziiertes Durchfall, insbesondere bei Krankenhauspatienten. Diese Diagnose sollte für Durchfall berücksichtigt werden, die sich nicht verbessern [siehe Nebenwirkungen ].
Die Patienten sollten die niedrigste Dosis und die kürzeste Dauer der PPI -Therapie verwenden, die der zu behandelten Erkrankung entspricht.
Knochenbruch
Mehrere veröffentlichte Beobachtungsstudien legen nahe, dass die Protonenpumpeninhibitor (PPI) -Therapie mit einem erhöhten Risiko für Osteoporose-bezogene Frakturen des Hüftgelenks oder der Wirbelsäule verbunden sein kann. Das Frakturrisiko war bei Patienten erhöht, die hochdosiert als mehrere tägliche Dosen und eine langfristige PPI-Therapie (ein Jahr oder länger) definiert wurden. Die Patienten sollten die niedrigste Dosis und die kürzeste Dauer der PPI -Therapie verwenden, die der zu behandelten Erkrankung entspricht. Patienten mit dem Risiko für Osteoporose-Frakturen sollten gemäß den festgelegten Behandlungsrichtlinien behandelt werden [siehe Dosierung und Verwaltung Und Nebenwirkungen ].
Schwere kutane Nebenwirkungen
Schwere kutane Nebenwirkungen wie das Stevens-Johnson-Syndrom (SJS) und die toxische epidermale Nekrolyse (zehn) Arzneimittelreaktion mit Eosinophilie Und systemic symptoms (DRESS) Und acute generalized exanthematous pustulosis (AGEP) have been reported in association with the use of PPIs [sehen Nebenwirkungen ]. Discontinue Zeger at the first signs or symptoms of severe cutaneous adverse reactions or other signs of hypersensitivity Und consider further evaluation.
Haut- und systemischer Lupus erythematodes
Der kutane Lupus erythematosus (CLE) und systemischer Lupus erythematodes (SLE) wurden bei Patienten berichtet, die PPIs einschließlich Omeprazol einnehmen. Diese Ereignisse sind sowohl als neuer Beginn als auch als Verschlimmerung der vorhandenen Autoimmunerkrankungen aufgetreten. Die Mehrheit der PPI-induzierten Lupus erythematodes Fälle war CLE.
Die häufigste Form von CLE, die bei mit PPIs behandelten Patienten berichtet wurde, war subakutes CLE (SCLE) und trat innerhalb von Wochen bis Jahren nach einer kontinuierlichen medikamentösen Therapie bei Patienten von Säuglingen bis hin zu älteren Menschen auf. Im Allgemeinen wurden histologische Befunde ohne Organbeteiligung beobachtet.
Der systemische Lupus erythematodes (SLE) wird bei Patienten, die PPI erhalten, weniger häufig als CLE gemeldet. PPI-assoziiertes SLE ist normalerweise milder als nicht ausgelöster induzierter SLE. Der Beginn der SLE trat typischerweise innerhalb von Tagen bis Jahren nach der Einleitung einer Behandlung bei Patienten von jungen Erwachsenen bis hin zu älteren Menschen auf. Die Mehrheit der Patienten hatte Ausschlag; Allerdings wurden auch Arthralgie und Zytopenie berichtet.
Vermeiden Sie die Verabreichung von PPIs länger als medizinisch angegeben. Wenn Anzeichen oder Symptome im Einklang mit CLE oder SLE bei Patienten festgestellt werden, die Zegerniden erhalten, stellen Sie das Arzneimittel ab und verweisen den Patienten zur Bewertung an den geeigneten Spezialisten. Die meisten Patienten verbessern sich durch Absetzen des PPI allein in 4 bis 12 Wochen. Die serologischen Tests (z. B. ANA) können positive und erhöhte serologische Testergebnisse sein, die länger dauern können, als klinische Manifestationen.
Wechselwirkung mit Clopidogrel
Vermeiden Sie die gleichzeitige Verwendung von Zegern mit Clopidogrel. Clopidogrel ist ein Prodrug. Die Hemmung der Thrombozytenaggregation durch Clopidogrel ist vollständig auf einen aktiven Metaboliten zurückzuführen. Der Stoffwechsel von Clopidogrel zu seinem aktiven Metaboliten kann durch Verwendung mit gleichzeitigen Medikamenten wie Omeprazol beeinträchtigt werden, die die CYP2C19 -Aktivität stören. Die gleichzeitige Verwendung von Clopidogrel mit 80 mg Omeprazol verringert die pharmakologische Aktivität von Clopidogrel, selbst wenn sie 12 Stunden voneinander entfernt verabreicht werden. Bei der Verwendung von Zegernid in Betracht ziehen die alternative Therapie -Therapie -Therapie [siehe Wechselwirkungen mit Arzneimitteln Und Klinische Pharmakologie ].
Cyanocobalamin (Vitamin B-12) -Mangel
Die tägliche Behandlung mit säureunterdrückenden Medikamenten über einen langen Zeitraum (z. B. länger als 3 Jahre) kann zu einer Malabsorption von Cyanocobalamin (Vitamin B-12) führen, die durch Hypo-or-Achlorhydria verursacht werden. In der Literatur wurden seltene Berichte über Cyanocobalamin-Mangel mit Säure-Suppressing-Therapie berichtet. Diese Diagnose sollte berücksichtigt werden, wenn bei Patienten, die mit Zweriden behandelt wurden, klinische Symptome im Einklang mit Cyanocobalamin -Mangel beobachtet werden.
Hypomagnesiämie And Mineral Stoffwechsel
Hypomagnesiämie symptomatic Und asymptomatic has been reported rarely in patients treated with PPIs for at least three months in most cases after a year of therapy. Serious adverse events include tetany arrhythmias Und seizures. Hypomagnesiämie may lead to hypocalcemia Und/or hypokalemia Und may exacerbate underlying hypocalcemia in at-risk patients. In most patients treatment of hypomagnesemia required magnesium replacement Und discontinuation of the PPI.
Für Patienten, die erwartet werden, die voraussichtlich eine längere Behandlung haben oder die PPIs mit Medikamenten wie Digoxin oder Medikamenten einnehmen, die eine Hypomagnesiämie (z. B. Diuretika) medizinische Fachkräfte verursachen können Nebenwirkungen ].
Überwachen Sie die Überwachung der Magnesium- und Calciumspiegel vor Beginn der Zegeriden und regelmäßig bei der Behandlung bei Patienten mit einem bereits bestehenden Risiko einer Hypokalzämie (z. B. Hypoparathyreose). Ergänzung mit Magnesium und/oder Kalzium nach Bedarf. Wenn eine Hypokalzämie refraktär zu behandeln ist, sollten Sie den PPI absetzen.
Interaktion mit St. Johns Würze oder Rifampin
Medikamente, die CYP2C19 oder CYP3A4 (wie der heilige John oder Rifampin) induzieren, können die Konzentrationen von Omeprazol erheblich verringern [siehe Wechselwirkungen mit Arzneimitteln ]. Avoid concomitant use of Zeger with St. John’s wort or rifampin.
Wechselwirkungen mit Untersuchungen für neuroendokrine Tumoren
Die Serumchromogranin-A-Spiegel (CGA) erhöhen sekundäre bis medikamenteninduzierte Abnahmen der Magensäure. Der erhöhte CGA -Spiegel kann zu falschen positiven Ergebnissen bei diagnostischen Untersuchungen für neuroendokrine Tumoren führen. Die Anbieter sollten die Zegierbehandlung mindestens 14 Tage vor der Beurteilung der CGA -Spiegel vorübergehend stoppen und in Betracht ziehen, den Test zu wiederholen, wenn die anfänglichen CGA -Spiegel hoch sind. Wenn serielle Tests durchgeführt werden (z. B. zur Überwachung), sollte das gleiche kommerzielle Labor zum Testen verwendet werden, da die Referenzbereiche zwischen den Tests variieren können [siehe Wechselwirkungen mit Arzneimitteln ].
Wechselwirkung mit Methotrexat
Die Literatur legt nahe, dass eine gleichzeitige Verwendung von PPIs mit Methotrexat (hauptsächlich bei hoher Dosis) die Serumspiegel von Methotrexat und/oder deren Metaboliten erhöhen und möglicherweise zu Methotrexat -Toxizitäten führt. Bei einer hochdosierten Methotrexatverabreichung kann bei einigen Patienten ein vorübergehender Entzug des PPI in Betracht gezogen werden [siehe Wechselwirkungen mit Arzneimitteln ].
Fondsdrüsenpolps
Die Verwendung von PPI ist mit einem erhöhten Risiko für Fundaldrüsenpolypen verbunden, die mit der langfristigen Verwendung insbesondere über ein Jahr zunehmen. Die meisten PPI -Benutzer, die Fundic Drüsenpolypen entwickelten, waren asymptomatische und Fundic Drüsenpolypen wurden früher in der Endoskopie identifiziert. Verwenden Sie die kürzeste Dauer der PPI -Therapie, die der Behandlung der Erkrankung entspricht.
Patientenberatungsinformationen
Raten Sie dem Patienten, die von der FDA zugelassene Patientenkennzeichnung zu lesen ( Medikamentenhandbuch ).
Akute Tubulointerstitielle Nephritis
Raten Sie dem Patienten, seinen Gesundheitsdienstleister sofort anzurufen, wenn er Anzeichen und/oder Symptome im Zusammenhang mit akuter Tubulointerstitial -Nephritis aufweist [siehe Warnungen und Vorsichtsmaßnahmen ].
Natriumbicarbonat Buffer Content
Informieren Sie die Patienten über eine Natriumrötung oder Patienten, bei denen das Risiko einer Herzinsuffizienz des Natriumgehalts von Zweridenkapseln (304 mg Pro-Kapsel) und Zweriden für die orale Suspension (460 mg pro Paket) entwickelt wird.
Patienten beraten, die:
- Die chronische Verwendung von Bicarbonat mit Kalzium oder Milch kann das Milch-Alkali-Syndrom verursachen
- Chronische Verwendung von Natriumbicarbonat kann systemische Alkalose
- Eine erhöhte Natriumaufnahme kann zu Schwellungen und Gewichtszunahme führen.
Wenn einer dieser auftritt, weist sie die Patienten an, ihren Gesundheitsdienstleister zu kontaktieren [siehe Warnungen und Vorsichtsmaßnahmen ].
Clostridium difficile-assoziiertes Durchfall
Raten Sie dem Patienten, seinen Gesundheitsdienstleister sofort anzurufen, wenn er Durchfall hat, das sich nicht verbessert [siehe Warnungen und Vorsichtsmaßnahmen ].
langfristige Nebenwirkungen von Xgeva
Knochenbruch
Raten Sie dem Patienten, alle Frakturen insbesondere des Hüftgelenks oder der Wirbelsäule an seinen Gesundheitsdienstleister zu melden [siehe Warnungen und Vorsichtsmaßnahmen ].
Schwere kutane Nebenwirkungen
Raten Sie dem Patienten, Zegieriden einzustellen und seinen Gesundheitsdienstleister sofort beim ersten Erscheinen einer schweren kutanen nachteiligen Reaktion oder anderer Anzeichen einer Überempfindlichkeit anzurufen [siehe Warnungen und Vorsichtsmaßnahmen ].
Haut- und systemischer Lupus erythematodes
Raten Sie dem Patienten, seinen Gesundheitsdienstleister sofort wegen neuer oder verschlechterter Symptome im Zusammenhang mit Haut- oder systemischem Lupus erythematodes anzurufen [siehe Warnungen und Vorsichtsmaßnahmen ].
Cyanocobalamin (Vitamin B-12) -Mangel
Raten Sie dem Patienten, klinische Symptome zu melden, die mit Cyanocobalamin -Mangel an ihrem Gesundheitsdienstleister verbunden sein können, wenn sie seit länger als 3 Jahren Zegieriden erhalten [siehe Warnungen und Vorsichtsmaßnahmen ].
Hypomagnesiämie And Mineral Stoffwechsel
Raten Sie dem Patienten, klinische Symptome zu melden, die möglicherweise mit Hypokokalzämie und/oder Hypokaliämie in Verbindung gebracht werden Warnungen und Vorsichtsmaßnahmen ].
Wechselwirkungen mit Arzneimitteln
Beraten Sie die Patienten, ihrem Gesundheitsdienstleister zu melden, wenn sie mit der Behandlung mit rilpivirinhaltigen Produkten Clopidogrel St. Johns Würze oder Rifampin beginnen oder wenn sie hochdosiertes Methotrexat einnehmen [siehe Kontraindikationen Und Warnungen und Vorsichtsmaßnahmen ].
Verwaltung
Patienten anweisen, die:
- Zwei Pakete mit 20 mg Zegier für die orale Suspension sind nicht mit einem Paket von 40 mg Zegier für die orale Suspension austauschbar.
- Zwei 20 mg Zweridenkapseln sind mit einer 40 -mg -Zweridenkapsel nicht austauschbar.
Verwaltung Of Zegernkapseln
- Weisen Sie die Patienten an, Zweridenkapseln zu schlucken, die mit Wasser intakt sind. Öffnen Sie die Kapsel nicht und verabreichen Sie sich nicht mit anderen Flüssigkeiten als Wasser.
- Weisen Sie die Patienten an, mindestens eine Stunde vor einer Mahlzeit Zweridenkapseln auf nüchternen Magen zu nehmen [siehe Dosierung und Verwaltung ].
Verwaltung Of Zegerniden für die orale Suspendierung
- Beraten Sie den Patienten, dass Zegier für die orale Suspension mit Wasser gemischt und oral oder über einen Nasogastric (NG)/Orogastric (OG) -Rohre verabreicht werden soll, wie im Medikamentenführer beschrieben.
- Weisen Sie die Patienten an, die enterale Fütterung ungefähr 3 Stunden vor und 1 Stunde nach der Verabreichung von Zegern für die orale Suspension zu suspendieren [siehe Dosierung und Verwaltung ].
Nichtklinische Toxikologie
Karzinogenese -Mutagenese -Beeinträchtigung der Fruchtbarkeit
In zwei 24-monatigen Karzinogenitätsstudien an Ratten Omeprazol bei täglichen Dosen von 1,7 3,4 13,8 44 und 140,8 mg/kg/Tag (ungefähr 0,4 bis 34,2-mal die menschliche Dosis von 40 mg/Tag auf einer Körperoberfläche produzierte, die bei beiden männlichen und weiblichen Ratten-Ratten-Zellkarcinoiden bei männlichen und weiblichen Ratten bei männlichen und weiblichen Art und Weise bei männlichen Ratten. Die Inzidenz dieses Effekts war bei weiblichen Ratten, die einen höheren Blutspiegel an Omeprazol hatten, deutlich höher. Magenkarzinoide treten in der unbehandelten Ratte selten auf. Zusätzlich war ECL -Zellhyperplasie in allen behandelten Gruppen beider Geschlechter vorhanden. In einer dieser Studien wurden weibliche Ratten mit 13,8 mg Omeprazol/kg/Tag (ungefähr das 3,36 -fache der menschlichen Dosis von 40 mg/Tag auf Körperoberfläche) für ein Jahr behandelt und dann für ein zusätzliches Jahr ohne Arzneimittel befolgt. Bei diesen Ratten wurden keine Karzinoide beobachtet. Am Ende eines Jahres wurde eine erhöhte Inzidenz der Behandlung mit behandlungsbedingter ECL-Zellhyperplasie beobachtet (94% behandelt gegenüber 10% Kontrollpersonen). Bis zum zweiten Jahr war der Unterschied zwischen behandelten und Kontrollratten viel geringer (46% gegenüber 26%), zeigten jedoch immer noch mehr Hyperplasie in der behandelten Gruppe. Magen -Adenokarzinom wurde bei einer Ratte (2%) beobachtet. Bei männlichen oder weiblichen Ratten, die zwei Jahre lang behandelt wurden, wurde kein ähnlicher Tumor beobachtet. Für diesen Rattenstamm wurde in der Vergangenheit kein ähnlicher Tumor festgestellt, aber ein Befund, an dem nur ein Tumor beteiligt ist, ist schwer zu interpretieren. In einer 52-wöchigen Toxizitätsstudie in Sprague wurden Dawley-Ratten-Gehirnastrozytome bei einer geringen Anzahl von Männern gefunden, die Omeprazol in Dosis von 0,4 2 und 16 mg/kg/Tag (etwa 0,1 bis 3,9-fache der menschlichen Dosis von 40 mg/Tag auf Körperoberfläche) erhielten. In dieser Studie wurden bei weiblichen Ratten keine Astrozytome beobachtet. In einer 2-jährigen Karzinogenitätsstudie bei Sprague-Dawley-Ratten wurden bei Männern und Frauen bei der hohen Dosis von 140,8 mg/kg/Tag keine Astrozytome gefunden (etwa das 34-fache der menschlichen Dosis von 40 mg/Tag auf einer Körperoberfläche). Eine 78-wöchige Mauskarzinogenitätsstudie mit Omeprazol zeigte kein erhöhtes Tumoraufkommen, aber die Studie war nicht schlüssig. Eine 26-wöchige p53 ( /-) transgene Mauskarzinogenitätsstudie war nicht positiv.
Omeprazol was positive for clastogenic effects in an in vitro human lymphocyte chromosomal aberration assay in one of two in vivo mouse micronucleus tests Und in an in vivo bone marrow cell chromosomal aberration assay. Omeprazol was negative in the in vitro Ames test an in vitro mouse lymphoma cell forward mutation assay Und an in vivo rat liver DNA damage assay.
In einer 24-monatigen Karzinogenitätsstudie an Ratten wurde bei männlichen und weiblichen Tieren eine dosisbedingte signifikante Erhöhung der Magenkarzinoid-Tumoren und ECL-Zellhyperplasie beobachtet. Karzinoidtumoren wurden auch bei Ratten beobachtet, die einer Fundektomie oder einer Langzeitbehandlung mit anderen PPIs oder hohen Dosen von H2-Rezeptor-Antagonisten unterzogen wurden.
Omeprazol at oral doses up to 138 mg/kg/day (about 33.6 times the human dose of 40 mg/day on a body surface area basis) was found to have no effect on the fertility Und general reproductive performance in rats.
Verwendung in bestimmten Populationen
Schwangerschaft
Risikozusammenfassung
Es gibt keine angemessenen und gut kontrollierten Studien mit Zegern bei schwangeren Frauen. Zegerid enthält Omeprazol- und Natriumbicarbonat.
Omeprazol
Es gibt keine angemessenen und gut kontrollierten Studien mit Omeprazol bei schwangeren Frauen. Die verfügbaren epidemiologischen Daten zeigen nicht ein erhöhtes Risiko für wichtige angeborene Fehlbildungen oder andere nachteilige Schwangerschaftsergebnisse bei der Verwendung von Omeprazol im ersten Trimester. Fortpflanzungsstudien an Ratten und Kaninchen führten zu einer dosisabhängigen Embryo-Letalität bei Omeprazol-Dosen, die ungefähr 3,4 bis 34-mal eine orale menschliche Dosis von 40 mg (basierend auf einer Körperoberfläche für eine 60-kg-Person) bestand.
Die Teratogenität wurde in tierischen Fortpflanzungsstudien mit oraler Esomprazol (einem Enantiomer von Omeprazol) bei Ratten und Kaninchen während der Organogenese mit Dosen etwa 68 -mal bzw. 42 -mal und einer oralen Dosis von 40 kg -Person) nicht beobachtet, die orale Esomeprazol (ein Enantiomer von Omeprazol) verabreicht haben. Veränderungen der Knochenmorphologie wurden bei Nachkommen von Ratten beobachtet, die durch die meiste Schwangerschaft und die Laktation in Dosen gleich als das ungefähr 34 -fache einer oralen menschlichen Dosis von 40 mg Esomprazol oder 40 mg Omeprazol dosiert wurden. Wenn die Verabreichung von Müttern auf die Schwangerschaft beschränkt war Daten ).
Natriumbicarbonat
Die verfügbaren Daten mit Natriumbicarbonat -Anwendung bei schwangeren Frauen reichen nicht aus, um ein medikamenten damit verbundenes Risiko für schwere Geburtsfehler oder eine Fehlgeburt zu identifizieren. Veröffentlichte Tierstudien berichten, dass Natriumbicarbonat, die Rattenmäusen oder Kaninchen während der Schwangerschaft verabreicht wurden, bei Nachkommen keine nachteiligen Entwicklungseffekte verursachten.
Die geschätzten Hintergrundrisiken von schweren Geburtsfehlern und Fehlgeburt für die angegebene Bevölkerung sind unbekannt. Alle Schwangerschaften haben ein Hintergrundrisiko für einen Verlust von Geburtsfehlern oder andere nachteilige Ergebnisse. In der US -allgemeinen Bevölkerung beträgt das geschätzte Hintergrundrisiko für größere Geburtsfehler und eine Fehlgeburt bei klinisch anerkannten Schwangerschaften 2% bis 4% bzw. 15% bis 20%.
Daten
Menschliche Daten
Es gibt keine angemessenen und gut kontrollierten Studien mit Zegern bei schwangeren Frauen. In vier veröffentlichten epidemiologischen Studien verglichen die Häufigkeit angeborener Anomalien bei Säuglingen, die bei Frauen geboren wurden, die während der Schwangerschaft Omeprazol verwendeten, mit der Häufigkeit von Anomalien bei Säuglingen von Frauen, die H2-Rezeptor-Antagonisten oder anderen Kontrollen ausgesetzt waren.
Eine bevölkerungsbasierte retrospektive Kohorte-epidemiologische Studie aus dem schwedischen medizinischen Geburtsregister, das von 1995 bis 1999 ungefähr 99% der Schwangerschaften abdeckte, berichtete, dass 955 Säuglinge (824 während des ersten Trimesters ausgesetzt waren, wobei 39 dieser dieser nach dem ersten Trimester ausgesetzt waren), dessen Mütter während der Schwangerschaft Omprazol verwendeten. Die Anzahl der in der Utero ausgesetztes Säuglingen, die Omeprazol ausgesetzt waren und ein niedriges Geburtsgewicht mit niedrigem Geburtsgewicht oder Krankenhausaufenthalt aufwies, war der Anzahl der in dieser Bevölkerung beobachteten Zahl ähnlich. Die Anzahl der Säuglinge, die mit ventrikulären Septumfehlern geboren wurden, und die Anzahl der totgeborenen Säuglinge war bei den Omeprazol-exponierten Säuglingen etwas höher als die erwartete Anzahl in dieser Bevölkerung.
Eine bevölkerungsbezogene retrospektive Kohortenstudie, die alle Lebendgeburten in Dänemark von 1996 bis 2009 abdeckte, berichtete über 1800 Lebendgeburten, deren Mütter während des ersten Schwangerschaftstrikts Omeprazol und 837317 Lebendgeburten verwendeten, deren Mütter keine PPI verwendeten. Die allgemeine Geburtsfehler bei Säuglingen, die von Müttern mit dem ersten Trimester in Omeprazol geboren wurden, betrug 2,9% und 2,6% bei Säuglingen, die von Müttern geboren wurden, die im ersten Trimester keinem PPI ausgesetzt waren.
Eine retrospektive Kohortenstudie berichtete über 689 schwangere Frauen, die im ersten Trimester entweder H2-Blocker oder Omeprazol ausgesetzt waren (NULL, die Omeprazol ausgesetzt waren) und 1572 schwangere Frauen, die sich im ersten Trimester von beiden nicht entzünden. Die allgemeine Missbildungsrate bei Nachkommen, die von Müttern geboren wurden, mit Omeprazol-Exposition von Omeprazol, einem H2-Blocker oder nicht exponiert, betrug 3,6% 5,5% bzw. 4,1%.
Eine kleine prospektive Beobachtungskohortenstudie folgte 113 Frauen, die während der Schwangerschaft Omeprazol ausgesetzt waren (89% Exposition des ersten Trimesters). Die gemeldete Rate der wichtigsten angeborenen Missbildungen betrug 4% in der Omeprazolgruppe 2% bei Kontrollpersonen, die nichtteratogenen und 2,8% bei krankheitsgepaarten Kontrollen ausgesetzt waren. Die Raten der spontanen und elektiven Abtreibungen Frühgeborenen des Schwangerschaftsalters bei der Entbindung und dem mittleren Geburtsgewicht waren bei den Gruppen ähnlich.
In mehreren Studien wurden keine offensichtlichen nachteiligen kurzfristigen Auswirkungen auf das Kind berichtet, wenn über 200 schwangere Frauen orale oder intravenöse Omeprazol mit Einzeldosis als Prämedizierung für den Kaiserschnitt unter Vollnarkose verabreicht wurden.
Tierdaten
Omeprazol
Fortpflanzungsstudien mit Omeprazol bei Ratten bei oralen Dosen von bis zu 138 mg/kg/Tag (etwa 34 -mal eine orale menschliche Dosis von 40 mg auf Körperoberfläche) und bei Kaninchen bei Dosen bis zu 69,1 Mg/kg/Tag (etwa 34 -fache einer oralen menschlichen Dosis von 40 mg) während der Organogenese (etwa 34 -fache einer oralen menschlichen Dosis von 40 mg) während eines Körperflächenbasis auf einer Körperoberfläche) während der Organogenese wurden auf der Organogenese keine orale menschliche Dosis auf einer Körperfläche auf einer Körperfläche auf einer Körperfläche auf der Organogene auf der Organogene entweist. Omeprazol. Bei Kaninchen erzeugte Omeprazol in einem Dosisbereich von 6,9 bis 69,1 mg/kg/Tag (ca. 3,4 bis 34-mal eine orale menschliche Dosis von 40 mg auf Körperoberfläche), die während der Organogenese verabreicht wurde, dosisbedingte Erhöhungen der fetalen Resorptionen und Schwangerschaftsstörungen. Bei Ratten wurden dosisbedingte Embryo-/fetale Toxizität und postnatale Entwicklungstoxizität bei Nachkommen beobachtet, die von Eltern resultierten, die mit Omeprazol mit 13,8 bis 138 mg/kg/Tag behandelt wurden (etwa 3,4 bis 34-mal, vor der Laktation, die vor der Laktation verabreicht wurde.
Esomeprazol
Die nachstehend beschriebenen Daten wurden aus Studien unter Verwendung von Esomeprazol, einem Enantiomer von Omeprazol, generiert. Das multiples Dosis von Tieren zu menschlich basiert auf der Annahme einer gleichmäßigen systemischen Exposition gegenüber Esomeprazol beim Menschen nach oraler Verabreichung von entweder 40 mg Esomeprazol oder 40 mg Omeprazol.
In Fortpflanzungsstudien mit Esomeprazol-Magnesium bei Ratten bei oralen Dosen von bis zu 280 mg/kg/Tag (etwa 68-mal eine orale menschliche Dosis von 40 mg auf einer Körperoberfläche) und bei einer oralen Dosis von 40 mg/kg/Tag (etwa 42 Mal 42 Mal 42 Mal 42 Mal 42 Mal 42 Mal 42 Mal 42 mal 42 Mal 42 Mal 42 Mal 42 Mal, 42 Mal 42 mal 42 Mal (42 mal 42 Mal 42 Mal (42 Mal) oder 42 Mal 42 Mal (42 Mal), auf Körperoberfläche) während der Organogenese verabreicht.
Eine Studie vor und postnataler Entwicklungstoxizität an Ratten mit zusätzlichen Endpunkten zur Bewertung der Knochenentwicklung wurde mit Esomeprazol-Magnesium in oralen Dosen von 14 bis 280 mg/kg/Tag durchgeführt (etwa 3,4 bis 68-mal eine orale menschliche Dosis von 40 mg Esomprazol oder 40 mg Omeprazol auf einer Basis der Körperfläche). Das Überleben der Neugeborenen/frühen postnatalen (Geburt des Entwöhnungsabsatzes) war bei Dosen, die gleich oder mehr als 138 mg/kg/Tag entspricht (etwa 34 -mal eine orale menschliche Dosis von 40 mg Esomeprazol oder 40 mg Omeprazol auf einer Basis der Körperoberfläche). Körpergewicht und Körpergewichtszunahme wurden verringert und neurobehaviorale oder allgemeine Entwicklungsverzögerungen im unmittelbaren Nachablaufzeitraum waren in Dosen, die gleich oder mehr als 69 mg/kg/Tag (etwa 17-fache einer oralen menschlichen Dosis von 40 mg Esomprazol oder 40 mg Omeprazol auf einer Körperfläche von 40 mg). Zusätzlich verringerte die Breite der Femurlänge und die Dicke des kortikalen Knochens eine verminderte Dicke der Tibia -Wachstumsplatte und minimale bis milde Knochenmarkhypozellularität wurden bei Dosen von Esomeprazol Magnesium gleich oder mehr als 14 mg/kg/Tag (etwa 3,4 -mal eine orale menschliche Dosis von 40 mg ESOMPRAZOL oder 40 MG OMEPRAZOL BASISE). Physeale Dysplasie im Femur wurde bei Nachkommen von Ratten beobachtet, die mit oralen Dosen von Esomeprazol -Magnesium in Dosen gleich oder mehr als 138 mg/kg/Tag behandelt wurden (etwa 34 -mal eine orale menschliche Dosis von 40 mg Esomprazol oder 40 mg Omeprazol auf einer Basis der Körperfläche).
Die Auswirkungen auf den mütterlichen Knochen wurden in schwangeren und laktierenden Ratten in einer Studie vor und postnataler Toxizität beobachtet, in der Esomeprazol-Magnesium in oralen Dosen von 14 bis 280 mg/kg/Tag verabreicht wurde (etwa 3,4 bis 68-fache einer oralen menschlichen Dosis von 40 mg Eomeprazol oder 40 mg OMeprazol auf einem Körperbereich. Wenn Ratten vom Schwangerschaftstag 7 durch Absetzen am postnatalen Tag 21 dosierten, wurde bei Dosen von Esomeprazol -Magnesium, die gleich oder größer als 138 mg/kg/Tag (ungefähr 34 mal eine orale menschliche Dosierung von 40 mg auf einer Körperfläche).
Eine Studie vor und postnataler Entwicklung an Ratten mit Esomeprazolstrontium (unter Verwendung von äquimolaren Dosen im Vergleich zur Esomprazol-Magnesiumstudie) führte wie oben beschrieben ähnliche Ergebnisse bei Dämmen und Puppen.
Eine Studie zur Entwicklung von Entwicklungstoxizität bei Ratten mit weiteren Zeitpunkten zur Bewertung der PUP-Knochenentwicklung von postnataler Tag 2 bis Erwachsenenalter wurde mit Esomeprazol Magnesium bei oralen Dosen von 280 mg/kg/Tag durchgeführt (ungefähr 68-mal, in der eine orale menschliche Dosis von 40 mg an der Verabreichung von Boda-Flächen teilnahm. Wenn die Mütterverwaltung auf die Schwangerschaft beschränkt war, gab es in jedem Alter keine Auswirkungen auf die Knochen physikalische Morphologie in den Nachkommen.
Stillzeit
Risikozusammenfassung
Die verfügbaren Daten aus der veröffentlichten Literatur legen nahe, dass beide Komponenten von Zegern Omeprazol und Natriumbicarbonat in Muttermilch vorhanden sind. Es gibt keine klinischen Daten zu den Auswirkungen von Omeprazol oder Natriumbicarbonat auf das gestillte Kind oder auf die Milchproduktion. Die Entwicklungs- und gesundheitlichen Vorteile des Stillens sollten zusammen mit dem klinischen Bedürfnis der Mutter nach Zegier und potenziellen nachteiligen Auswirkungen des gestillten Kindes aus Zegern oder aus dem zugrunde liegenden mütterlichen Zustand berücksichtigt werden.
Pädiatrische Verwendung
Bei pädiatrischen Patienten wurde die Sicherheit und Wirksamkeit von Zegern nicht festgestellt.
Jugendliche Tierdaten
Esomeprazol an enantiomer of omeprazole was shown to decrease body weight body weight gain femur weight femur length Und overall growth at oral doses about 34 to 68 times a daily human dose of 40 mg esomeprazole or 40 mg omeprazole based on body surface area in a juvenile rat toxicity study. The animal to human dose multiples are based on the assumption of equal systemic exposure to esomeprazole in humans following oral administration of either 40 mg esomeprazole or 40 mg omeprazole.
Eine 28-tägige Toxizitätsstudie mit einer 14-tägigen Erholungsphase wurde bei juvenilen Ratten mit Esomeprazol-Magnesium in Dosen von 70 bis 280 mg/kg/Tag durchgeführt (etwa das 17- bis 68-fache einer täglichen oralen menschlichen Dosis von 40 mg Esomprazol oder 40 mg Omeprazol auf Körperoberfläche). Eine Erhöhung der Zahl der Todesfälle bei der hohen Dosis von 280 mg/kg/Tag wurde beobachtet, wenn Juvenilratten von postnataler Tag 7 bis postnatal Tag 35 verabreicht wurden. Die Behandlungsbedingte verringerte das Körpergewicht (ungefähr 14%) und das Gewichtszunahme des Körpers nimmt das Femurgewicht und die Femurlänge ab und beeinflusste das Gesamtwachstum. In dieser Studie wurden auch vergleichbare Ergebnisse mit einem anderen Esomeprazol -Salz -Esomeprazol -Strontium in äquimolaren Dosen von Esomeprazol auch beobachtet.
Geriatrische Verwendung
Omeprazol was administered to over 2000 elderly individuals (≥65 years of age) in clinical trials in the U.S. Und Europe. There were no differences in safety Und effectiveness between the elderly Und younger subjects. Andere reported clinical experience has not identified differences in response between the elderly Und younger subjects but greater sensitivity of some older individuals cannot be ruled out.
Pharmakokinetische Studien mit gepuffertem Omeprazol haben gezeigt, dass die Eliminierungsrate bei älteren Menschen etwas verringert war und die Bioverfügbarkeit erhöht wurde. Die Plasma -Clearance von Omeprazol betrug 250 ml/min (etwa die Hälfte der jungen Probanden). Die Plasma-Halbwertszeit hatte eine Stunde ungefähr doppelt so hoch wie bei nicht älteren gesunden Probanden. Bei älteren Menschen ist jedoch keine Dosierungsanpassung erforderlich [siehe Klinische Pharmakologie ].
Hepatische Beeinträchtigung
Bei Patienten mit Leberbeeinträchtigung (Kinder-Pugh-Klasse A B oder C) erhöhte sich die Exposition gegenüber Omeprazol im Vergleich zu gesunden Probanden erheblich. Vermeiden Klinische Pharmakologie ].
Asiatische Bevölkerung
In Studien gesunder Probanden hatten Asiaten eine vierfache höhere Exposition als Kaukasier. Vermeiden Klinische Pharmakologie ].
Überdosierungsinformationen für Zegierid
Wenn Überexposition auftritt, rufen Sie Ihr Poison Control Center unter 1-800-222-1222 an, um aktuelle Informationen zur Verwaltung der Vergiftung oder Überdosierung zu erhalten.
Omeprazol
Es wurden Berichte über Überdosierung mit Omeprazol beim Menschen erhalten. Die Dosen lagen bis zu 2400 mg (120 -mal so empfohlene klinische Dosis). Manifestationen waren variabel, beinhalteten jedoch Verwirrungsdrowsiness verschwommenes Sehvermögen Tachykardie Übelkeit erbricht die Diaphorese -Spülung Kopfschmerz trockener Mund und andere nachteilige Reaktionen, ähnlich denen in klinischer Erfahrung mit der empfohlenen Dosierung [siehe Nebenwirkungen ]. Symptoms were transient Und no serious clinical outcome has been reported when omeprazole was taken alone. No specific antidote for omeprazole overdosage is known. Omeprazol is extensively protein bound Und is therefore not readily dialyzable. In the event of overdosage treatment should be symptomatic Und supportive.
Natriumbicarbonat
Überdosierung von Natriumbicarbonat kann Elektrolytanomalien (Hypokalzämie -Hypokaliämie hyperatriämische) Stoffwechselalkalose und Anfälle verursachen. Institut unterstützende Pflege und korrekte Elektrolytanomalien.
Kontraindikationen für Zegier
Zeger is contraindicated in patients with known hypersensitivity to substituted benzimidazoles or to any component of the formulation. Hypersensitivity reactions may include anaphylaxis anaphylactic Schock Angioödem Bronchospasmus akute Tubulointerstitielle Nephritis und Urtikaria [siehe Warnungen und Vorsichtsmaßnahmen Nebenwirkungen ].
Protonenpumpeninhibitoren (PPIs), einschließlich Zegieriden Wechselwirkungen mit Arzneimitteln ].
Klinische Pharmakologie for Zegerid
Wirkungsmechanismus
Omeprazol belongs to a class of antisecretory compounds the substituted benzimidazoles that suppress Gastric acid secretion by specific inhibition of the H+/K+ ATPase enzyme system at the secretory surface of the Gastric parietal cell. Because this enzyme system is regarded as the acid (Proton) pump within the Gastric mucosa omeprazole has been characterized as a Gastric acid-pump inhibitor in that it blocks the final step of acid production. This effect is dose related Und leads to inhibition of both basal Und stimulated acid secretion irrespective of the stimulus.
Pharmakodynamik
Antisekretorische Aktivität
Die Ergebnisse einer pharmakokinetischen/pharmakodynamischen (PK/PD) -Studie über den antisekretorischen Effekt einer wiederholten Dosierung von 40 mg und 20 mg Zegier für die orale Suspension bei gesunden Probanden sind in Tabelle 8 gezeigt.
Wofür wird Humira -Injektion verwendet?
Tabelle 8: Auswirkung der Zegeriden auf die orale Suspension auf den intragastrischen Ph -Tag 7
| Parameter | Einmal tägliche Dosierung von Zegier für die orale Suspendierung | |
| 40 mg omeprazole Und 1680 mg Natriumbicarbonat (n = 24) | 20 mg omeprazole Und 1680 mg Natriumbicarbonat (n = 28) | |
| % Abnahme von Ausgangswert für den integrierten Magensäure (MMOL • HR/L) | 84% | 82% |
| Variationskoeffizient | 20% | 24% |
| % Zeit MagenpH> 4 1 | 77% | 51% |
| (Std) 1 | (NULL,6 h) | (NULL,2 h) |
| Variationskoeffizient | 27% | 43% |
| Median pH | 5.2 | 4.2 |
| Variationskoeffizient | 17% | 37% |
| Hinweis: Werte repräsentieren Mediane. Alle Parameter wurden über einen Zeitraum von 24 Stunden gemessen. 1. p <0.05 20 mg vs. 40 mg |
Die Ergebnisse einer separaten PK/PD-Studie zur antiskretorischen Wirkung auf eine einmal tägliche Dosierung von 40 mg/1100 mg und 20 mg/1100 mg Zweridenkapseln zeigen bei gesunden Probanden im Allgemeinen ähnliche Effekte auf die oben genannten drei PD-Parameter wie für Zegier für die orale Suspension 40 mg/1680 mg und 20 mg/1680 mg und 20 mg/1680 mg.
Der antisekretorische Effekt dauert länger als von der sehr kurzen (1 Stunde) Plasma-Halbwertszeit zu erwarten, anscheinend aufgrund der irreversiblen Bindung an das parietale H /K-ATPase-Enzym.
Enterochromaffin-ähnliche (ECL-) Zelleffekte
Humane Magenbiopsienproben wurden von mehr als 3000 Patienten erhalten, die in langfristigen klinischen Studien mit Omeprazol behandelt wurden. Die Inzidenz von ECL -Zellhyperplasie in diesen Studien nahm mit der Zeit zu; Bei diesen Patienten wurde jedoch kein Fall von ECL -Zellkarzinoiden oder Neoplasie festgestellt. Diese Studien haben unzureichende Dauer und Größe, um den möglichen Einfluss der langfristigen Verabreichung von Omeprazol auf die Entwicklung vorläufiger oder bösartiger Bedingungen auszuschließen.
Serum Gastrineffekte
In Studien mit mehr als 200 Patienten stieg die Serum-Gastrinspiegel in den ersten 1 bis 2 Wochen der einmal täglichen Verabreichung therapeutischer Dosen von Omeprazol parallel zur Hemmung der Säuresekretion. Bei einer fortgesetzten Behandlung trat kein weiterer Anstieg des Serum -Gastrins auf. Im Vergleich zu Histamin-H2-Rezeptorantagonisten waren die durch 20 mg Dosen Omeprazol erzeugten Medianerhöhungen höher (NULL,3 bis 3,6-fach gegenüber 1,1- bis 1,8-fach). Die Gastrinwerte kehrten normalerweise innerhalb von 1 bis 2 Wochen nach Absetzen der Therapie in die Vorbehandlungsniveau zurück.
Erhöhtes Gastrin verursacht enterochromaffinähnliche Zellhyperplasie und erhöhte Serumchromogranin-A-Spiegel (CGA). Die erhöhten CGA -Spiegel können zu falschen positiven Ergebnissen bei diagnostischen Untersuchungen für neuroendokrine Tumoren führen [siehe Warnungen und Vorsichtsmaßnahmen ].
Andere Effects
Die systemischen Wirkungen von Omeprazol im Zentralnervensystem (CNS) kardiovaskulär und respiratorische Systeme wurden bisher nicht festgestellt. Omeprazol, die in oralen Dosen von 30 oder 40 mg für 2 bis 4 Wochen gegeben wurden Testosteron Prolaktin Cholecystokinin oder Sekretin.
Nach einer einzelnen Dosis Omeprazol 90 mg wurde kein Einfluss auf die Magenentleerung der festen und flüssigen Komponenten eines Testmehls nachgewiesen. Bei gesunden Probanden hatte eine einzelne intravenöse Dosis Omeprazol (NULL,35 mg/kg) keinen Einfluss auf die intrinsische Faktorsekretion. Es wurde kein systematischer dosisabhängiger Effekt auf die basale oder stimulierte Pepsin-Ausgabe beim Menschen beobachtet. Wenn der intragastrische pH -Wert jedoch bei 4,0 oder oberhalb der basalen Pepsin -Ausgabe niedrig ist und die Pepsin -Aktivität verringert wird.
Wie andere Mittel, die in intragastrischem pH -pH -Omeprazol 14 Tage bei gesunden Probanden verabreicht wurden, führten zu einem signifikanten Anstieg der intragastrischen Konzentrationen lebensfähiger Bakterien. Das Muster der Bakterienspezies war unverändert gegenüber dem, das häufig im Speichel gefunden wurde. Alle Änderungen wurden innerhalb von drei Tagen nach Beendigung der Behandlung aufgelöst.
Der Verlauf der Barrett-Speiseröhre bei 106 Patienten wurde in einer in den USA doppelblind kontrollierten Studie mit Omeprazol 40 mg zweimal täglich 12 Monate täglich bewertet, gefolgt von 20 mg zweimal täglich für 12 Monate oder Ranitidin 300 mg zweimal täglich für 24 Monate. Es wurde kein klinisch signifikanter Einfluss auf die Schleimhaut von Barrett durch antisekretorische Therapie beobachtet. Obwohl sich während der Antisekretor -Therapie ein neosquames Epithel entwickelte, wurde keine vollständige Eliminierung der Schleimhaut von Barrett erreicht. Es wurde kein signifikanter Unterschied zwischen den Behandlungsgruppen bei der Entwicklung von Dysplasie in Barretts Schleimhaut beobachtet, und kein Patient entwickelte während der Behandlung ein Speiserisophaguskarzinom. Bei der Entwicklung von ECL -Zellhyperplasie -Korpus -Korpus atrophischer Gastritis -Corpus -Darmmetaplasie oder Dickdarmpolypen, die einen Durchmesser von 3 mm überschreiten, wurden keine signifikanten Unterschiede zwischen den Behandlungsgruppen beobachtet.
Pharmakokinetik
Absorption
Die Tabellen 9 und 10 zeigen die systemischen Expositionen und die Zeit -Reichweite der Spitzenkonzentration (TMAX) von Omeprazol bei gesunden Probanden nach Verabreichung von Zweridenkapseln bzw. oralen Suspension auf nüchternen Magen eine Stunde vor einer Mahlzeit.
Tabelle 9: arithmetischer Mittelwert (CV%) der systemischen Expositionen (CMAX AUC) und TMAX von Omeprazol nach einer einzelnen oralen Dosis und mehreren einmal täglichen Dosen Zweridenkapseln
| 20 mg Zeger capsules | 40 mg Zeger capsules | |||||
| Tag 1 | Tag 7 | % Veränderung (Tag 7/Tag 1) | Tag 1 | Tag 7 | % Veränderung (Tag 7/Tag 1) | |
| Cmax (ng/ml) | 498.1 (NULL,9) | 679,8 (NULL,0) | 36 | 1154 (NULL,0) | 1526 (NULL,7) | 32 |
| Tmax (hr) [min - max] | 0,61 [0,25-1,5] | 0,82 [0,25-1,5] | n / A. | 0,56 [0,25-1,5] | 0,97 [0,25-3,5] | n / A. |
| AUC0-inf * (ng • HR/ml) | 509.7 (NULL,5) | 1029 (NULL,9) | 102 | 1882 (120) | 3866 (NULL,3) | 105 |
| n / A.: not applicable * AUC0-24H wurde am 7. Tag verwendet |
Tabelle 10: arithmetischer Mittelwert (CV%) der systemischen Expositionen (CMAX AUC) und TMAX von Omeprazol nach einer einzelnen oralen Dosi
| 20 mg Zeger oral suspension | 40 mg Zeger oral suspension | |||||
| Tag 1 | Tag 7 | % Veränderung (Tag 7/Tag 1) | Tag 1 | Tag 7 | % Veränderung (Tag 7/Tag 1) | |
| Cmax (ng/ml) | 671,9 (NULL,8) | 902.2 (NULL,6) | 34 | 1412 (NULL,7) | 1954 (NULL,5) | 38 |
| Tmax (hr) [min - max] | 0,50 [0,17-1,5] | 0,47 [0,17-1,0] | n / A. | 0,44 [0,17-1,0] | 0,58 [0,25-1,0] | n / A. |
| AUC0-inf * (ng • HR/ml) | 825.4 (NULL,9) | 1449 (NULL,7) | 76 | 2228 (107) | 4692 (NULL,5) | 111 |
| n / A.: not applicable * AUC0-24H wurde am 7. Tag verwendet |
Nach einzelnen oder wiederholten einmal täglichen Dosierungspeakplasmakonzentrationen (CMAX) von Omeprazol aus Zweriden waren ungefähr proportional von 20 bis 40 mg Dosen. Bei der Verdoppelung der Dosis auf 40 mg wurde eine höhere als Dosis proportionale Erhöhung des mittleren stationären AUC (mehr als dreifacher Anstieg an Tag 7) beobachtet. Die Bioverfügbarkeit von Omeprazol aus Zegerniden nimmt bei wiederholter Verabreichung zu. Die prozentualen Änderungen von Cmax und AUC zwischen stationärem (Tag 7) und Einzeldosis (Tag 1) zeigen an, dass Omeprazol ein zeitabhängiger Autoinhibitor von CYP2C19 ist.
Wenn die Zegier für die orale Suspension 40 mg in einem Zwei-Dosis-Ladungsschema verabreicht wurde, betrug die Omeprazol-AUC (0-inf) (ng • hr/ml) 1665 nach der Dosis 1 und 3356 nach der Dosis 2, während Tmax für beide Dosis 1 und Dosis 2 ungefähr 30 Minuten betrug.
Wenn die Zegier für die orale Suspension 40 mg oder Zegernkapsel 40 mg eine Stunde nach einer Mahlzeit verabreicht wird, wird die Omeprazol AUC eine Stunde vor einer Mahlzeit um ca. 27% bzw. 22% reduziert [siehe Dosierung und Verwaltung ].
Verteilung
Omeprazol is bound to plasma proteins. Protein binding is approximately 95%.
Beseitigung
Stoffwechsel
Omeprazol is extensively metabolized by the cytochrome P450 (CYP) enzyme system. The major part of its metabolism is dependent on the polymorphically expressed CYP2C19 [sehen Klinische Pharmakologie ] verantwortlich für die Bildung von Hydroxyomeprazol Der Hauptmetabolit im Plasma. Der verbleibende Teil hängt von einer anderen spezifischen Isoform CYP3A4 ab, die für die Bildung von Omeprazolsulphone verantwortlich ist.
Die mittlere Plasma-Omeprazol-Halbwertszeit nach der Verabreichung der Zegeridenkapsel oder der oralen Zweridensuspension bei gesunden Probanden beträgt ungefähr 1 Stunde (Bereich 0,4 bis 4,2 Stunden) und der Gesamtkörperabstand 500 bis 600 ml/min.
Ausscheidung
Nach der oralen Verabreichung einer gepufferten Omeprazol-Lösung von Einzeldosis wird der Großteil der Dosis (ca. 77%) im Urin als mindestens sechs Metaboliten beseitigt. Zwei Metaboliten wurden als Hydroxyomeprazol und die entsprechende Carboxylsäure identifiziert. Der Rest der Dosis war in Kot wiederhergestellt. Dies impliziert eine signifikante giliäre Ausscheidung der Metaboliten von Omeprazol. In Plasma wurden drei Metaboliten identifiziert: Sulfid- und Sulfonderivate von Omeprazol und Hydroxyomeprazol. Diese Metaboliten haben sehr wenig oder keine antiskretorische Aktivität.
Spezifische Populationen
Geriatrische Patienten
Die Eliminierungsrate von Omeprazol war bei älteren Menschen etwas verringert und die Bioverfügbarkeit wurde erhöht. Omeprazol war zu 76% bioverfügbar, wenn eine einzelne 40 mg orale Dosis Omeprazol (gepufferte Lösung) gesunden älteren Probanden verabreicht wurde, gegenüber 58% bei jungen Probanden, die dieselbe Dosis mit derselben Dosis verabreichten. Fast 70% der Dosis wurden im Urin als Metaboliten von Omeprazol gewonnen und es wurde kein unverändertes Arzneimittel festgestellt. Die Plasma-Clearance von Omeprazol betrug 250 ml/min (etwa die Hälfte der jungen Probanden), und die Plasma-Halbwertszeit betrug eine Stunde, die der jungen gesunden Probanden ähnlich war.
Männliche und weibliche Patienten
Es sind keine Unterschiede in der Absorption oder Ausscheidung von Omeprazol zwischen Männern und Weibchen bekannt.
Rassistische oder ethnische Gruppen
[sehen Klinische Pharmakologie ]
Patienten mit Nierenbehinderung
Bei Patienten mit chronischer Nierenbeeinträchtigung (Kreatinin -Clearance zwischen 10 und 62 ml/min/1,73 m²) war die Disposition von Omeprazol sehr ähnlich der bei gesunden Probanden, obwohl die Bioverfügbarkeit geringfügig zunahm. Da die Ausscheidung im Urin ein primärer Ausscheidungsweg von Omeprazol -Metaboliten ist, verlangsamte sich ihre Elimination im Verhältnis zur verminderten Kreatinin -Clearance. Diese Zunahme der Bioverfügbarkeit wird nicht als klinisch sinnvoll angesehen.
Patienten mit Leberbehinderung
Bei Patienten mit chronischer Lebererkrankung, die als Kinder-Pugh-Klasse A (n = 3) B (n = 4) und C (n = 1) klassifiziert waren, stieg die Bioverfügbarkeit von Omeprazol auf ungefähr 100% im Vergleich zu gesunden Probanden, die eine verminderte Erstpass-Wirkung widerspiegeln, und die Plasma-Halbwertszeit des Arzneimittels im Vergleich zu gesunden Probanden von 0,5 bis 1 Stunden. Die Plasma -Clearance betrug durchschnittlich 70 ml/min im Vergleich zu einem Wert von 500 bis 600 ml/min bei gesunden Probanden [siehe Verwendung in bestimmten Populationen ].
Wechselwirkungen mit Arzneimitteln Studies
Wirkung von Omeprazol auf andere Medikamente
Omeprazol is a time-dependent inhibitor of CYP2C19 Und can increase the systemic exposure of co-administered drugs that are CYP2C19 substrates. In addition administration of omeprazole increases intraGastric pH Und can alter the systemic exposure of certain drugs that exhibit pH-dependent solubility [sehen Wechselwirkungen mit Arzneimitteln ].
Antiretroviral
Für einige antiretrovirale Arzneimittel wie Rilpivirinatazanavir und Nelfinavir wurden die Serumkonzentrationen gemeldet, wenn zusammen mit Omeprazol verabreicht wurde [siehe Wechselwirkungen mit Arzneimitteln ].
Rilpivirine: Nach mehreren Dosen von Rilpivirin (150 mg täglich) und Omeprazol (20 mg täglich) wurde AUC um 40% CMAX um 40% und Cmin Cmin für Rilpivirin um 33% verringert.
NetFavir: Nach mehreren Dosen von Nelfinavir (1250 mg zweimal täglich) und Omeprazol (40 mg täglich) wurden AUC um 36% und 92% Cmax um 37% und 89% und Cmin für Nelfinavir und M8 um 39% und 75% verringert.
Atazanavir: Nach mehreren Dosen Atazanavir (400 mg täglich) und Omeprazol (40 mg täglich 2 Stunden vor Atazanavir) wurde AUC um 94% Cmax um 96% und Cmin Cmin um 95% verringert.
Saquinavir: Nach mehreren Dosierung von Saquinavir/Ritonavir (1000/100 mg) zweimal täglich für 15 Tage mit Omeprazol 40 mg täglich gemeinsam verabreichte Tage 11 bis 15.
AUC war um 82% Cmax um 75% und Cmin Cmin um 106% erhöht. Der Mechanismus hinter dieser Wechselwirkung ist nicht vollständig aufgeklärt. Daher wird die klinische und Laborüberwachung für die Saquinavir -Toxizität während der gleichzeitigen Verwendung mit Prilosec empfohlen.
Clopidogrel
In einer Crossover -klinischen Studie wurden 72 gesunden Probanden Clopidogrel (300 mg Ladendosis gefolgt von 75 mg pro Tag) allein und mit Omeprazol (80 mg zur gleichen Zeit wie Clopidogrel) für 5 Tage verabreicht. Die Exposition gegenüber dem aktiven Metaboliten von Clopidogrel wurde um 46% (Tag 1) und 42% (Tag 5) verringert, wenn Clopidogrel und Omeprazol zusammen verabreicht wurden.
Die Ergebnisse einer anderen Crossover -Studie bei gesunden Probanden zeigten eine ähnliche pharmakokinetische Wechselwirkung zwischen Clopidogrel (300 mg Ladendosis/75 mg tägliche Wartungsdosis) und Omeprazol täglich 80 mg täglich, wenn sie 30 Tage lang zusammengebaut. Die Exposition gegenüber dem aktiven Metaboliten von Clopidogrel wurde in diesem Zeitraum um 41% auf 46% reduziert.
In einer anderen Studie erhielten 72 gesunde Probanden die gleichen Dosen von Clopidogrel und 80 mg Omeprazol, aber den Medikamenten wurden 12 Stunden voneinander entfernt verabreicht; Die Ergebnisse waren ähnlich, was darauf hinweist, dass die Verabreichung von Clopidogrel und Omeprazol zu unterschiedlichen Zeiten ihre Wechselwirkung nicht verhindert [siehe Warnungen und Vorsichtsmaßnahmen Und Wechselwirkungen mit Arzneimitteln ].
Beste Gegend zum Übernachten in Nashville, Tennessee
Mycophenolat Mofetil
Verwaltung of omeprazole 20 mg twice daily for 4 days Und a single 1000 mg dose of MMF approximately one hour after the last dose of omeprazole to 12 healthy subjects in a crossover study resulted in a 52% reduction in the Cmax Und 23% reduction in the AUC of MPA [sehen Wechselwirkungen mit Arzneimitteln ].
Cilostazol
Omeprazol acts as an inhibitor of CYP2C19. Omeprazol given in doses of 40 mg daily for one week to 20 healthy subjects in crossover study increased Cmax Und AUC of cilostazol by 18% Und 26% respectively. The Cmax Und AUC of one of the active metabolites 34-dihydro-cilostazol which has 4 to 7 times the activity of cilostazol were increased by 29% Und 69% respectively. Co-administration of cilostazol with omeprazole is expected to increase concentrations of cilostazol Und the above mentioned active metabolite [sehen Wechselwirkungen mit Arzneimitteln ].
Diazepam
Gleichzeitige Verabreichung von Omeprazol 20 mg einmal täglich und Diazepam 0,1 mg/kg, die intravenös zu einer Abnahme der Clearance um 27% und einer Anstieg der Diazepam-Halbwertszeit um 36% führten [siehe Wechselwirkungen mit Arzneimitteln ].
Digoxin
Die gleichzeitige Verabreichung von Omeprazol 20 mg einmal täglich und Digoxin bei gesunden Probanden erhöhte die Bioverfügbarkeit von Digoxin um 10% (30% bei zwei Probanden) [siehe Wechselwirkungen mit Arzneimitteln ].
Auswirkung anderer Medikamente auf Omeprazol
Voriconazol
Die gleichzeitige Verabreichung von Omeprazol und Voriconazol (ein kombinierter Inhibitor von CYP2C19 und CYP3A4) führte dazu, dass die Omeprazolexposition mehr als verdoppelt wurde. Als Voriconazol (400 mg alle 12 Stunden für einen Tag einmal täglich 200 mg für 6 Tage) mit Omeprazol (40 mg einmal täglich) an gesunde Probanden verabreicht wurde, erhöhte der Steadystate Cmax und AUC0-24 von OMEPRAZOL signifikant. wurde ohne Voriconazol verabreicht [siehe Wechselwirkungen mit Arzneimitteln ].
Pharmakogenomik
CYP2C19 Ein polymorphes Enzym ist am Metabolismus von Omeprazol beteiligt. Das CYP2C19*1 -Allel ist voll funktionsfähig, während die CYP2C19*2- und*3 -Allele nicht funktionsfähig sind. Es gibt andere Allele, die mit einer oder reduzierten enzymatischen Funktion verbunden sind. Patienten, die zwei voll funktionsfähige Allele tragen, sind umfangreiche Metabolisierer, und diejenigen, die zwei Verluste der Funktions-Allele tragen, sind schlechte Metabolisierer. In umfangreichen Metabolisierern wird Omeprazol in erster Linie durch CYP2C19 metabolisiert. Die systemische Exposition gegenüber Omeprazol variiert mit dem Stoffwechselstatus eines Patienten: Schlechte Metabolisierer> Zwischenstoffwechsel> umfangreiche Stoffwechsel. Ungefähr 3% der Kaukasier und 15 bis 20% der Asiaten sind CYP2C19 schlechte Stoffwechsel.
In pharmakokinetischen Untersuchungen mit einer 20 mg Omeprazol-Dosis der AUC von Omeprazol bei asiatischen Probanden war das bei Kaukasiern ungefähr das Vierfache Verwendung in bestimmten Populationen ].
Klinische Studien
Die Wirksamkeit von Zegieric wurde teilweise auf der Grundlage von Untersuchungen eines oralen Omeprazolprodukts zur Behandlung von aktiven Duodenalgeschwüren aktiven gutartigen Magengeschwüren symptomatischen GERD-EE aufgrund saurer GERD und Aufrechterhaltung der Heilung von EE aufgrund von Säure-vermittelter GERD festgelegt [siehe [siehe Klinische Studien ].
Zeger for oral suspension was studied for the reduction of risk of upper GI bleeding in critically ill adult patients [sehen Klinische Studien ].
Aktive Duodenal -Geschwür
In einer multizentrischen doppelblinden placebokontrollierten Studie mit 147 Patienten mit endoskopisch dokumentiertem Duodenal-Geschwür war der Prozentsatz der geheilten Patienten (pro Protokoll) nach 2 und 4 Wochen mit Omeprazol-Veröffentlichungskapsules 20 mg einmal täglich signifikant höher als mit Placebo (P ≤ 0,01) (siehe Tabelle 11).
Tabelle 11: Behandlung von aktiven Zwölffingerdarmgeschwüren
| % der Patienten heilten | ||
| Omeprazol 20 mg a.m. (n = 99) | Placebo A.M. (n = 48) | |
| Woche 2 | 41 1 | 13 |
| Woche 4 | 75 1 | 27 |
| 1 (p ≤ 0,01) |
Bei Patienten, die mit Omeprazol 20 mg behandelt wurden, trat eine vollständige Schmerzlinderung von Tag und Nacht signifikant schneller auf (p ≤ 0,01) als bei mit Placebo behandelten Patienten. Am Ende der Studie hatten signifikant mehr Patienten, die Omeprazol erhalten hatten, eine vollständige Linderung von Tagesschmerzen (p ≤ 0,05) und Nachtschmerzen (p ≤ 0,01).
In einer multizentrischen Doppelblindstudie mit 293 Patienten mit endoskopisch dokumentiertem Zwölffingerdarmgeschwür war der Prozentsatz der geheilten Patienten (pro Protokoll) nach 4 Wochen mit Omeprazol 20 mg einmal täglich signifikant höher als bei Ranitidin 150 mg zweimal täglich (p <0.01) (Sehen Table 12).
Tabelle 12: Behandlung von aktiven Duodenal -Ulcer % der geheilten Patienten
| Omeprazol 20 mg a.m. (n = 145) | Ranitidin 150 mg zweimal täglich (n = 148) | |
| Woche 2 | 42 | 34 |
| Woche 4 | 82 1 | 63 |
| 1 (P <0.01) |
Die Heilung trat bei Patienten, die mit Omeprazol behandelt wurden, signifikant schneller auf als bei Patienten, die zweimal täglich mit Ranitidin behandelt wurden (P. <0.01).
In einer ausländischen multinationalen randomisierten Doppelblindstudie mit 105 Patienten mit endoskopisch dokumentiertem Duodenal-Ulkus wurden 40 mg und 20 mg Omeprazol zweimal täglich mit 150 mg Ranitidin nach 2 4 und 8 Wochen verglichen. Nach 2 und 4 Wochen waren beide Dosen von Omeprazol gegenüber Ranitidin statistisch überlegen (pro Protokoll), aber 40 mg waren 20 mg Omeprazol nicht überlegen, und nach 8 Wochen gab es keinen signifikanten Unterschied zwischen den aktiven Arzneimitteln. (Siehe Tabelle 13.)
Tabelle 13: Behandlung von aktiven Duodenal -Ulcer % der geheilten Patienten
| Omeprazol | Ranitidin | ||
| 40 mg (n = 36) | 20 mg (n = 34) | 150 mg zweimal täglich (n = 35) | |
| Woche 2 | 83 1 | 83 1 | 53 |
| Woche 4 | 100 1 | 97 1 | 82 |
| Woche 8 | 100 | 100 | 94 |
| 1 (p ≤ 0,01) |
Aktives gutartiges Magengeschwür
In einer US-amerikanischen multizentrischen Doppelblindstudie mit Omeprazol 40 mg einmal täglich 20 mg einmal täglich und Placebo bei 520 Patienten mit endoskopisch diagnostiziertem Magengeschwür wurden folgende Ergebnisse erzielt. (Siehe Tabelle 14.)
Tabelle 14: Behandlung von Magengeschwüren % der geheilten Patienten (alle behandelten Patienten)
| Omeprazol 40 mg einmal täglich (n = 214) | Omeprazol 20 mg einmal täglich (n = 202) | Placebo (n = 104) | |
| Woche 4 | 55.6 1 | 47.5 1 | 30.8 |
| Woche 8 | 82.7 12 | 74.8 1 | 48.1 |
| 1 (P <0.01) omeprazole 40 mg or 20 mg versus placebo 2 (P <0.05) omeprazole 40 mg versus 20 mg |
Für die geschichteten Patienten von Patienten mit Geschwürengröße von weniger als 1 cm wurde nach 4 oder 8 Wochen kein Unterschied in den Heilungsraten zwischen 40 mg und 20 mg nachgewiesen. Bei Patienten mit Geschwürengröße von mehr als 1 cm 40 mg war nach 8 Wochen signifikant wirksamer als 20 mg.
In einer ausländischen multinationalen Doppelblindstudie mit 602 Patienten mit endoskopisch diagnostiziertem Magengeschwüren Omeprazol wurden einmal täglich einmal täglich ein Tag täglich und Ranitidin zweimal täglich 150 mg bewertet. (Siehe Tabelle 15.)
Tabelle 15: Behandlung von Magengeschwüren % der geheilten Patienten (alle behandelten Patienten)
| Omeprazol 40 mg einmal täglich (n = 187) | Omeprazol 20 mg einmal täglich (n = 200) | Ranitidin 150 mg zweimal täglich (n = 199) | |
| Woche 4 | 78.1 12 | 63.5 | 56.3 |
| Woche 8 | 91.4 12 | 81.5 | 78.4 |
| 1 (P <0.01) omeprazole 40 mg versus ranitidine 2 (P <0.01) omeprazole 40 mg versus 20 mg |
Symptomatische GERD
Eine placebokontrollierte Studie wurde in Skandinavien durchgeführt, um die Wirksamkeit von Omeprazol 20 mg oder 10 mg einmal täglich für bis zu 4 Wochen bei der Behandlung von Sodbrennen und anderen Symptomen bei GERD-Patienten ohne EE zu vergleichen. Die Ergebnisse sind in Tabelle 16 gezeigt.
Tabelle 16: % erfolgreiches symptomatisches Ergebnis 1
| Omeprazol 20 mg a.m. | Omeprazol 10 mg a.m. | Placebo A.M. | |
| Alle Patienten | 46 23 | 31 3 | 13 |
| (n = 205) | (n = 199) | (n = 105) | |
| Patienten mit bestätigten | 56 23 | 36 3 | 14 |
| Gerd | (n = 115) | (n = 109) | (n = 59) |
| 1 Definiert als vollständige Auflösung des Sodbrennens 2 (P <0.005) versus 10 mg 3 (P <0.005) versus placebo |
EE aufgrund säurerhielten GERD
In einer US-amerikanischen multizentrischen doppelblinden, placebokontrollierten Untersuchung von 40 mg oder 20 mg von Omeprazol-Kapseln verzögerte Rollenkapseln bei Patienten mit Symptomen von GERD und endoskopisch diagnostiziertem erosiven Esophagitis der prozentualen Heilungsraten (pro Protokoll) wurden in Tabelle 17 gezeigt.
Tabelle 17: % Patienten geheilt
| Omeprazol 40 mg (n = 87) | Omeprazol 20 mg (n = 83) | Placebo (n = 43) | |
| Woche 4 | 45 1 | 39 1 | 7 |
| Woche 8 | 75 1 | 74 1 | 14 |
| 1 (P <0.01) omeprazole versus placebo. |
In dieser Studie war die 40 -mg -Dosis der prozentualen Heilungsrate der 20 mg Dosis Omeprazol nicht überlegen. Andere kontrollierte klinische Studien haben auch gezeigt, dass Omeprazol bei schwerer GERD wirksam ist. In Vergleich mit Histamin-H2-Rezeptorantagonisten bei Patienten mit erosiver Ösophagitis Grad 2 oder über Omeprazol in einer Dosis von 20 mg war signifikant wirksamer als die aktiven Kontrollen. Komplette Tag- und Nacht -Sodbrennen erleichterte sich erheblich schneller (P. P. <0.01) in patients treated with omeprazole than in those taking placebo or histamine H2-receptor antagonists.
In diesem und fünf weiteren kontrollierten GERD -Studien gaben signifikant mehr Patienten mit 20 mg Omeprazol (84%) eine vollständige Linderung der GERD -Symptome an als Patienten, die Placebo erhielten (12%).
Aufrechterhaltung der Heilung von EE aufgrund von Säure-vermittelter GERD
In einer in den USA doppelblind randomisierten multizentrischen, placebokontrollierten Studie; Bei Patienten mit endoskopisch bestätigter geheilte Ösophagitis wurden zwei Dosisschemata Omeprazol untersucht. Ergebnisse zur Bestimmung der Aufrechterhaltung der Heilung der erosiven Ösophagitis sind in Tabelle 18 gezeigt.
Nebenwirkungen von Albuterol bei Kindern
Tabelle 18: Analyse der Lebenstabelle
| Omeprazol 20 mg einmal täglich (n = 138) | Omeprazol 20 mg 3 days per week (n = 137) | Placebo (n = 131) | |
| Prozent in der endoskopischen Remission nach 6 Monaten | 70 1 | 34 | 11 |
| 1 (P <0.01) omeprazole 20 mg einmal täglich versus omeprazole 20 mg 3 consecutive days per week or placebo. |
In einer internationalen multizentrischen Doppelblindstudie wurden Omeprazol täglich 20 mg und 10 mg täglich bei Patienten mit endoskopisch bestätigter geheilte Ösophagitis mit Ranitidin 150 mg verglichen. Tabelle 19 liefert die Ergebnisse dieser Studie zur Aufrechterhaltung der Heilung von EE.
Tabelle 19: Analyse der Lebenstabelle
| Omeprazol 20 mg einmal täglich (n = 131) | Omeprazol 10 mg once daily (n = 133) | Ranitidin 150 mg zweimal täglich (n = 128) | |
| Prozent in der endoskopischen Remission nach 12 Monaten | 77 1 | 58 2 | 46 |
| 1 (P = 0.01) omeprazole 20 mg einmal täglich versus omeprazole 10 mg once daily or Ranitidin. 2 (P = 0.03) omeprazole 10 mg once daily versus Ranitidin. |
Bei Patienten, die anfänglich die Klassen 3 oder 4 erosive Ösophagitis hatten, um nach der Heilung von 20 mg täglicher Omeprazol zu erhalten, war wirksam, während 10 mg keine Wirksamkeit zeigten.
Verringerung des Risikos von oberen Magen -Darm -Blutungen bei kritisch kranken Patienten
Eine doppelblinde multizentrische randomisierte klinische Nicht-Inferiitäts-Studie wurde durchgeführt, um die orale Zegrosuspension und intravenöse Cimetidin zur Verringerung des Risikos der Blutung des oberen Magen-Darm-Blutes (GI) bei kritisch kranken Patienten zu verringern (mittlerer Apache II-Score = 23,7). Der primäre Endpunkt war eine signifikante obere GI -Blutung, die als leuchtend rotes Blut definiert wurde, was nach der Einstellung des Nasogastr -Röhrchens und einer 5 bis 10 -minütigen Spülung oder einer anhaltenden gastrokkultpositiven Kaffee -Kaffee für 8 aufeinanderfolgende Stunden, die nicht mit 100 ml Lavage klar waren, und 8 aufeinanderfolgende Stunden deutlich machten. Die orale Zegernsuspension wurde als 40 mg (zwei Dosen 6 bis 8 Stunden vom ersten Tag über Orogastric- oder Nasogastr -Röhrchen, gefolgt von 40 mg einmal täglich) und intravenöser Cimetidin (300 mg Bolus, gefolgt von 50 bis 100 mg/HR/HR -kontinuierlich) verabreicht. Insgesamt 359 Patienten wurden Altersbereich von 16 bis 91 (Mittelwert = 56 Jahre) untersucht. 58,5% waren Männer und 64% Kaukasier. Die Ergebnisse der Studie zeigten, dass die orale Zegoidensuspension in intravenöser Cimetidin 7/178 (NULL,9%) Patienten in der Zegieridengruppe gegenüber 10/181 (NULL,5%) Patienten in der Cimetidingruppe nicht in der Zeigeridengruppe war.
Patienteninformationen für Zegierid
Zeger®
(ze-ger-id)
(Omeprazol und Natriumbicarbonat) für orale Suspension und Kapseln für den oralen Gebrauch
Was sind die wichtigsten Informationen, die ich über Zegier wissen sollte?
Zeger may help your acid-related symptoms but you could still have serious stomach problems. Talk with your doctor.
Zeger can cause serious side effects including:
- Eine Art von Nierenproblem (akute tubulointerstitielle Nephritis). Einige Menschen, die Protonenpumpeninhibitor (PPI) Medikamente, einschließlich Zegieriden, einnehmen, können ein Nierenproblem entwickeln, das als akutes Tubulointerstitial -Nephritis bezeichnet wird und die zu jeder Zeit während der Behandlung mit Zegieriden auftreten kann. Rufen Sie Ihren Arzt sofort an, wenn Sie die Menge, die Sie urinieren, oder wenn Sie Blut im Urin haben.
- Zeger contains Natriumbicarbonat. Die langfristige Verwendung von Bicarbonat mit Kalzium oder Milch kann einen Erkrankung bezeichnen, der als Milch-Alkali-Syndrom bezeichnet wird. Die langfristige Verwendung von Natriumbicarbonat kann eine Erkrankung verursachen, die als systemische Alkalose bezeichnet wird. Sprechen Sie mit Ihrem Arzt über Fragen, die Sie möglicherweise haben. Zu viel Natrium kann zu Schwellungen und Gewichtszunahme führen. Sagen Sie Ihrem Arzt, ob Sie eine niedrige satriumische Diät haben oder ob Sie das Bartter-Syndrom (eine seltene Nierenstörung) haben. Sagen Sie Ihrem Arzt sofort, wenn Sie Verwirrung haben, Hände zu schütteln.
- Durchfall caused by an infection ( Clostridium difficile ) im Darm. Rufen Sie Ihren Arzt sofort an, wenn Sie wässrige Stühle oder Magenschmerzen haben, die nicht verschwinden. Sie können Fieber haben oder nicht.
- Knochenbrüche (Hüftgelenk oder Wirbelsäule). Knochenbrüche im Hüftgelenk oder in der Wirbelsäule können bei Menschen auftreten, die mehrere tägliche Dosen von PPI -Medikamenten und für einen langen Zeitraum (ein Jahr oder länger) einnehmen. Sagen Sie Ihrem Arzt, wenn Sie eine Knochenbrüche haben, insbesondere im Hüftgelenk oder in der Wirbelsäule. Bestimmte Arten von Lupus erythematodes. Lupus erythematodes ist eine Autoimmunerkrankung (die Immunzellen des Körpers greifen andere Zellen oder Organe im Körper an). Einige Menschen, die PPI -Medikamente, einschließlich Zegern, einnehmen, können bestimmte Arten von Lupus erythematodes entwickeln oder die Lupus, die sie bereits haben, verschlechtern. Rufen Sie Ihren Arzt sofort an, wenn Sie neue oder verschlechternde Gelenkschmerzen oder einen Ausschlag auf Ihren Wangen oder Armen haben, die in der Sonne schlechter werden.
Sprechen Sie mit Ihrem Arzt über Ihr Risiko für diese schwerwiegenden Nebenwirkungen.
Zeger can have other serious side effects. Sehen Was sind die möglichen Nebenwirkungen von Zegern?
Was ist Zegerid?
Ein verschreibungspflichtiges Medikament, das als Protonenpumpeninhibitor (PPI) bezeichnet wird, um die Säuremenge in Ihrem Magen zu verringern.
Zeger for oral suspension Und Zeger capsules is used in adults for:
- Bis zu 8 Wochen für die Heilung von Zwölffingerdarmgeschwüren.
- Bis zu 8 Wochen für die Heilung von Magengeschwüren.
- Bis zu 4 Wochen zu behandeln Sodbrennen Und other symptoms that happen with gastroösophagealer Reflux disease (Gerd).
- Bis zu 8 Wochen für die Heilung und Symptomlinderung von säurebedingten Schäden an der Auskleidung der Speiseröhre (als erosive Ösophagitis oder EE bezeichnet). Ihr Arzt kann bei Patienten, deren EE nicht heilt, weitere 4 Wochen Zegern -Zegern verschreiben.
- Aufrechterhaltung der Heilung von EE und zur Verhinderung der Rückkehr von Sodbrennensymptomen, die durch GERD verursacht werden. Es ist nicht bekannt, ob Zegierid für diesen Zweck länger als 12 Monate lang sicher und wirksam ist.
Zeger for oral suspension is used:
- bei kritisch kranken Erwachsenen, um das Risiko einer Magenblutung zu senken (nur 40 mg orale Suspension).
Es ist nicht bekannt, ob Zegierid bei Kindern sicher und wirksam ist.
Nehmen Sie nicht Zegern, wenn Sie sind:
- Allergisch gegen Omeprazol jedes andere PPI -Medizin oder eines der Zutaten in Zegier. Das Ende dieses Medikamentenleitfadens finden Sie eine vollständige Liste von Zutaten in Zegier.
- Einnahme eines Arzneimittels, das Rilpivirin enthält, das zur Behandlung von HIV-1 (Human Immunodeficiency Virus) verwendet wird.
Bevor Sie Zegernid nehmen, teilen Sie Ihrem Arzt alle Ihre Erkrankungen mit, einschließlich, wenn Sie:
- Haben Sie niedrige Magnesium -Kalzium- oder Kaliumspiegel im Blut.
- Haben Sie Probleme mit dem Gleichgewicht der Säure-Base (pH) in Ihrem Körper.
- Leberprobleme haben.
- Herzversagen haben.
- sind auf einer niedrigen satriumischen Diät.
- haben Bartters Syndrom (ein seltenes Nierenproblem).
- sind asiatischer Abstammung und wurde mitgeteilt, dass die Fähigkeit Ihres Körpers, Omeprazol zu brechen (metabolisieren), schlecht ist oder wenn Ihr Genotyp namens CYP2C19 nicht bekannt ist.
- sind schwanger oder planen, schwanger zu werden. Es ist nicht bekannt, ob Zegerniden Ihrem ungeborenen Baby schädigen wird.
- stillen oder planen zu stillen. Zegerid kann in Ihre Muttermilch übergehen. Sprechen Sie mit Ihrem Arzt über den besten Weg, um Ihr Baby zu füttern, wenn Sie Zegern nehmen.
Erzählen Sie Ihrem Arzt von all den Medikamenten, die Sie einnehmen einschließlich verschreibungspflichtiger und rezeptfreier Medikamente Vitamine und Kräuterpräparate. Sagen Sie Ihrem Arzt besonders, wenn Sie nehmen:
- Digoxin (Lanoxin)
- Clopidogrel (Plavix)
- St. Johns Würze (Hypericum Perforatum)
- Ami Amerimpin (RIADER Amharate Rimactane Median)
- Methotrexat
Fragen Sie Ihren Arzt oder Apotheker nach einer Liste dieser Medikamente, wenn Sie sich nicht sicher sind.
Kennen Sie die Medikamente, die Sie einnehmen. Halten Sie eine Liste von ihnen, um Ihren Arzt und Apotheker zu zeigen, wenn Sie ein neues Medikament erhalten.
Wie soll ich Zegier nehmen?
- Nehmen Sie Zegerniden genau wie von Ihrem Arzt vorgeschrieben.
- Ändern Sie Ihre Dosis nicht oder hören Sie nicht auf, Zwerid zu nehmen, ohne mit Ihrem Arzt zu sprechen.
- Zweridenkapseln Ganz mit Wasser schlucken. Verwenden Sie keine anderen Flüssigkeiten. Die Kapsel nicht zerquetschen oder kauen. Nicht
- Öffnen Sie die Kapsel und streuen Sie den Inhalt in Lebensmittel.
- Nehmen Sie die Zegernkapseln mindestens 1 Stunde vor einer Mahlzeit mit leerem Magen.
- Zeger can be taken by mouth or given through a nasoGastric (NG) or oroGastric (OG) tube.
- Siehe das Anweisungen zur Verwendung Das kommt mit Zegerniden für Anweisungen, wie man Zegern für orale Suspension mit Wasser mischt und das Medikament durch ein NG -Röhrchen oder einen OG -Röhrchen gibt.
- Wenn Sie eine Dosis Zegern vermissen, nehmen Sie es so, wie Sie sich erinnern. Wenn es fast Zeit für Ihre nächste Dosis ist, nehmen Sie die verpasste Dosis nicht. Nehmen Sie die nächste Dosis zu Ihrer regulären Zeit. Nehmen Sie sich nicht zwei Dosen, um eine verpasste Dosis auszugleichen.
- Ersetzen Sie nicht zwei 20 mg Pakete durch ein 40 -mg -Paket Zweriden für die orale Suspension, da Sie doppelt so viel Natriumbicarbonat erhalten. Sprechen Sie mit Ihrem Arzt, wenn Sie Fragen haben.
- Ersetzen Sie nicht zwei 20 mg Kapseln durch eine 40 mg -Kapsel Zegern, da Sie doppelt so viel Natriumbicarbonat erhalten. Sprechen Sie mit Ihrem Arzt, wenn Sie Fragen haben.
- Wenn Sie zu viel Zegiernise nehmen, rufen Sie Ihr Arzt oder Giftkontrollzentrum sofort unter 1-800-222-1222 an oder gehen Sie in die nächste Notaufnahme des Krankenhauses.
Was sind die möglichen Nebenwirkungen von Zegern?
Zeger can cause serious side effects including:
- Sehen Was sind die wichtigsten Informationen, die ich über Zegier wissen sollte?
- Niedrige Vitamin B-12-Spiegel In Ihrem Körper kann bei Menschen, die seit langem (mehr als 3 Jahre) Zegerniden genommen haben, auftreten. Sagen Sie Ihrem Arzt, wenn Sie Symptome eines niedrigen Vitamin-B-12-Spiegels haben, einschließlich Atemnot des Atemnots unregelmäßiger Herzschlag Muskelschwäche blasse Haut, die müde Stimmungsänderungen und Kribbeln oder Taubheit in den Armen und Beinen spüren.
- Niedrige Magnesiumspiegel in Ihrem Körper können bei Menschen auftreten, die Zegiern genommen haben für mindestens 3 Monate. Teilen Sie Ihrem Arzt sofort mit, wenn Sie Symptome eines niedrigen Magnesiumspiegels haben, einschließlich Anfällen Schwindelunternehmen unregelmäßiger Herzschlag Muskelschmerzen oder Schwäche und Krämpfe von Händen oder Stimme.
- Magengrau (Fundic Glan Polyps). Menschen, die lange Zeit PPI -Medikamente einnehmen, haben ein erhöhtes Risiko, eine bestimmte Art von Magenwachstum zu entwickeln, die als Fund -Drüsenpolypen bezeichnet werden, insbesondere nach der Einnahme von PPI -Medikamenten für länger als 1 Jahr.
- Schwere Hautreaktionen. Zeger can cause rare but severe skin reactions that may affect any part of your body. These serious skin reactions may need to be treated in a hospital Und may be life threatening:
- Hautausschlag, der auf jedem Teil Ihrer Haut schälen oder blutet (einschließlich der Lippen Augen Mundnase Genitalien Hände oder Füße).
- Möglicherweise haben Sie auch Fieberschüttelkörperkörpern und vergrößerte Lymphknoten. Hören Sie auf, Zegerid zu nehmen, und rufen Sie sofort Ihren Arzt an. Diese Symptome können das erste Anzeichen einer schweren Hautreaktion sein.
- Die häufigsten Nebenwirkungen von Zegern sind:
- Kopfschmerzen
- Bauchschmerzen
- Brechreiz
- Durchfall
- Erbrechen
- Gas
Dies sind nicht alle möglichen Nebenwirkungen der Zegern.
Rufen Sie Ihren Arzt an, um medizinische Beratung zu Nebenwirkungen zu erhalten. Sie können die FDA bei 1-800-FDA-1088 Nebenwirkungen melden.
Wie soll ich Zegier aufbewahren?
- Lagern Sie Zegier bei Raumtemperatur zwischen 20 ° C bis 25 ° C.
- Halten Sie Zegernid in einem dicht geschlossenen Behälter.
- Halten Sie Zegernid an einem trockenen Ort und aus Licht.
Halten Sie Zegern und alle Medikamente außerhalb der Reichweite der Kinder.
Allgemeine Informationen über den sicheren und effektiven Einsatz von Zegierid
Medikamente werden manchmal für andere Zwecke als die in einem Medikamentenhandbuch aufgeführten Zwecke verschrieben. Verwenden Sie keine Zegern für einen Zustand, für den es nicht vorgeschrieben wurde. Geben Sie anderen Menschen keine Zegernise, auch wenn sie die gleichen Symptome haben, die Sie haben. Es kann ihnen schaden.
Sie können Ihren Arzt oder Apotheker auch nach Informationen über Zegern bitten, die für Angehörige der Gesundheitsberufe geschrieben wurden.
Was sind die Zutaten in Zegier?
Wirkstoffe: Omeprazol und Natriumbicarbonat
Inaktive Zutaten in Zegier für die orale Suspension: Xylitol -Saccharose -Sucralose Xanthan Gummi und Aromen.
Inaktive Zutaten in Zegierkapseln für den oralen Gebrauch: Croscarmellose -Natrium- und Natriumstearylfumarat.
Dieser Medikamentenführer wurde von der US -amerikanischen Food and Drug Administration zugelassen.